加(微信:Cainiaoo)进入《领导者管理笔记》读者群
►领导者说:★什么是职业倦怠?不仅仅是累坏了。绝大部分的打工族都会有过劳的经历,但倦怠比累坏还要严重。倦怠会严重影响职场人士的身心健康,但是,网上关于如何防止倦怠的文章大部分都是从个人层面去讲的,基本上都不靠谱。这篇关于倦怠的终极指南从组织的角度分析了倦怠的定义、表现、原因与对策,值得打工族与管理者参考。
作者 | 36kr
投稿/培训/合作 | Tapmadou(微信)
发布 | 领导者养成笔记「ID:GoToLead 」
谁都有倦怠(Burnout)的时候。但这也是可以预防的。工作累坏了之前,会有警告信号。
这篇关于倦怠的全面指南将帮助你识别这些迹象,并帮助你尽早预防倦怠,免受它的影响。或者,如果你已经精疲力尽,本指南也介绍了我们目前所知道的有关如何恢复精力的所有内容(不过你很快就会看到——事实证明,我们知道的并不多)。
为什么要做这个指南?网上谈倦怠的文章已经很多了,不过里面主要是讲一些轶事。当然,这些关于倦怠的故事也很重要!这些故事告诉了我们倦怠在现实生活中的样子。但是,如果我们想尽早摆脱倦怠,并在倦怠影响到我们的职业生涯之前应对好它,光看那些轶事是不够的。我们还需要检查研究。
本指南希望能解决这个问题,我们的手段是总结对倦怠的最佳科学研究。毕竟,我们不想把对任何主题的理解建立在纯粹的轶事上。
本指南的适用对象?我们认为,如果你觉得自己对预防职业倦怠感兴趣,或者你目前正受到职业倦怠的影响的话,最好看看本指南,不管你处在职业生涯的哪个阶段,都可以适用。
让我们开始吧。
什么是倦怠?
倦怠是一种因为长期工作压力引起的心理状态。
倦怠有三个关键特征:
疲惫不堪(exhaustion)。
玩世不恭(cynicism)。
效率低下(ineffectiveness)。
一开始的时候,研究人员认为倦怠是个人的问题。但目前,我们对倦怠的理解变得不一样了,我们觉得这是一种社会背景下的压力体验。
这是什么意思?正如心理学家 Jacinta Jiménez 所说那样:“‘倦怠’的一大影响因素是个人工作所处的社会环境……” 研究倦怠的先驱 Christina Maslach 写道:“这个三维模型(……)很清晰地把个人压力放在社会环境里面去体验,同时也牵涉到个人对自我以及他人的看法。”
倦怠的三个特征,也就是疲惫不堪、玩世不恭以及低效,这三者构成了一种测量方法的要素,它的名字叫做马斯拉赫职业倦怠量表(Maslach Burnout Inventory ,MBI)。MBI 是一种以全面的心理测量研究为基础的、广受认可的测量方法,已经在众多不同的语言中得到了验证。
MBI 对于理解什么是倦怠至关重要,因为这说明要三要素都具备了才会被认为是倦怠。你可能已经身心疲惫,但仍不会被看作是倦怠,因为你还没有玩世不恭的感觉,或者还不至于工作效率低下。
比方说,玛丽可能很讨厌自己的老板,跟老板的反复争吵让她连续好几周都觉得筋疲力尽。但是,她的工作很有意义,她仍然能够高效地实现自己的目标。如果你遇见经历了一系列令人筋疲力尽的工作后的玛丽,你可能会觉得她看起来很糟糕,或者她也许无法胜任目前的工作了。但现实是,她远还没到倦怠的地步。也许已经筋疲力尽,但还没有倦怠。
(但是,如果与老板之间的“仗”还是没打完,玛丽可能就会对工作变得玩世不恭,或者她负责的某些事情可能就开始搞不定了。如果发生了这种情况,我们就可以说她倦怠的风险更高了。倦怠大概就是这么发展的;稍后我们会分析倦怠的各个阶段。)
传统上,在更侧重以人为主的职业(比如医生、护士和教师)里,倦怠被认为是一种职业危害。这些岗位的角色面临与服务型工作相关的问题会更普遍,而且大家普遍对他们的奉献精神有期望,这一点与其他职业不一样。比方说,大家对医生护士的预期是,为了病人应该工作很长时间(可能还得定期处理死亡问题)。教师应该多付出,为学生提供尽可能好的教育。事实上,1981 年曾经有篇文章指出,“倦怠”这个词之前与“老师”如影随形。
但现在的情况已经改变——任何职业都可能发生倦怠。COVID-19 就是很好的例子,它已经影响到生活的方方面面。这场疫情使倦怠变得更加普遍,导致了“疫情性倦怠”、“创作者倦怠”以及“Zoom 倦怠”等术语的诞生。词汇变化可能让事情变得更糟。今天,“工作”(work)一词已经渗透到生活的各个方面。我们要经营婚姻(work on our marriages)。我们要努力培养好孩子(work on raising good kids)等等。
倦怠是什么样的?
我们对倦怠及其症状已经有了初步了解,接下来再用一些故事来润色一下,让大家看看倦怠在现实生活中是什么样的。
Johnny Rodgers 的故事
那是 2014 年 1 月,当时 Johnny Rodgers 正在同时做着两个项目。下个月 Slack 就将公开发布一个版本,他是其中的 8 名开发者之一。整个团队都非常投入,而且行动十分敏捷。同时他还启动了一个业务项目,叫做 Give。这款 app 他开发了三年,音乐爱好者可以利用这款 app 直接向自己最喜欢的艺术家捐款。
他每天投入到 Slack 上面的时间是 9 到 10 个小时,回到家之后,他会再折腾自己的 Give ,大概要弄 3 到 4 个小时。
我睡得不多,又没注意到本该留意的那些压力的迹象:头痛、焦虑,以及持续的自我怀疑。
我学到了很多东西,而且对这项工作感到自豪,但其实我已经被拉到崩溃的边缘。我靠的是忽视健康,狂喝咖啡和更加努力工作来适应这种情况。
到了某个周五,这种情况的后果终于爆发,Rodgers 出现了胃痛的状况。最后痛到他被迫去了急诊室。他在急诊室呆了一整夜,医生给他喉咙插上管子,试图找出问题所在。经过了探查术之后医生找出来他的病因:肠道已经完全阻塞。后来他做了 3 次手术,在医院住了 7 天后才能出院。
没有工作压力那晚我可能也会住院。但事后看来,很显然我的身体已经向大脑发出信号,要我停下来了。我已经超越了极限,并为此付出了沉重代价。几个月来,我的饮食和行动都受到了限制。
Michael Stephens 的故事
Michael Stephens 是维珍航空的营销创意总监。因为手头有很多大项目要处理,他需要工作很长的时间。此外,他的通勤时间也很耗时,他的部分工作就是让团队变得多余,这给人的感觉不好。在私生活方面,当时他又正好跟女友分手。这一切都让他感觉站在了“悬崖边上”。
一开始的表现不怎么容易觉察。我失眠了,然后给自己开了点药,之后是可以睡觉了,但后来才发现没有药我就无法入睡。接着,其他的症状也悄悄出现,并变得更加突出了——包括肠易激综合征还有湿疹。渐渐地,我的脖子也开始疼了。结果到了某一天,我一觉醒来,发现自己连动都不能动了。我被迫去看全科医生。她当即告诉我得马上请假。我说不行啊,我还有工作要做。她说:“不行。你现在真的得休息了。”我想当时我应该打了电话给老板。我在电话里面崩溃到哭了,因为突然之间这一切都变成真的了。我请了几个星期的假,个中的体会我没法跟大家分享。其实我真正休息的时间并没有三周。在家的时候我仍然回复电子邮件,接听电话。我意识到,如果再回去工作的话,有些事我得彻底改变了。要不就得休息很长一段时间。我选择了后者。我第一次将身心健康放在了职业抱负的前面。
Paula Davis 的故事
与前面的例子相似,Paula Davis 是一位精力充沛的律师。她做得很好;有一段时间,她每个月都能完成几笔价值数百万美元的案子。但内心深处,她感到筋疲力尽、玩世不恭、有无力感。
我累坏了,这是一种不同于以往的疲惫。如果说情绪上的痛苦不算什么的话,就连起床去上班都变得非常困难。原先周一早上闹钟一响就能从床上弹起,准备开始新的一周,现在却变成磨磨蹭蹭,迈不开脚步。到了周末也没有足够的时间完全恢复(哪怕没有工作),就算去休假,只能暂时缓解一下情况。工作或生活上的事情,无论多么小,都变成了一件大事。我记得有一次我要去我妈那里,在路上她打电话给我让我顺路买些杂货,就这么一个非常基本的要求,我的反应却非常迟缓。那不是我的个性——这是一个危险信号。
其次,即便按照律师的标准,我也算是玩世不恭。慢慢地我开始看别人不顺眼。当客户带着法律问题来找我时,表面上我在很专业地应对着,但内心的我已经开始翻白眼,“真的吗?就这点事你自己都搞不定?”或者“我们不是已经讨论过这个了吗?”不想理任何人对我来说很不寻常,我只想一个人呆在办公室里。
第三,我开始觉得自己效率低下。我从未对自己成为一名优秀律师的能力失去信心,但走法律这条路未来在哪里我已经看不清楚了。我曾到一家小型精品公司工作过,然后去了一家大型律师事务所。接下来呢?
Davis 最终辞掉了工作,康复后,她创办了压力与恢复力研究所(Stress & Resilience Institute)。
Nurhaida Rahim 的故事
Nurhaida Rahim 的工作是她梦寐以求的那种。她是联合国的援助工作者,曾在南苏丹、叙利亚和也门等“艰苦工作地点”工作。她说,当她去到偏僻之地,每天工作 10 小时,然后回到自己用集装箱做成的房子里喝着过期的啤酒时,一股快意会油然而生。
但之后她变得筋疲力尽,没有成就感,变得尖酸刻薄——尽管事实上这是她梦想的工作!所以她每天早上都告诉自己“别抱怨”。
罪魁祸首?工作。这项工作很折磨人:
......就是没完没了地开会,一个会议滋生出更多的会议,然后为了多筹钱要写提案,同事们都得身兼数职。大家对项目进展缓慢感到恼火,疲惫是我们共同认可的唯一货币。如果辞职不干,几乎相当于说我不适合干这行工作。而且因为做国际援助领域的工作一直是我的梦想,所以我不打算向倦怠这个混蛋屈服。
因为长期“吸烟、吃快餐,喝便利店的酒”,Rahim 终于得了支气管炎,这场病拖了她 2 个月。再一次地,她觉得自己不能抱怨。作为一名援助工作者,她看到自己要救助的人其实比自己难得多,他们“要应对战争和冲突带来的真正创伤”。与他们面临的困境相比,自己的麻烦算不了什么。
后来在朋友的催促下,她才开始走上康复之路。她得到了专业的帮助,换了工作,最关键的是,她彻底改变了自己,变得关注起自己的身心健康了。她花了很长时间才痊愈。
倦怠的反面是什么?
好了,倦怠是什么样的你已经看过了,那么再谈谈倦怠的反面也许是值得的。反面会很有趣,因为这会让我们有目标。毕竟,你想的可不只是不吃快餐。你还想知道该吃什么,什么可以多吃。同样地,光说如何避免倦怠是不够的,讲点积极的东西也很有用。
一些研究人员认为,倦怠的反面是所谓的“工作投入”(work engagement),或者简称为“投入”。
不同的研究人员的确切定义各不相同。衡量是否投入的方法之一是反转 MBI。MBI 有三个维度,那么这一版本的“投入”也包含相同的三个维度,只不过量值正好反过来。按照这一定义,高度投入的人:
精力充沛(high energy)
高度参与(strong involvement)
效率很高(efficacy)
由于对投入的研究还比较新——甚至比对倦怠的研究还要新——所以对于投入的模型还没有明确共识,很多地方还存在争议。不过科学文献引用最多的投入模型是工作投入量表(Utrecht Work Engagement Scale,简称 UWES )。
UWES 对员工投入程度的定义基于三个因素:
活力(Vigor)
奉献(Dedication)
专注(Absorption)
UWES 共有 17 个问题,员工(甚至学生)可以在线进行测试。其有效性已经过了不同国籍、种族以及工作的验证,差异很小。
举一个真实例子,此人 UWES 的测试得分很高,他的名字叫做 William:
William 热爱工作,谈起工作总是充分热忱。每一天,他都动力十足,希望能做到出类拔萃,并热情地投入到工作当中。对于自己的工作,他觉得这件事情很有挑战,但也令人兴奋和愉快,没有要求的事情他也做了很多,而且乐在其中。William 有创造的自由,而且感觉自己总是在学习新事物。虽然他一直在忙,但往往完全沉浸在工作之中,很少感到疲倦或疲惫。相反,工作似乎给他带来能量,每天他都为能够重新投入工作而感到高兴。即便有时候会遇到困难,William 仍然能坚持下来。他非常专注自己的工作,总是觉得自己在处理有趣和重要的问题。尽管如此,该放松的时候他也能从工作中解脱,并且知道什么时候该把工作放到次要地位。虽然他经常全情投入自己的工作,但工作之外他也会尽情享受。William 的座右铭是:工作很有趣!
你我也许还没到达 William 的境界,但这个目标是可以达成的!为了提高工作的投入度,我们可以:
协作。提高工作投入度应该是大家一起做的事情。领导者应该尝试建立一套流程,去鼓励发挥创造力,提高工作的热情。
建立持续的过程。工作投入是一个持续的过程,不是一次性事件。领导者应该明白,它需要不断的监控、适应以及行动。
了解目标。投入有多种含义,但对你而言,这意味着什么?
发挥创意。怎么做到工作投入并无硬性规定。系统研究还在开展,每个公司都不一样,所以各个做法都会有一定的适用性,自己要根据情况采用。
评估。收集对提高工作投入度行动所产生影响的反馈,对其进行评估并加以改进。
分享。提供有关工作投入情况的进度报告。
简而言之,雇主和员工都应该明白,衡量工作投入情况这件事情值得做。许多研究人员认为,工作越投入,倦怠的概率就越低。
工作倦怠的演变
光有职业倦怠的评估模型是不够的。要想采取行动,我们还需要一个发展模式——也就是倦怠演变的框架。通常用连续的阶段来描述倦怠的演变。
倦怠的演变有一个简化版模型,那就是 MBI 。我们可以看看是哪个维度先发生了变化。马斯拉赫说,一般是先出现疲惫状况(也许是为了应付高强度的工作)。疲惫进而导致玩世不恭,表现为对工作和同事做出冷漠和负面反应。到最后,出现了工作低效的情况。
但是,对于倦怠发展的了解我们还可以提高精确度。目前有两种接受度最高的职业倦怠发展模型是工作要求资源模型(Job Demands-Resources ,JD-R)模型以及资源保存(COR)模型,这两种模型都比那个基于 MBI 的简化版更精细。下面就逐一来看看。
工作要求资源模型(JD-R)模型
JD-R 模型将每个职业分为两大类:工作要求和工作资源。工作要求是工作对个体的生理、心理、社交能力等方面的要求,需要个体付出相应的努力或成本才能完成工作的因素。可能是工作时间长、工作压力大以及与老板互动的要求高。但这些因素不一定就是负面的!只是如果这些情况老是存在,妨碍员工获得足够休息的话,就有可能会变成负面因素。
而工作资源是工作中与生理、心理、社会或组织等方面相关,可以帮助员工实现工作目标,降低工作要求和成本,促进个人成长的因素。一个人拥有的工作资源越多,对其提出工作要求就越安全。

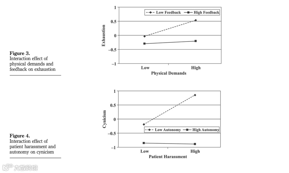
这些图表显示,当获得高水平的反馈和自主权等工作资源时,家庭护理人员对疲惫的承受力会更强,也更不容易会玩世不恭。

这些图表明,当获得高水平创新以及被高度认可的支持时,老师就可以更好地应对学生的不当行为。
这一理论已经在多项研究中得到验证,而且这些研究的结果相当一致。比方说,图 3 和图 4 取自 2006 年的一项研究,研究对象是两个家庭护理机构的员工。研究人员发现,当家庭护理人员获得高水平以及自主权等工作资源时,就算面对高强度的身体劳动与患者骚扰,其抗疲惫能力也会更强,不那么容易有态度问题。图 5 和图 6 取自 2006 年对芬兰小学、中学和职业学校教师的研究。这些研究人员发现,如果工作文化重视创新,对教师予以充分赏识,老师就能更好地应对学生的不当行为。

这些图表以及 Bakker 等人的综述论文所引用的其他研究均表明,在高工作要求条件下,高水平的工作资源有助于改善倦怠的影响。
不妨花几秒钟时间看看下面 Bakker 评论论文中引用的各种工作要求和资源,看完你对不同工作场合的工作要求和工作资源就能有大概的了解了。

这个怎么用?
作为员工,如果对你的工作要求始终很高,而且似乎都没有放松的迹象的话,那你就得利用好手头的工作资源了。
说得具体一点,你需要有工作的自主权,你需要获得公平有效的反馈,你应该获得社会支持,与主管建立高质量的关系。这里重点要指出的是,可用的工作资源你没法都控制得了,因为这是你的直接领导、公司领导以及工作环境的职能。
如果你是雇主,需要知道的是,如果能为他们提供大量的工作资源,就可以对员工提出很高的工作要求也不会导致他们面临倦怠的风险。建立更好的工作文化,纳入更多的反馈循环,让员工自主工作,并花时间与员工建立高质量的关系。
资源保存(Conservation of Resources ,COR)模型
资源保存(COR)模型为工作倦怠的演变提供了另一种解释。COR 模型理论认为,个人“努力获得和维持自己重视的东西”,它称之为“资源”。当工作阻止人们获取或维持这些资源时,压力就会随之而来,最终导致倦怠。说得具体一点,压力在以下情况下会累积:
资源受到威胁。
资源丢失。
当人们投入资源却没有获得预期的收益时。
资源可以定义为:
物质资源——漂亮的衣服、汽车。
条件资源——就业、婚姻、社会地位。
个体资源——公开演讲能力、交际能力。
能量资源——时间、精力。
有时候,人们会投入时间和精力等资源去追求权力和金钱等更珍贵的资源。如果他们投入了这些资源但没有获得预期收益,就会被认为是一种损失。
当这些个人资源丢失,并且员工无法弥补这些损失时,员工就会面临倦怠的风险。
鉴于 JD-R 和 COR 模型十分相似,你可能会问:它们之间有什么区别?
不同之处在于 COR 模型把损失放在首位。换句话说,它认识到损失比收益更显著。失去资源的人需要获得更多的资源来弥补损失。
从某种角度来说,这个理论更现实一些。比方说,如果你在某项目上投入了大量资金,但管理层决定终止该项目的话,你可能需要一段时间的恢复才能弥补损失。
工作生活领域量表(Areas of Worklife Scale ,AWS)
这就引出了一个更新的模型。工作生活领域量表(AWS)是 Michael Leiter 和 Christina Maslach 根据过去二十年倦怠研究文献建立的衡量标准,这个模型还不太成熟,但也许可行性更强。它不仅是为学术研究人员设计的工具,对从业者也很有帮助。
Leiter 和 Maslach 在回顾关于职业倦怠和工作压力的研究时,他们确定了六个会让人面临职业倦怠风险的关键领域。
1)工作量
这是最明显、被讨论最多的一个领域。在太短的时间内有太多事情要做,资源太少的人就会有倦怠的风险,尤其是在疲惫这个维度上。同样地,并不是工作量大就一定会导致倦怠。如果人们有机会或资源来恢复,那么工作量大也是可以管理的。
2)控制
这个领域代表“员工感受到的以下几种能力:影响会对其工作造成影响的决策的能力、行使职业自主权的能力,以及获得完成有效工作所需资源的能力”。对工作几乎没有控制权的员工可能会觉得工作效率低下(属于MBI 的三个维度之一)。
3)奖励
最明显的一个是金钱,但社会奖励和内在奖励(intrinsic rewards)也算。缺乏认可(社会奖励)会降低工作和员工的价值。这一点与效率低下的感觉密切相关。内在奖励也应该做,做了一件很重要的事,而且做得很好,那种油然而生的自豪感就是内在奖励。
4)社区
社区代表了“工作当中社交互动的整体质量,包括冲突、相互支持、亲密关系以及团队协作能力”。当今的工作社区远程办公或混合办公已经常态化,与 COVID 之前的时代已大不相同。但不管怎样,缺乏社会支持,或者与同事长期存在冲突仍然是导致倦怠的关键因素。
5)公平
公平代表“人们感知到的工作决定的公平程度,受尊重程度”。比方说招聘或晋升流程等的公平性。哪怕结果对特定员工不利——比如未获升职——只要相关员工认为过程是公平的,他们也能接受。出现大规模裁员和企业重组(就像 COVID-19 疫情最严重的时候所发生的事情那样),则可以向员工揭示所在工作场所是否存在公平或不公平现象。
6)价值观
价值观就是“一开始吸引员工过来工作的理想和动机。”价值观高于金钱或晋升。这关乎的是公司价值观和行为与员工个人价值观和行为的一致性。如果不一致,员工将面临倦怠三方面的风险。
以下是上述内容的摘要:

Leiter 和 Maslach 提出,在工作生活这六个领域,人与工作的不匹配程度越大,倦怠的可能性就越高。反之亦然:匹配度越高,人的投入程度就越高。不过,这六个领域之间存在着复杂的相互关系。比方说,如果你从一开始就没有控制权,自然也没法做出改变,减少工作量。
因此,Leiter 和 Maslach 假设了下面的模型,叫做中介模型(Mediation Model),用这个模型阐述工作生活六个领域与职业倦怠三个维度之间的关系。中介模型是一种组织变革模型——这意味着它的目的是为应对职场倦怠、拟对组织做出调整的领导提供指导。
这种模型属于加法模型,相对比较简单,工作生活的六个领域任何一个存在不匹配都会增加倦怠的机率。Leiter 和 Maslach 后来又提出了一种更复杂的相互关系,他们假设,“控制”这个要素更加重要,因为对员工影响决定其工作生活质量的人员和流程的能力太关键了,所以要把它当作中介模型的起点。控制会影响到对“工作量”、“奖励”、“社区”和“公平”等其他领域的影响力。而“价值观”则起到了对其他领域(“工作量”领域除外)与 MBI 的整合与中介的作用。MBI 的假设是疲惫会导致玩世不恭,而玩世不恭会导致低效。MBI 的三个维度均会导致“评估变革的结果”——研究人员认为,也就是说,员工觉得组织是变好了还是变坏了。

中介模型说明了工作生活六个领域与倦怠的三个维度之间的关系。
如何防止倦怠
如果你只是通过主流来源了解倦怠相关信息的话,在个人层面上似乎有很多选择可以防止倦怠的三个方面。但其实很多都是误导。
Maslach 指出,“很少有研究评估过这些方法在降低倦怠风险方面的功效。基于随机对照试验建模的研究更是罕见。”
有一点很明显,看过的倦怠文献越多,就会发现,研究人员越来越强调倦怠不仅仅是一种个人现象。倦怠也有社会和组织方面的因素。这意味着许多经过验证的策略均把重点放在组织环境而不是个人环境。
这一点不难理解:作为员工,如果你所在的公司很糟糕,就算出现倦怠你也无能为力;而如果你是经理,手上的权力更多,因此改变事情的能力也会越强。
尽管如此,我们还是可以总结出防止倦怠那三个维度的若干策略。
防止筋疲力尽
工作量需求要适度
少干活——未必随时可行,不过大多数人在经过一段高产出和高压力时期之后都需要一段恢复期。
多休息
避免加班
提高睡眠质量
白天晒晒太阳或接受强光照射。
夜间减少接触人造光。
锻炼——体育锻炼可以减少倦怠。
营养——考虑减少精细加工食品和红肉的摄入量,同时增加水果、蔬菜和全谷物的摄入量。
防止玩世不恭
玩世不恭与员工个人价值观与工作场所的一致性相关性更强。
改善工作礼仪——在个人层面上并不容易做到,不过在组织层面上做到这一点会容易些,但需要文化变革。
加强同事和主管的支持——实施管理的最佳实践,比方说定期进行一对一会议,会对此有所帮助。
防止低效
认可和赞美成就的工作文化。
定期进行反馈和绩效评估。
确保绩效评估按照公平的标准进行。
根据工作生活领域量表(AWS)的中介模型,实施这些防止倦怠的策略时有一点要注意,那就是员工先得控制自己的工作生活,这是采取行动防止倦怠的基础。
倦怠预防的案例
在这一点上,了解两个在现实世界中似乎能够防止倦怠的个人轶事可能会有所帮助。阅读这些轶事并牢记上述倦怠模型 - 你可能想问的一个问题是:他们中的任何一个都缺乏控制或工作资源吗?
玛丽莎·梅耶尔的故事
玛丽莎·梅耶尔(Marissa Mayer) 曾任雅虎 CEO 以及谷歌副总裁(她是谷歌的第 20 号员工)。在谷歌工作的时候,她工作非常卖力,每周要工作 130 多个小时。她说“这是一项艰巨工作”,而且“每周都熬夜”。尽管她在谷歌的头五年被迫要应付这个问题,但她仍设法通过“找到自己的节奏”来避免倦怠。
梅耶尔认为,我们都会有“某项重要到不能错过的活动”。如果错过了这项活动,我们就会心生怨恨,进而导致精疲力竭。这项没有商量余地的活动可以是每个周五的电影之夜,每个周日与家人共进晚餐,或者每周去健身房三次。她认为,每个人的具体事项会各不相同,但是一旦你找到了自己的那件事,就永远都不应该跳过。《企业家》杂志的一篇文章曾这样描述她的哲学:
第 1 步:注意是否有怨恨的迹象。
在 92Y 上,梅耶尔对着听众说:“倦怠与怨恨有关。要想预防倦怠,关键是要足够了解自己,知道放弃什么会导致你心生怨恨。”
她的判定没错。新斯科舍省阿卡迪亚大学心理学教授 Michael Leiter 表示:“问题在于,当你感到疲倦时,能不能补充能量。”如果无法恢复精力或解决与工作中的价值观冲突,你就会有筋疲力尽、玩世不恭和气馁的感觉——这些都是倦怠的标志。
第 2 步:找到你的节奏。
梅耶尔的理论是,你需要找到自己的“节奏”,这意味着当对你非常重要的活动做不了的时候,你就会产生怨恨。用 Leiter 的话说,是那项活动让你恢复了精力。这可能意味着每晚睡 8 小时,每天练习瑜伽,或者每周出去踏青一趟。不管是什么,那件事情对你的满足感至关重要,所以不要跳过它。
Leiter 说:“对于大家,尤其是创业者来说,投入大量的精力和时间是没问题的。工作过度本身不会让人筋疲力尽,但如果没有可以补充精力的事情的话,你就会倦怠。”
第 3 步:给予员工一项必备的自由。
当梅耶尔怀疑员工可能会倦怠时,她会要求他们找到自己的节奏。员工有的说“周二我需要回家吃晚餐”,或者“我需要准时去看女儿的足球比赛”。她会一一满足这些需求——没有例外。
梅耶尔警告称:“你不可能想要什么都行。但你可以拥有对你来说真正重要的东西。这能让你在很长一段时间内为你所热爱的事情努力工作。”
“找到你的节奏,这件事情没有妥协的余地。”这一策略对梅耶尔有效。不过,值得注意的是,她有很强的自主权,所以可以对冲那些一样极端的工作要求。但对她管用的策略用在你身上未必有效。
卡尔·纽波特的故事
卡尔·纽波特(Cal Newport)是乔治城大学计算机科学教授,《纽约时报》的畅销书作家。他还为《纽约客》等多家媒体和博客撰稿,并于 2020 年开始了自己的播客。因此,他的工作量必然非常大,同时,作为 3 个孩子的父亲,他还得保持工作与家庭生活的平衡。
在一期播客里,纽波特曾介绍过他防止倦怠的方法。纽波特的诀窍是不同时候采取不同的工作节奏。这意味着他会在高强度与低强度之间循环。在低强度工作时段,他会得到更多的休息时间。这个规律对不同的时间尺度均适用——周期可以按季度、按月或者按周。如果纽波特这个半年工作很努力,那下半年就会安排得轻松些。如果早上和下午都在进行深度工作,那下午 5 点前他就会停下来。冲刺,休息,然后重复。
还是要注意纽波特对工作生活的控制力,以及他可用的隐性工作资源。从某种程度上来说,纽波特之所以选择这份工作,是因为可以有很大的自主权——在《一技之长才有人生筹码》(So Good They Can’t Ignore You)中,他写道,他之所以选择乔治城大学的职位是因为那里能赋予他更高的自主权。
如何从倦怠中恢复
坏消息是:我们对如何从倦怠中恢复知之甚少。我们只知道这两件事:
个人干预不起作用——我们所说的个人干预是指仍在继续导致倦怠的工作场所中采取的干预。
如果离开导致倦怠的工作环境,你就能恢复。
再重申一次,用更大的嗓门重申一次:大多数被研究过的个人干预措施均不起作用。正念没用。冥想没用。气功也不行。唯一有效的办法是离开导致倦怠的环境,然后用一些时间去恢复。好消息是恢复是有保证的。2017 年, 有人对 14 项不同的倦怠干预研究进行过荟萃分析,最后得出结论:“倦怠不是一种稳定现象;会随着时间的推移而减弱,大多数人仍能继续工作。”换句话说,一旦你从疲惫不堪的工作环境中解脱出来,完全康复只是时间问题。
总结
那么,本文都讲了什么?其实核心就是这个,倦怠其实有三方面的表现:疲惫不堪(心好累)、玩世不恭(不高兴)以及低效(我不行)。然后我们介绍了倦怠的反面,也就是“投入”这个概念,之后还介绍了三种不同的倦怠演变模型。
阅读本指南的最大收获应该是什么?看完之后,你应该明白,倦怠实际上是“社交环境下的压力体验”。如果你对所在的工作场所没有控制力的话,倦怠是没法防止的——这意味着选对工作场所非常重要,去最适合你目标的地方工作。
请注意,这里的意思不是让你“选择压力小的地方” ,或者“没有野心,选一份容易的工作”。倦怠研究表明,选择工作要求高的工作场所是完全可以的,只是也要有相应水平的工作资源支持——或者至少要对从“损失”中恢复有很好的理解。
其实这份指南对领导者和管理者来说更重要。由于你对所在组织拥有权力,只有你可以让组织变得更好。做出这类改变的最佳模型可能是“工作生活领域量表”——通过这个模型可以知道应对工作场所压力相关因素的顺序。
至于其他人,我们希望本指南能让你更好地了解职业倦怠,对未来该去哪里工作做出更细致的判断,同时知道用更丰富的视角去审视网上那些关于职业倦怠的轶事。
衷心希望,你与严重倦怠永远绝缘,祝你好运!
@THE END

@领导者管理笔记 的管理图书店开张了,定位为提供全球范围内优质的管理&领导力书籍,如果你致力于提升领导力。
欢迎下方扫码选购。



欢迎加入领导者社群
公众号改变了阅读规则,有朋友反映有时会收不到文章推送,为避免错过好文,请朋友们将本公众号加“星标★并点“在看”吧。第一步:点击上方蓝字”,第二步:点击右上角“……”,第三步:设为星标★。
《领导者管理笔记》读者群开放,如你致力于提升领导力
请加(微信:Tapmadou)进群
文章来源 :领导者养成笔记「ID:GoToLead 」,转载请公众号回复“转载”
版权说明 :张三丰(MBA,15年500强跨国公司高层管理经验,人性化管理实战与理论结合第一人,“人人都是领导者“理念推动者,在管理实践方面兼顾西方管理与中国人文,目前为多家公司管理咨询顾问。

