1、设计方法概述
根据电压指标要求,普通晶闸管或GTO通常选择耐压结构为NPT型、PT型或FS型耐压结构,GCT通常选择FS型耐压结构。普通晶闸管通常根据di/dt和du/dt等要求来确定门阴极结构,并选择放大门极和阴极短路点图形,GTO或GCT通常选择分立的门阴极结构。
(1)选择衬底:常采用<111>晶向的区熔中照单晶(NTD)作为衬底材料。耐压设计目标是断态不重复峰值电压UDSM。
(2)耐压结构设计:当要求正、反向都有耐压时,必须选择NPT型。如果对反向耐压没有要求,则可选择PT型或FS型。当正向耐压要求非常高时,可考虑选择FS型,以兼顾通态压降和开关速度,否则选择PT型结构。
NPT型n基区的设计是关键。选择适当电阻率,在保证耐压的前提下,尽可能减小n基区厚度Wn,以降低通态压降。为使正向时J2结不穿通到J1结、反向时J1结不穿通到J2结, Wn等于最高电压UDSM下n基区耗尽层扩展宽度Wdn加一个中性区宽度WL余量。通常WL限制在Lp和Wdn/3范围内。为使正向时J2结不穿通到J3结,p基区Wp应大于最大工作电压下p基区的耗尽层扩展宽度Wdp,即Wp>Wdp。
PT型器件,n缓冲区设计也很关键,对n缓冲区进行折中考虑,选取Wnb≥10μm, Nnb≈1017cm-3。
FS型器件,nFS层的设计是关键。通常选取nFS区的厚度和掺杂浓度满足:Wnf≥20μm, Nnf≤1016cm-3。
2、超高压晶闸管的设计
2.1 纵向结构设计
先要考虑阻断电压和通态压降的折衷。由于n基区较厚、衬底掺杂浓度很低,为降低通态电压,需采用FS型耐压结构。
2.2 门-阴极结构设计
图1 晶闸管各种放大门极图形
门-阴极图形设计需考虑器件的临界电流上升率和临界电压上升率。
普通晶闸管对速度要求不是很高,采用图1a、b所示常规放大门极。
高频晶闸管工作频率高,开关时间极短,以减小开关损耗,同时尽可能地增大初始导通面积及阴极面的有效面积,以提高器件承受di/dt的能力和高频电流的导通能力。采用图1f、g所示的放大门极,以增加门-阴极周界长度,加速开通时等离子体的扩展。
快速晶闸管对开关速度要求较高,采用图1c、d及e所示的放大门极。
超高压、大电流的普通晶闸管,多采用图1d所示的放大门极。
(1)中心门极设计
门极触发电流:
式中,RSB为p2基区的薄层电阻,由n2阴极区下方p2基区的电阻率ρPB与其厚度WP2的比值决定;wKG为门极至第一个阴极短路点的阴极区总宽度。
图2 晶闸管的中心门极与放大门极及阴极短路点结构
(2)放大门极设计
据放大门极辅助晶闸管的p基区横向电阻RBA必须大于主晶闸管的p基区横向电阻RBM,以确保门极电流先将辅助晶闸管在主晶闸管之前触发开通。令rSA/rKA>rSM/rKM时,可满足此设计准则要求。
门极触发电流:
为了满足晶闸管门极引线连接要求,中心门极电极半径通常为0.25cm。所以,当内径rKA为0.5cm,外径rSA为0. 55cm时,才能满足放大门极晶闸管阴极区的设计要求。
(3)短路点设计
晶闸管重新导通前能承受的阳极电压最大变化率du/dt与阴极短路图形有关。
由触发晶闸管进入导通状态的最大位移电流所决定的临界du/dt为:
由上式,通过降低p基区的电阻率ρB,减小阴极短路区宽度wKS,可提高du/dt 容量。 当温度升高时,J3结电压UE下降,p基区电阻率增加,du/dt容量会降低。
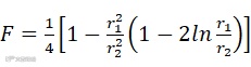
采用短路阴极会降低晶闸管开通后的扩展速度,导致开通功耗和通态压降增加。为兼顾临界du/dt和开通特性,在放大门极旁边尽可能少地安置短路点。通常短路点设计为正三角形分布,可使纵向位移电流在p2基区内横向 流入短路点,以避免J3结发生电子注入。短路点的有效性取决于其半径、间距及p基区的电阻率为ρB。
有短路点时的临界位移电流密度为:
F为短路因子与两个短路点的中心距(2r1)和外径距(2r2)有关:
临界电流密度随p基区厚度增加而增大,随p基区电阻率和短路因子的增大而减小。实际工艺中通过采用镓扩散来提高p基区的次表面掺杂浓度,以降低其电阻率,可获得较高的临界电流密度。
采用阴极短路点,还可以减小阴极n2p2n1晶体管电流放大系数α2,从而减弱晶闸管转折电压随温升的变化。除了阴极短路点外,通常在芯片周围需要设计一个包围整个芯片圆周的短路区,可将周边区域内流动的任何电流分流至阴极。
3、大电流GTO的设计
GTO的设计关键在于J3结次表面掺杂浓度的控制和门-阴极图形的设计。高压应用的 GTO,关断损耗将成为限制其工作频率的一个主要因素。通过阴极图形的精细化及适当的少子寿命控制或采用短路阳极结构,均可提高GTO的工作频率。
3.1纵向结构设计
纵向结构设计关键是J3结次表面掺杂浓度和p2基区深度的控制,严格控制α1+α2→1.05的临界导通条件,使α2约为0.8左右,以保证导通时n2p2n1晶体管处于临界饱和状态,关断时又能及时退出饱和。p2基区的薄层电阻典型值为100~250Ω/□,对应的J3结次表面浓度(3~5)×1017cm-3时,J3结击穿电压在15~25V之间。
大电流GTO管芯尺寸大,设计关键是均匀性的控制,从以下几个方面考虑:
(1)采用FS型耐压结构,在获得高耐压同时可降低通态压降。
(2)采用短路阳极或浅结扩散法制作阳极,限制阳极p1n1p2晶体管的注入效率,以减小α1,从而改善GTO通态电压和尾部电流的折衷关系。
(3) 采用局部寿命控制技术,控制硅片轴向和径向的少子寿命,使器件内局部的载流子寿命最佳化。
(4) 采用全压接技术,将硅芯片、铝-硅合金片及钼片等通过非合金化压接形成电接触。使阴极表面的压力均匀、有效面积增大,从而降低热阻。同时提高关断能力、机械强度和浪涌电流容量。
3.2 门-阴极结构设计
横向结构主要是门-阴极图形,设计关键是要解决开关期间电流的均匀性问题。
(1)门-阴极图形设计
小电流GTO常采用图3a所示的门-阴极图形;大电流GTO,常采用图3b所示的环形门极结构,门极位于多环中央,在环形门极的内外阴极条均按照同心环排列。这样布局可以保证所有阴极指条距环形门极接触的距离相差最小,不仅能有效地抽取载流子,而且有利于减小门极的分布电感和门极金属化层的电阻。
图3 GTO的门-阴极图形
(2)阴极指条设计
通常将指条状阴极的四周做成圆弧状,使拐角处也呈准柱面结,以保证J3结有较高击 穿电压。
图4 GTO的阴极指条图形
图5 ITGQN与w和阴极指条数n关系
阴极指条尺寸和条数与最大可关断电流ITGQM密切相关,并且阴极指条的宽度和长度也与存储时间ts有关。为了提高ITGQM、开关速度及抗二次击穿的能力,需要对阴极指条的宽度w和长度l加以限制。如图5所示,ITGQM越大,阴极指条数就越多,同时w也越窄。
(3)门-阴极尺寸设计
根据最大可关断电流ITGQM、门极触发电流IGT和触发电压UGT等指标来设计门-阴极尺寸。IGT和UGT及ITGQM均与p2基区厚度和表面薄层电阻有关。设计时,在满足阴极n2p2n1晶体管电流放大系数α2和J3结击穿电压UBR(J3)的情况下,先确定p2基区厚度和表面薄层电阻;再根据门极特性指标调整中心门极或环形门极的尺寸;最后根据额定电流指标来确定阴极单元尺寸和数目。
4、IGCT的设计
设计关键是控制FS层和透明阳极掺杂浓度和厚度,以及波状基区的波纹形状。
4.1 纵向结构设计
(1)n FS层设计:n FS层与阻断特性、导通特性及开关特性有关,设计时既要保证n FS层能承受一定的耐压,又要保证阳极pnp晶体管的电流放大系数α1不能太低,以免通态压降太大,必须对其厚度Wn和掺杂浓度Nn进行折衷考虑。由于n FS区受透明阳极掺杂浓度的限制,Nn通常取在1×1017cm-3以下。
(2)p+透明阳极设计:设计要综合考虑通态特性和关断特性。透明阳极厚度Wp1和掺杂浓度Np1的设计以注入效率和关断特性优化为主。Np1的取值通常在1018cm-3数量级。
(3)波状p基区设计:关键是波纹形状的设计。当波纹宽而高时,可获得良好的导通特性和开关特性,但阻断电压下降较多;当波纹窄而低时,对阻断特性影响较小,但对导通和开通特性的改善效果不明显。要获得高度适中的波纹,需减小阴极宽度或增加p基区深度,必然会导致p基区Al扩散的高温时间延长。同时考虑到阴极散热面积限制,阴极宽度不宜太窄。
4.2 横向结构设计
(1)设计考虑:阴极指条越宽越长,通态特性越好,热阻也越小,但不利于关断。由于GCT在开通时要求J3结瞬间大面积开通,在关断时要求J3结瞬间截止。所以,窄而短的阴极指条对开关特性有利。
(2)门-阴极图形设计:阴极单元的形状和面积不会影响GCT的关断,但其外围门极区的形状和面积会影响其关断的均匀性。在GCT门-阴极单元设计中,让门极区面积保持不变、每个阴极单元面积随位置而变,保证从门极区流过的电流尽可能相等。
RC-GCT是将AS-GCT与二极管反并联在一起,门-阴极图形有两种布局:一是AS-GCT在芯片中央,二极管在外围,采用这种布局可简化其结终端工艺;另一种是二极管在芯片中央,AS-GCT在外围,采用这种布局可使芯片均匀地承受机械应力,并增大GCT的门极尺寸,有利于器件更均匀地开关。
图6 采用沟槽-pnp复合隔离的波状基区RC-GCT
(3)隔离区设计
隔离区宽度计算:
式中,xjAl为p基区Al扩散结深;k为横向扩散系 数;WD为J3结击穿时的耗尽层扩展宽度;Lp为空穴在n-基区的扩散长度。
(4)均匀性设计
图7 B-GCT阴极图形与剖面结构

