1、结构类型
控制信号:电控晶闸管、光控晶闸管和温控晶闸管。
按结构来:,普通晶闸管、非对称晶闸管、快速(或高频)晶闸管、双向晶闸管、逆导晶闸管、门极关断(GTO)晶闸管、发射极关断(ETO)晶闸管、MOS关断(MTO)晶闸管及集成门极换流晶闸管(IGCT)等。
按电压容量:低压晶闸管、中压晶闸管、高压晶闸管及超高压晶闸管。
按功率容量:大功率晶闸管、中功率晶闸管和小功率晶闸管。
按封装形式:金属封装晶闸管、塑料封装晶闸管和陶瓷封装晶闸管三种类型。
图1 晶闸管的基本结构与电路图形符号
(1)非对称晶闸管:相同电压额定值下,导通压降更低,但反向阻断电压也降低。关断时间较短,关断损耗较小。多用在逆变和斩波电路中,需要反并联续流二极管。
图2 非对称晶闸管结构
(2)逆导晶闸管:晶闸管与二极管共用n1基区,中间有一个电阻隔离区,将晶闸管的p2基 区和二极管p阳极区部分隔开。晶闸管通常处于圆形芯片的中央,二极管处在圆形 芯片外围,这种布局有利于简化结终端斜角造型。主要用于电力机车牵引。
图3 逆导晶闸管的结构及电路图形符号
(3)双向晶闸管:双向可控制导通和关断。广泛应用于静止无功补偿器(SVC)、工业传动装置、变压器调压器及软起动器等中。
图4 双向晶闸管的结构及电路图形符号
2、工作原理与特性
图5 晶闸管的I-U特性曲线
曲线①:正向阻断特性
曲线②:转折特性
曲线③:负阻区,表示门极触发时的瞬态
曲线④:正向导通特性
曲线⑤:反向阻断特性
曲线⑥:反向击穿特性
根据晶闸管导通原理设计的pnpn四层两端器件称转折二极管(Breakover Diode,BOD),主要用于电路的过电压保护。
特性参数:
(1)正、反向工作峰值电压(UDWM,URWM)是指应用设计中的工频正弦波每个周期重复出现的最大电压值,电压持续时间为10ms和8. 3ms。
(2)正、反向重复峰值电压(UDRM,URRM)是指可重复的、大于工作峰值电压的最大电压值,是晶闸管额定的标称电压值。实际应用电路中,施加到晶闸管上的重复电压不得超过该规定值。
(3)正、反向不重复峰值电压(UDSM,URSM)是指外部因素偶然引起的,其值通常大于重复峰值电压。一般取UDSM=1.1UDRM,URSM=1.1URRM。实际应用电路中应考虑一切偶然因素引起的过电压都不得超过该规定值。
(4)正向转折电压(UBO)和反向击穿电压(UBR)是指器件固有的或主特性反向时其值大于不重复峰值电压的极限值。器件工作时,若正向电压超过UBO,晶闸管进入通态,可能会引起器件特性恶化或损坏。若反向电压超过UBR,即使时间极短,晶闸管也很容易损坏。
(5)通态平均电压(UT(AV)):即管压降。在规定的条件下,通过正弦半波平均电流时, 晶闸管阳-阴极间的电压平均值。可见,通态压降的大小与电流有关,一般为1V左右。
(6)维持电流(IH):晶闸管在室温下被触发导通后,门极开路,维持导通状态所需的最小阳极电流。与触发信号无关,一般为几十到一百多毫安。IH值过小,高温特性和动态参数 都不好;IH值过大,导致维持通态和触发单元的功率增加。IH值通常有上、下限要求。
(7)擎住电流(IL):晶闸管从断态转换到通态,并移除触发信号之后,维持导通状态所需的最小阳极电流。IL不仅要维持两个晶体管的正反馈作用,还要为导通区的横向扩展提供足够的载流子。故IL比IH大,其值为IH的(2~4)倍,IL与工作条件有关。
(8)通态平均电流IT(AV):环境温度为40℃和规定的冷却条件下,在电阻性负载、单相工频正弦半波、导电角不小于170°的电路中,晶闸管允许的最大通态平均电流。选用晶闸管时,要根据所通过的具体电流波形来计算允许使用的电流有效值,该值要小于额定电流对应的有效值。对于单相工频正弦半波,当有效值为平均电流的π/2,晶闸管才不会被损坏。实际应用中,一般取(1.5~2)倍的安全裕量。
(9)浪涌电流ITSM:由于电路异常情况引起、并使结温超过额定值的不重复性最大过载电流。浪涌电流期间,结温可能达到 200℃左右或更高,必须将结温降到额定结温(通常为 125℃或150℃)以下时,器件才能多次承受浪涌电流。由于浪涌电流对器件的寿命有影响, 在器件寿命期内,应限定浪涌电流出现的次数,最高100次。
(10)门极触发电压UGT和门极触发电流IGT在室温下,阳极电压为直流12V时,晶闸管完全导通所必需的最小门极电压、电流。UGT为1~5V,IGT为几十到几百毫安。
(11)门极最大不触发电压UGD和门极最大不触发电流IGD:在室温下,阳极电压为断态重复峰值电压UDRM的2/3时,晶闸管不开通的最大门极电压和电流。
(12)阳极电流的临界上升率:在晶闸管开通过程中,所能承受的、不会导致有害效应的通态电流最大上升率。为了避免晶闸管的电特性遭到不可逆的破坏,通态电流上升率必须低于此最大值。
(13)阳极电压的临界上升率:在晶闸管关断过程中,在额定结温和门极开路条件下, 晶闸管不会从断态转换到通态的最大正向电压上升率。表示晶闸管不会被J2结位移电流触发导通所需的du/dt最大值。
图6是晶闸管的电压与电流波形及其参数示意图。晶闸管正常工作时,要求其阳-阴极间的电压值处于正、反向工作峰值电压之间。图6b中的ITRM为通态重复峰值电流,Iov为过载电流,IT(RMS)为通态方均根电流。
图6 晶闸管的电压与电流波形与参数
3、静态与动态特性
3.1 阻断特性
(1)对称晶闸管反向阻断电压:
对称晶闸管正向阻断电压:
晶闸管的P1和P2层常同时扩散形成,因而具有相同击穿电压,即UB,n为一常数,取值为4;α1、α2分别为阴极p1n1p2晶体管、阳极n2p2n1晶体管的电流放大系数
温度升高,α1和α2增大,晶闸管阻断电压下降。
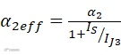
提高正向阻断电压,常采用阴极短路结构,即在n2区设置短路点,使得经过J2结进入到p2区的空穴流可以通过短路点分流,降低了n2p2n1晶体管的电流放大系数就会减小。
α2等效值为:
(短路结构)IS流经短路区电阻的电流;IJ3流经J3结的电流
采用阴极短路点结构,不仅可以提高晶闸管的正向阻断电压,还可以提高du/dt耐量, 并改善其高温特性。
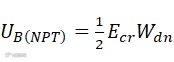
(2)非对称晶闸管的正向阻断电压高于对称晶闸管的,而反向阻断电压则明显降低。
正反向阻断电压:
,Wdn为n1基区耗尽层展宽;Ecr临界击穿场强
非对称晶闸管的正反向耐压不对称,且正向阻断电压明显高于反向阻断电压。
非穿通型结构适合对正、反向阻断电压都有要求的场合,其导致通态特性和开关特性差; 穿通型结构适合对正向阻断电压要求较高,不要求反向耐压的场合。对超高压晶闸管,采用 场阻止(FS)型的耐压结构。FS型与PT型结构的主要区别在于缓冲层不同。PT型结构中的缓冲层掺杂浓度较高,不仅可以压缩n1基区的电场,同时可以阻挡阳极区注入的空穴。而FS型结构中的FS层掺杂浓度较低,在阻断时只起压缩n1基区电场的作用,对阳极注入的空穴并无阻挡作用。FS型结构,在保证高阻断电压的同时,可使n1基区在导通时有更多的非平衡载流子注入,增强电导调制效应,以降低通态压降。
3.2 通态特性
通态压降:
式中,WT为耐压层(包括n1基区、p2基区及p1阳极区)的总厚度;Wp2为p2基区的厚度;nn2为n2阴极区的掺杂浓度;ni为本征载流子浓度;La为载流子的双极扩散长度;μa为双极迁移率;Da为双极扩散系数;JT为通态电流密度。
晶闸管的体压降Um与二极管的相同。在小注入水平下,J≈30A/cm2,体压降可以忽略。 在中注入水平下,J≈30~几百A/cm2,体压降不可忽略。在大注入水平下,J>几百A/cm2, 体压降明显增大.
降低通态压降的措施:(1)保证阻断电压条件下,减小硅片厚度(包括p1、n1和p2区厚度);(2)提高n1和p1区大注入寿命;(3)提高n2区的掺杂浓度,结压降UJ按对数增大,体压降Um则按平方根的倒数下降,且Um的变化比UJ的变化快,所以提高n2区掺杂浓度可降低通态压降。
3.3 开通特性
(1)门级触发要求:门极触发脉冲有足够的功率,使触发电压和触发电流大于晶闸管的门极触发电压和门极触发电流;并要求触发脉冲应有足够的宽度和陡度,且触发脉冲宽度一般应保证晶闸管阳极电流在脉冲消失前能达到擎住电流,使晶闸管导通。一般触发脉冲前沿陡度大于10V/μs或800mA/μs。
(2)开通时间:延迟、上升时间组成。
延迟时间:门级电流的10%到阳极电压下降到90%,或阳极电流上升到最大值的10%的时间间隔。延迟时间与载流子穿过两基区的渡越时间有关,还与外加的门极电流大小有关。外加门极电流的增大,延迟时间变短。阳、阴极间施加的正向偏压增加时,延迟时间会缩短。
上升时间:阳极电压由0.9EA下降到0.1EA的时间间隔。上升时间随两基区渡越时间的增长而增长,也随电流放大系数的减小而增长。
扩展时间:扩展速度与器件的结构和尺寸有关,基区较窄、寿命较长的扩展时间短。扩展速度与阳极电流密度JA有关。,当JA较小时,n=2,较大时n=4~6。无短路点的晶闸管n=2.1;有短路点的n=2.7。
短路点只在局部位置起作用,使技巧横向电流被分流,必然减慢扩展速度。当电流密度为100A/cm2时,阴极短路点会使扩展速度降低至约30μm/μs。
在扩展阶段,器件峰值压降UTM取决于di/dt,远大于晶闸管完全扩展后的通态压降UT。
开通时间ton的长短取决于门极电流脉冲的峰值及上升率,可以是几微秒,因此晶闸管开通期间的功耗也很高。
(3)开通功耗与临界di/dt:提高临界di/dt的主要措施是增大晶闸管的初始导通面积。 如采用放大门极结构、叉指状的门极-阴极图形及场触发门极。
(4)缩短开通时间的方法:对器件,减薄n1基区和p1阴极区的厚度,或增加p2基区的浓度梯度可有效地缩短两基区的渡越时间;提高n2阴极区的掺杂浓度可提高α2,缩短开通时间;减小门极周围的短路点,使门极电流更有效,作用面积更大,以增大初始导通面积。 对外电路,增加阳极电压,晶体管的电流放大系数增加,开通时间缩短;还可采用强触发, IG>>IGT,不仅延迟时间缩短,同时对提高di/dt耐量也有效。
3.4 关断特性
关断时间:
临界du/dt:门级开路情况下,晶闸管恢复阻断状态时所能承受的最大正向电压上升率。在此值以下,晶闸管不会被J2结的位移电流所触发导通。
提高临界du/dt,可采用阴极短路点,使位移电流流向阴极,不会引起n2阴极区向p2基区注入电子。但增加阴极短路点会降低开通后的扩展速度,同时会增加开通功耗和通态压降。
在关断期间,n1基区中间部分电子和空穴的浓度较高,并且载流子寿命也较长。采用质子辐照在n1基区中心处、垂直于电流方向的适当位置设立一个低寿命区,会使n1基区存储 电荷快速减少,并使通态压降增加得最少。若采用传统的掺金、铂等方法很难做到,采用质子辐照则可以实现。
缩短晶闸管的关断时间:对器件需降低少子寿命、控制基区厚度或适当增加短路点的密度等。对外电路,增加反向电压UR、减小重加正向电压及上升率du/dt。对实际应用,通过控制结温来减小关断时间。因为温度升高,载流子寿命和晶体管的电流放大系数增大,导致 toff变长。
开关功耗:开通过程和关断过程功耗+通态功耗,断态功耗可忽略
频率与总功耗成正比,当工作频率很高时,开通损耗和关断损耗在总功耗中占很大比例。
正常情况下,开通损耗占优势,为减小开通损耗,门极结构必须保证在导通初期有更大的初始导通面积,可采用放大门极结构。此外,还可通过缩短基区厚度、提高少子寿命、减小门极周围短路点的数目来降低开通和扩展损耗。
最高工作频率:,为载流子大注入寿命。
3.5 门级特性
(1)门级触发:门极特性参数包括门极触发电压UGT和门极触发电流IGT、门极最大不触发电压UGD和门极最大不触发电流IGD,以及门极触发功率。
为了保证可靠、安全的触发,触发电路所提供的触发电压、电流和功率应限制在必定触发区。晶闸管的门极特性应具有触发灵敏、抗干扰能力强等特点。为适应强触发要求,门极允许的耗散功率要大。
(2)非门级触发:外电压增加引起转折导通;du/dt误触发;热触发(温控晶闸管原理);光触发。
温控晶闸管:当温度升高,J2结的反向饱和漏电流增加;同时,少子的寿命也增加,使电流放大系数α1和α2增加,晶闸管转折导通。应用于电路中做温度报警器。
光控晶闸管:当光照到p2基区时产生电子-空穴对, 其电子被反偏J2结的电场扫入到n1基区,导致p1阳极区 向n1基区注入空穴。当有足够的载流子产生,并满足α1+α2≥1时,光电流导致晶闸管开通。应用于高压直流输电等大功率场合使用。
图7 晶闸管门极电压与门极电流的关系
3.6温度特性
表1 晶闸管的特性参数随温度升高的变化趋势


