--普通功率二极管--
1 基本结构
p+nn+结构:这种结构通常采用外延工艺形成,因此也称为外延功率二极管。由于n区厚度较薄,使得二极管的正向压降低、反向恢复快,所以 p+nn+结构是一种理想的快恢复二极管结构。
p+pnn+结构:通常采用扩散工艺形成,因此也称为扩散功率二极管。不仅能提高注入效率,增强电导调制效应,使得二极管具有较理想的正向导通特性,同时反向也能承受高电压。

图1 功率二极管剖面结构
2 特性参数
(1)正向平均电流IF(AV)在规定的结温和散热条件下,允许流过的最大正弦半波电流平均值。
(2)正向压降UF指在一定温度下,流过某一指定的稳态正向电流时对应的管压降。
(3)反向重复峰值电压URRM所能重复施加的最高反向电压,为其雪崩击穿电压UB的2/3。URRM为功率二极管的额定电压。
(4)反向漏电流IR反向截止时pn的漏电流。
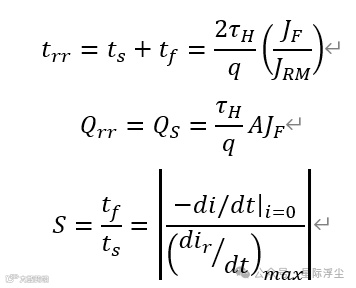
(5)反向恢复时间t rr指反向恢复过程中,从IF过零到IR下降到其最大值的1/4 时的时间间隔。由存储时间ts和下降时间tf组成。
(6)反向恢复峰值电流IRM反向恢复期间的反向电流最大值。
(7)反向恢复电荷Qrr反向恢复期间抽取的电荷量,可定义为反向电流对时间的积分。
(8)软度因子S反向恢复时间内的下降时间tf与存储时间ts的比值,是描述反向恢复特性软度的专用参数。
(9)浪涌电流IFSM 功率二极管所能承受的连续一个或几个工频周期的最大过电流。IFSM表征二极管抗短路冲击电流的能力。
(10)最高工作结温Tjm在pn结不损坏的前提下,所能承受的最高平均温度(125℃~175℃)。
在实际应用中,为了获得低的静态功耗,要求功率二极管的正向压降 UF和反向漏电流 IR尽可能小,且正向压降有正的温度系数(即dUF/dT> 0),高温漏电流也要小。为了获得低的开关功耗,并减小电磁干扰(EMI),提高电力电子设备可靠性,要求功率二极管的正向恢复时间tfr短、正向峰值电压UFM低、反向恢复电荷Qrr少、反向恢复时间 trr短、反向恢复峰值电流IRM小,以及软度因子S大。
3 静态与动态特性
3.1反向击穿特性
(1)截止状态下的电场强度分布
p+pnn+二极管的n区通常为衬底材料,其掺杂浓度通常为1012~1013cm-3,p+阳极区和n+阴极区是通过扩散形成的,表面掺杂浓度为1020cm-3。而p+nn+二极管的n+阴极区通常为衬底材料,掺杂浓度约为1020cm-3,n层为外延层,掺杂浓度为1012~1013cm-3,p+阳极区是 通过扩散形成的,表面掺杂浓度也很高,在1019cm-3以上。相比较而言,p+pnn+结构的n区掺杂浓度稍高,且厚度Wn较厚。

图2 功率二极管掺杂浓度分布及截止状态下的电场分布
(2)反向击穿电压

(3)反向漏电流
pn结的反向漏电流主要包括:空间电荷区外的扩散电流ID、表面漏电流IS和空间电荷区的产生电流IG。高温下,表面漏电流和扩散电流要远小于空间电荷区的产生电流,故空间电荷区的产生电流IG是漏电流的主要组成部分。

式中,A为pn结的面积,ni为本征载流子浓度,WD为空间电荷区的宽度,τSC为空间电荷区载流子的产生寿命。
3.2 正向导通特性
不论是p+nn+结构,还是p+pnn+结构,由于非平衡载流子的注入,都会导致功率二极管的通态载流子分布近似为U形分布。在 p+i结处,电流几乎由从p+区注入到i区的空穴承担,只有很少的电子从 i 区注入到 p+区。在n+i结处,情况正好相反,电流几乎由从 n+区注入到 i 区的电子承担,只有很少的空穴从i区注入到n+区。并且,从p+区注入到i区的空穴电流与从i区注入到n+区的空穴电流两者之差为i区内复合的空穴电流。对电子电流也有相似的情况。

图3 大注入时的载流子和电位分布


图4 功率二极管特性参数与温度的关系
门限电压 UTO由 3πIF(AV)/2与 πIF(AV)/2电流所确定的直线与横轴交点的电压来确定,该直线的斜率即为导通电阻 rT的倒数。
高温下功率二极管的门限电压会减小,并且两条曲线相交,该交点通常被称为零温度系数(ZTC)点。在交点之下,UF随温度的增加而减小,即 UF具有负的温度系数,容易引起热集中;在交点之上,UF随温度的增加而增加,即UF具有正的温度系数,有利于均温均流。故可根据高、低温导通特性曲线上ZTC点的高低来判别器件的特性优劣。该交点越低,表示器件的高温特性越好。
3.3 开通特性
在开通过程中,随着阳极电流的上升,阳极电压会先上升达到正向峰值电压UFM,然后才恢复至正向压降UF的水平。这是由于开通过程开始时n区缺少电导调制所致。电流上升率越高,UFM越高,产生的开通功耗就越大。
开通时间即正向恢复时间tfr,定义为阳极电压由0.1UFM经峰值再降为1.1UF这段时间间隔。相对关断过程而言,功率二极管开通过程很快。
值得注意的是,作为续流和吸收用的功率二极管,其UFM很重要。因为开通过程中的电流上升率di/dt很高,产生的UFM要比导通状态的UF高出许多。在实际应用中,由于吸收二极管只有在导通后才能发挥作用,要求UFM值较低是其重要标志之一。在主器件关断时,电路中的寄生电感会感应出一个电压尖峰,叠加在续流二极管的UFM之上,两者之和可能导致过电压。

图5 功率二极管开通时的电流与电压曲线
3.4 反向恢复特性
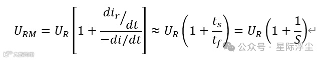
在t0时刻,电流达到零点。在t1时刻,二极管开始承受反向电压。在此期间,二极管内的非平衡载流子被快速抽取。在 t2时刻,反向电流达到最大值IRM,此时p+n结开始恢复。在t2时刻之后,电流逐步衰减至其漏电流值,其轨迹完全由二极管内残余载流子的复合来决定。由于换流电路存在电感,导致二极管两端会出现一个反向恢复尖峰电压URM,随着反向电流逐渐减小到零,反向电压经过峰值后也逐渐恢复到外加的反向电压UR。在反向恢复过程中,如果电流衰减过程很快,即dir/dt很大,则对应的URM很高,称为硬恢复(Snappy);如果衰减过程很缓慢,即 dir/dt 很小,则对应的URM也较低,可称为软(Soft)恢复。

图6 二极管反向恢复特性曲线
反向恢复特性常用反向恢复峰值电流 IRM、反向恢复尖峰电压URM、反向恢复时间trr、反向恢复电荷Qrr及软度因子S等指标来表征。反向恢复时间trr定义为从t0时刻电流过零开始到t3时刻电流衰减到0.25IRM时的时间间隔。trr由存储时间ts和下降时间tf两部分组成。ts表示从t0时刻开始到反向电流达到最大值IRM时所经历的时间,tf表示从反向电流达到最大值IRM开始到衰减至0.25IRM时所经历的时间。反向恢复电荷 Qrr定义为反向恢复期间反向电流对时间的积分,Qrr随反向恢复电流峰值IRM和反向恢复时间trr的增加而增大。IRM值与pn结两侧的非平衡载流子抽取速度有关。
Qs:正向导通时二极管n区的存储电荷
JF:正向电流密度
JRM:反向峰值电流密度

S越大,表示反向恢复特性越软。为了提高反向恢复特性的软度,常要求tf大于ts。但并不是tf大于ts就一定能获得软恢复特性。不论tf是否大于ts,只要dir/dt较高,即为硬恢复特性;而软恢复特性要求曲线有一个较长的拖尾,同时不会引起电流和电压振荡。

dir/dt决定了反向恢复尖峰电压的高低。URM越低,表示反向恢复特性越软。在测试电路中,URM由最大反向电流下降率(dir/dt)max和电感Lk来决定。
反向恢复功耗:反向恢复过程可分为两部分:第一部分为电流上升至反向恢复峰值电流阶段以及之后按dir/dt速率下降过程。如果二极管的di/dt和dir/dt大致相当,即ts与tf相近,则反向恢复峰值电流IRM对器件的冲击最大,此时的反向尖峰电压也很大,将会产生很高的功耗。第二部分为拖尾过程,即由反向恢复电流缓慢衰减至零的过程。此时,功率二极管上已有恢复电压,故此时的损耗主要取决于拖尾电流。
在电力电子电路中,功率二极管通常作为整流或续流用,主要目的是降低功耗,保护主开关器件,以提高电路的可靠性等。整流用的功率二极管通常对静态要求较高,而续流用的功率二极管对动态要求较高。对续流二极管来说,当主开关器件刚开通,续流二极管处于反向恢复初期时,由于主开关器件两端的电压还处于母线电压水平,此时主开关器件的开通功耗最大。当主开关器件已经完全开通,二极管处于反向恢复的拖尾阶段,主开关器件两端的电压已经降至很低,所以拖尾电流对主开关器件的损耗影响较小。在实际应用中,主开关器件的开关损耗远高于续流二极管的损耗。为了使主开关器件和续流二极管的总损耗最小, 应减小续流二极管反向恢复峰值电流,并将其大部分存储电荷保留至拖尾阶段再释放,于是在满足二极管低开关损耗的前提下,可获得较软的反向恢复特性。

