富德生命人寿重庆分公司
离职销售人员信息公示
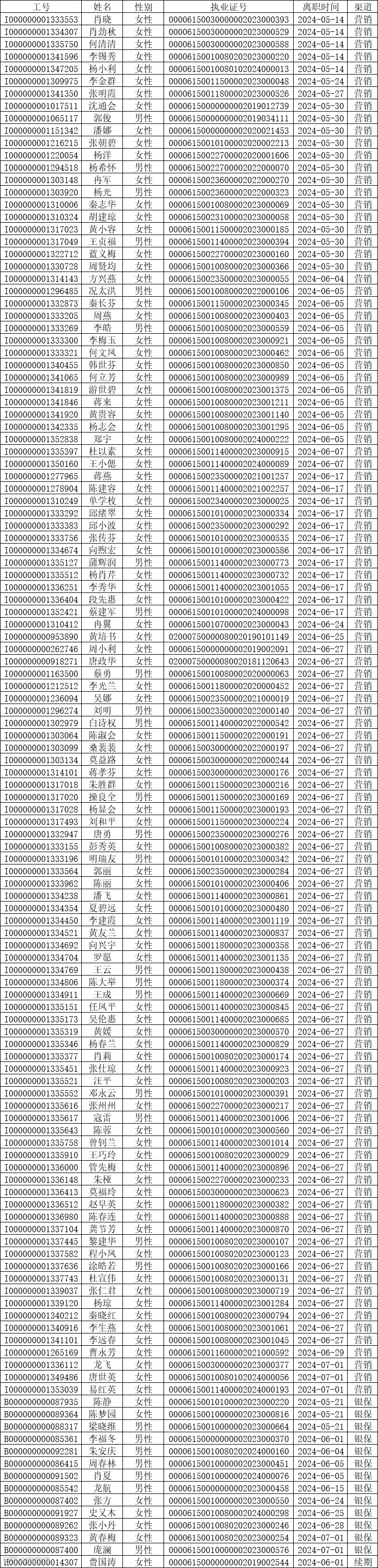
根据富保寿渝发〔2018〕30号《重庆分公司销售人员离职管理办法》相关规定的要求,现将富德生命人寿重庆分公司2024年5月14日至2024年7月1日离职销售人员相关信息公示如下:
一、基本信息
本次公示离职人员包含营销渠道112人,银保渠道13人,续期渠道1人,共计126人。公示的信息包含离职人员工号,姓名、性别、执业证号码以及离职时间。
二、离职销售人员公告信息如下:

三、公告申明
以上人员与富德生命人寿重庆分公司代理合同或劳动合同已终结,不得再以任何形式用公司名义或引人误解的借公司名义进行任何销售行为。
四、消费者咨询途径或后续服务
1.拨打客服电话:95535
2.前往我公司当地分支机构营业网点咨询。
3.公司收展服务人员为以上离职人员客户提供后续服务工作。
特此公告!
富德生命人寿保险股份有限公司重庆分公司
2024年7月9日
● 保险公司不得违规销售非保险金融产品,请勿参与非法集资

