1、结构特点及类型
图1 GCT的基本结构
(1)非对称GCT
AS-GCT是p+nn-pn+五层非对称晶闸管结构,其p+阳极区是一个浅的中等掺杂区,由于电子很容易穿过,故称为透明阳极。
在n-基区和p+透明阳极区之间附加了一层n型区,它比常规的非对称晶闸管的缓冲层掺杂浓度低,因此对透明阳极注入的空穴无阻挡作用,只对n-基区的电场强度起压缩作用,故称为场阻止(FS)层。
场阻止层是低表面浓度和较深的n型层;透明阳极是低表面浓度和较浅的p型层。
(2)逆导GCT
由AS-GCT与pn-nn+二极管反并联组成。在AS-GCT与集成二极管之间采用了pnp结构来实现结隔离,门-阴极之间无论加正向或反向电压时,pnp结构中总有一个pn结反偏,其漏电流很小,故采用这种pnp隔离的效果要比电阻隔离好很多。
(3)双门极GCT
以n-基区为中心的上下对称结构,有两个门极。五层的p+nn-pn+结构是由两个不同基区的双晶体管组成,其中p+nn-p 为宽基区晶体管,n+pn-n为窄基区晶体管。上表面有阴极K与开通门极G1,下表面有阳极A与关断门极G2。采用双门极有利于提高器件的关断速度和工作温度。与单门极GCT相比,关断损耗可降低70%,6kV时工作结温可高达160℃。它适用于高电压、大电流和高频率的场合。
图2 DG-GCT的基本结构及等效电路
(4)波状基区GCT
为了提高GCT的电压容量并改善其反偏安全工作区开发的。
图3a加强p基区是在标准的p基区工艺的基础上,利用n+阴极区的掩蔽作用,进行大面积Al扩散形成的。
图3b波状基区高掺杂浓度p+区是由硼扩散形成的,低掺杂浓度p-区是在n+阴极区的掩蔽下由铝注入和高温推进形成的。
图3 加强基区与波状基区GCT结构比较
加强基区和波状基区结构制作关键不仅是J2结面波纹形状的控制,而且对J3结结深与次表面浓度的控制也非常重要。
(5)双芯GCT
由两个GCT芯片并联在同一个硅片上,芯片背面为两者共同的阳极,正面分别为两者的阴极和门极,GCT-A采用中心门极,GCT-B采用环形门极,两芯片之间通过隔离环进行电隔离,并采用特殊的压接式封装。GCT-A的通态损耗较低,GCT-B的开关损耗较低。因此D-GCT芯片同时拥有低开关损耗和通态损耗。
图4 D-GCT芯片的门-阴极图形与等效结构
(6)逆阻GCT
由AS-GCT与二极管通过钼片串联压接而成的。GCT的阴极作为RB-GCT的阴极,二极管的阳极作为RB-GCT的阳极。反向工作时,阻断电压由二极管承受。采用这种压接式封装, 其冷却成本可降低50% 。
图5 AS-GCT与二极管的串联
2、工作原理与I-U特性
图6 GCT关断时电流与电压波形及各阶段的电流分布
3、静态与动态特性
3.1静态特性
n FS层仅起压缩n-基区电场的作用,对透明阳极的载流子注入无阻挡作用,但由于透明阳极的掺杂浓度有限,使得导通期间存储的载流子浓度较少,导致通态压降较大。而透明阳极对关断特性特别有利。可见,只有将透明阳极和n FS层结合起来,才能发挥GCT的优良特性。
3.2开关特性
通常把GCT与门极驱动电路通过印制电路板相连,将门极驱动电路的电感降到20nH以下,且GCT管壳的电感约为5nH,因此可获得较高diG/dt以实现门极“硬驱动”。
GCT开通时,采用正的强触发脉冲,并要求diG/dt可达1kA/μs 以上,峰值电流IGM约为1kA(比GTO大一倍),以便在极短的时间内,使其阴极npn晶体管在GCT导通之前就出现有效饱和,实现均匀的导通,以减小开通损耗和延迟时间。
GCT关断时,采用很强的负门极电流脉冲,并要求负门极电流ITGQ在1μs内上升到最大可关断阳极电流ITGQM;即门极电流的上升率-diG/dt必须约等于-ITGQM/1μs,使门阴极J3结迅速截止,阳极电流都转由门极流出,GCT像pnp晶体管一样自关断。GCT关断时间很短,关断损耗也很小。
3.3门极特性
门极特性直接决定了GCT能否通过门极电流控制来可靠地开通和关断。将p基区的次表面掺杂浓度NPJ3控制在(3~7)×1017cm-3范围内,则GCT的J3结的击穿电压可达到22V 左右,且阴极npn晶体管也处于浅饱和状态,可满足GCT对门极特性的设计要求。
在门极驱动电路中采用低感电容器和低阻MOS,使得GCT关断时驱动电路在1μs之内就可将阳极电流转换到门极。
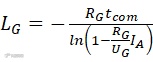
门极允许的最大电感为:
,式中,换流时间tcom,
LG和RG不仅由外部引线决定,RG包括门极驱动电路中MOS的导通电阻、内部引线电阻、管壳内的连接电阻,以及GCT管芯门极金属化电阻,要求 MOS必须具有稍高于20V 的阻断能力和低导通电阻。为了减小门极回路的杂散电感LG,GCT通常采用低感管壳,并将GCT与门极驱动器之间的距离限制在15cm左右。
4、关键技术及其原理
4.1透明阳极
(1)电流输运过程
透明阳极是指厚度很薄,且掺杂浓度较低的p+区,它所形成的p+n结为超浅结,载流子易于穿越。采用透明阳极可以显著改善GCT的关断特性与功耗。
图7中Wp1为GCT的p+阳极区厚度,Wn-n为n-基区和n FS层的厚度总和,且Wp1 <<Wn-n。Wxp和Wxn分别为p+n结的p+阳极区和n FS层的耗尽层宽度,且wxp<<wxn。w1和w2分别为nn-结在n区和n-区两侧耗尽层宽度。
普通的p+n结阳极区很厚,掺杂浓度较高,阳极中性区厚度满足(Wp1-Wxp)>>Ln,其有效复合速率可表示为:
图7 p+nn-结构的电荷输运及其能带示意图
浅p+n结阳极区较薄,阳极中性区厚度满足(Wp1-wxp)≤Ln时,则有效复合速率可表示为:
透明阳极厚度很薄且掺杂浓度较低,阳极中性区比以上两种p+n更薄,即使在正偏压下,满足(Wp1-Wxp)<<Ln(可称之为超浅结)。电子复合速率为常数,与阳极区体内和表面非平衡载流子浓度梯度有关,由最大扩散速率确定,其值大约为载流子热速率(107 cm/s)。
公式为:
式中A∗为有效里查逊常数(110A/K2·cm2);NC为导带有效的状态密度(2.8×1019cm-3),故vsn约为2.2×106cm/s。
(2)透明阳极的注入效率
阳极pnp晶体管空穴注入效率:
GCT透明阳极注入效率:
(Wp1<<Ln)
图8中GCT的γn和γp的相对大小随JA发生明显的变化;而GTO的γn和γp和SA-GTO的γn和γp随JA变化很小,且γn远低于 γp。这是因为注入效率主要与结两边的掺杂浓度和厚度及外加正偏压UAK有关。对常规的p+n 结,Jp>> Jn,而p+透明阳极区较薄,掺杂浓度较低,只是Jp>Jn,说明JA中的Jn分量增大,或者说电子的注入效率提高。
图8 普通阳极、短路阳极及透明阳极注入效率比较
(3)透明阳极的特性
透明阳极可通过流经自身的电流来有效地调制其注入效率,在低电流密度下,有较高的空穴注入效率和较低的电子注入效率,在高电流密度下,有较高的电子注入效率和较低的空穴注入效率。当GCT开通时,高的空穴注入效率可有效地降低门极触发电流,从而降低对门极驱动电路的要求;当GCT关断时,高电子注入效率可以有效地排除n-基区中的非平衡载流子,同时,低空穴注入效率伴随较少的空穴注入,有利于器件快速关断。
4.2注入效率可控阳极
(1)IEC-GCT的结构及等效电路
IEC-GCT基本结构与阳极短路GTO非常相似。它是在SA-GTO的阳极n+短路区增加一个很薄的介质层 (二氧化硅或硼硅玻璃,用Zox表示介质层的厚度,Wox表示覆盖在p+阳极区上介质层的宽度),于是n+短路区变成一个浮置区。为了保证IEC阳极介质层的可靠性, 不能采用类似SA-GTO的烧结工艺形成阳极接触,必须采用多层金属化电极及压接式封装结构。
双发射极的晶体管:p+阳极区、n-基区和p基区形成了Vpnp1;p+阳极区、n+浮置区、n-基区和p基区形成了宽基区Vpnp2。
图9 IEC-GTC基本结构及等效电路
图10 IEC-GTC导通示意图
(2)电流输运过程
导通时,n-基区的部分电子向p+阳极区和n+浮置区漂移。由于n+浮置区与阳极电极间存在介质层,所以电子不能直接被阳极收集,只能积累在介质层附近的n+浮置区,使得n+浮置区和n-基区内的电子浓度增加,导致该处的电位下降。为了维持这些区域的电中性, 迫使p+阳极区向n-基区和n+浮置区注入大量的空穴,该现象称为空穴注入增强(IE)效应。 IE效应会导致导通期间的器件内的载流子浓度增加,可显著改善器件的通态特性。
(3)IEC阳极的注入效率
当IEC-GCT的阳阴极间刚开始加上正向电压UAK时,阳极电流IA较小,主要流过晶体管 Vpnp1。随着阳极电流的不断增加,阳极电阻RA上的压降增加,使得Ube(pnp1)下降,导致Vpnp1的空穴注入下降,于是更多的电流流过Vpnp2。由于Vpnp2和Vpnp1的注入效率不同,因此IEC的阳极注入效率将会随阳极电流变化:在小电流下,阳极注入效率由Vpnp1的参数决定,其值较大;在大电流下,阳极注入效率由Vpnp2的参数决定,其值较小。
IEC阳极的注入效率随阳极电流的变化程度与阳极电阻RA的大小有关。RA越大,则注入效率随阳极电流的变化就越大。RA值由阳极区的掺杂浓度和截面积决定。阳极区的掺杂浓度过低,会导致器件的通态特性变差。阳极剖面受短路环宽度的限制,最大的短路环宽度为阴极条宽,同时还与阳极附加介质层宽度wox有关,wox越宽,阳极接触面积就越小,RA就越大。由此可知,适当降低阳极区的掺杂浓度,并采用较窄的阳极剖面,可增加RA,有利于调节 IEC阳极的注入效率。
图11 IEC阳极和普通阳极的注入效率比较
图11当JA<40A/cm2,GTO和IEC-GCT的γp都很高,且γp→1。当JA>40A/cm2时,GTO的γp几乎保持不变,而IEC-GCT的γp随JA增大而下降,同时γn随JA增大而增大。通过优化阳极的掺杂浓度和介质层覆盖在阳极区的宽度,可以获得与透明阳极相似的注入效率。
4.3波状基区
图12 波状P基区GCT与传统AS-GCT的结构比较
(1)CP-GCT波纹形状的表征
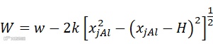
图12b分析模型中,J2结是由AB弧、AC平面结及CD弧组成的波状结构。AC段为波纹顶部宽度,用W表示,波纹高度用H表示。wc为n+阴极区宽度,xjAl为铝扩散深度,xjB为硼扩散深度,Wn2表示n+阴极区厚度,则p基区总厚度Wp=xjAl -Wn2,p+基区厚度Wp+=xjB-Wn2。
式中K为铝扩散深度的横向系数,通常取0.7~0.8,硼铝同时扩散时k取0.88。
不论w如何选取,当Al从表面扩散时,H和W都将同时分别满足下列两式:
如果Al掺杂位置在门极沟槽底部,杂质扩散窗口与表面相差一个沟槽深度dG。计算波纹高度和宽度时,Al扩散和B扩散深度用(xjA-dG)和(xjB-dG)替代上面四公式中的结深。
(2)波状基区的作用与原理
波状基区可调制CP-GCT阻断状态下的电场强度分布,使J2结面的横向电场强度不再呈均匀分布,阴极中心下方J2结处的电场强度最低,门阴极边界下方J2结弯曲处p基区内的电场强度最高,故在开通初期会加速载流子向两侧扩展,有利于CP-GCT快速开通,另外还有助于器件在导通和开关期间获得均匀的电流分布,避免出现电流集中,从而增强器件抗不平衡感性负载引起的电应力冲击。关断末期会加速载流子向门极抽取,有利于器件关断;在动态雪崩期间,有助于释放耗尽区内侧产生的空穴,从而增大反偏安全工作区。
(3)波状基区的特性
可有效改善GCT的通态特性和关断过程中的均匀性,但对阻断特性稍有影响。波纹高度越高,对导通和开通特性越有利,但对阻断特性和关断特性越不利。
5、特性参数
(1)阻断特性参数
断态重复峰值电压UDRM:IGCT在阻断状态能承受的最大重复电压。
断态重复峰值电流IDRM:IGCT在断态重复峰值电压下的正向漏电流。
中间直流回路电压UDCLink:在海平面露天环境的宇宙射线条件下,失效率为100FIT(1FIT=109h出现1次失效)时,IGCT所能长久承受的直流电压。
(2)通态特性参数
最大通态平均电流 IT(AV)M:正弦半波电流、壳温Tc=85℃时,IGCT所能允许的最大平均电流。
最大通态电流有效值 IT(RMS):正弦半波电流、壳温Tc=85℃时,IGCT所允许的最大电流有效值。
浪涌电流ITSM:由电路异常情况引起的,并使结温超过额定的不重复最大正向过载电流。
通态压降UT:在规定的通态电流下测得的IGCT通态管压降。
(3)开通参数
当续流二极管导通时,为了确保GCT不被误触发,需要外加一个负的外部重触发脉冲(External Retrigger Pulse)信号,其宽度用tretrig表示。通常tretrig在600~1000ns范围内。
开通状态反馈延迟时间td(on) SF:从接收到开通命令开始到状态发生变化所需时间,一般为7μs。
开通延迟时间td(on):从接收到开通命令开始,到阳极电压从稳态值UD下降到0.1UD所经历的时间,一般为3.5μs。
下降时间tf:阳极电压从0.9UD下降到0.1UD所需要的时间,一般为1μs。
最大通态电流上升率diT/dt(cr):在规定测试条件下,允许的最大通态电流上升率。
开通脉冲能量:IGCT开通一次所消耗的能量。
图13 IGCT的开关波形与开关时间定义
(4)关断参数
关断状态反馈延迟时间td(off)SF:从接收到关断命令开始,到状态发生变化所需的时间, 一般为7μs。
关断延迟时间td(off):从接收到关断命令开始,到GCT的阳极电流下降到0.4ITGQ所经历的时间,一般为7~11μs。
最大可关断电流ITGQM:能够用门极关断的IGCT最大阳极电流。
(5)机械参数
安装力FM:安装IGCT所需要的压力。一般给出最小压力和最大压力两个值,标称的安装压力取中值。
(6)热特性参数
最高工作结温TjM:GCT工作时最高结温,一般为 125℃。
最高贮存温度Tstg:GCT贮存时的最高温度,一般为60℃。
最高环境温度Ta:GCT工作时的最高环境温度,一般为50℃。
结-管壳的最大热阻 Rthjc:在双边冷却的条件下,GCT内部pn结到GCT管壳之间的热阻,一般为8. 5K/kW。
管壳-散热器最大热阻Rthch:在双边冷却的条件下,GCT管壳与外部散热器之间的热阻,一般为3K/kW。
6其他集成器件
6.1发射极关断晶闸管ETO
图14 ETO的外形结构、电路符号、内部电流通路及等效结构
ETO采用硬驱动技术,在保持GTO原有大容量、低通态损耗的基础上,改善了关断性能,提高了开关速度,扩大了反偏安全工作区。ETO更易于并联和串联运行,可进一步提高功率处理能力。主要用于电流源逆变器,有望在大功率交流和牵引领域占据重要地位。
6.2 MOS关断晶闸管MTO
图15 MTO外形、结构剖面及电路图形符号
MTO关断比较容易,只需要一个电压信号就可关断数千安的电流。与ETO相同,MTO导通也需要一个额外的电源控制。MTO可用于中电压(>2.3kV)驱动器、有源滤波器、逆变器及静止同步补偿器(STATCOM)、大功率UPS及固态断路器。

