1、光刻技术
(1)涂胶
目前应用较多的打底膜是六甲基乙硅氮烷(Hexa - Methyl - Disilazane,HMDS)或三甲基甲硅烷基二乙胺(Tri - Methyl - Silyl - Diethyl - Amine,TMSDEA)。
负性抗蚀剂曝光后不溶于显影液,具有感光度或灵敏度高(即分辨能力弱)、稳定性好、针孔少、耐腐蚀及附着性好等特点,主要用于线宽大于3μm的分立器件。正性抗蚀剂曝光后可溶于显影液,具有分辨能力强(即感光度或灵敏度低)、对比度较高、线条边沿好、寿命长及不易发生热膨胀等优点,主要用于线宽小于3μm的大规模和超大规模集成电路。
(2)前烘
(3)曝光
曝光质量与曝光时间、光线平行度、光刻版的质量和分辨率、光刻版和抗蚀剂的接触情况及抗蚀剂的性能和膜厚等因素有关。
(4)显影
显影方式有多种,目前广泛使用喷洒方法。显影液在没有完全清除之前,仍然会起作用,所以显影后需要对硅片进行漂洗和甩干。显影效果与曝光时间、前烘温度和时间、光刻胶膜厚度、显影液浓度和温度等因素有关。
(5)坚膜
坚膜温度一般为140℃,时间约为40min。
坚膜的温度和时间要选择适当。坚膜不足,则抗蚀剂胶膜没有烘透,膜与硅片黏附性差,腐蚀时易浮胶;坚膜温度过高,则抗蚀剂胶膜会因热膨胀而翘曲或剥落,腐蚀时同样会产生钻蚀(即横向腐蚀)或浮胶。要求坚膜的温度稍高于光刻胶的玻璃态转变温度。在此温度下,光刻胶软化,可使光刻胶在表面张力的作用下平坦化,以减少光刻胶膜中的缺陷(如针孔),并修正光刻胶图形的边缘轮廓。温度太高(在170~180℃以上)时,聚合物会分解,影响黏附性和抗蚀能力。此外,对于腐蚀时间较长的厚膜刻蚀,可在腐蚀一半后再进行一次坚膜,以提高胶膜的抗蚀能力。
(6)刻蚀(见后文)
(7)去胶
对SiO2、Si3N4、多晶硅等非金属衬底上的光刻胶,通常采用无机去胶剂去胶,即采用浓硫酸(H2SO4)和双氧水(H2O2)按3:1配成混合液。对Al、Cr金属衬底上的光刻胶,因为无机溶液对金属有较强的腐蚀作用,需采用专门的有机去胶剂。有机去胶剂主要有丙酮和芳香族有机溶剂,同时用三氯乙烯作为涨泡剂,因其毒性较大且三废处理困难,实际工艺中较少使用。
干法去胶包括紫外光分解去胶和等离子体去胶。紫外光分解去胶是指光刻胶薄膜在强紫外光照射下,分解为可挥发性气体(如CO2、H2O),被侧向空气带走。等离子体去胶是利用氧气产生的等离子进行反应刻蚀,让硅片上的光刻胶在氧等离子体中发生化学反应,生成气态的CO,CO2及H2O,由真空系统抽走。通常用紫外光分解去除表层胶,等离子体去除胶底膜。干法去胶存在反应残留物的沾污问题,因此干法去胶与湿法去胶经常搭配进行。
2、刻蚀技术
指标:保真度、选择比、均匀性及清洁度等指标来衡量刻蚀图形的质量。
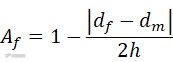
(1)保真度也称各向异性度,转换图形的保真度Af可以用刻蚀后的图形尺寸来表示:
式中,df表示掩蔽膜窗口的尺寸,dm表示刻蚀窗口的尺寸,h为刻蚀的深度。当df = dm时,Af= 1。
Af与纵、横向腐蚀速率也有关,也可表示为:
式中,vv为纵向腐蚀速度;vl为横向腐蚀速度。保真度Af通常在0~1之间。横向速率越小,保真度越高,即掩膜上的图形可以不失真地转移到硅片表面。
(2)选择比
刻蚀的选择比Sfm可用下式来表示:
式中,vf表示对薄膜的腐蚀速率,vm表示对掩蔽膜或衬底的腐蚀速率。一般要求Sfm在25~30之间比较合理。
(3)均匀性
设硅片平均厚度为h,各处厚度的变化因子为δ(0≤δ≤1),则最薄厚度为h(1-δ),最厚厚度为h(1+δ);设平均刻蚀速率为v,各处刻蚀速率的变化因子为ξ(0 <ξ< 1),则硅片最小刻蚀速率为v(1-ξ),最大刻蚀速率为v(1+ξ),则刻蚀时间差可用下式计算:
湿法刻蚀
湿法刻蚀可处理的材料包括硅、二氧化硅、氮化硅及铝。
SiO2膜常用氢氟酸来腐蚀,还可用氟化铵(NH4F)与HF的混合液来腐蚀SiO2膜, NH4 F∶HF(40%~49%)为6~7∶1 (体积比),其中NH4 F为缓冲剂。
Al 的腐蚀常用热H3PO4与乙醇(比例按70∶30)的混合液,温度为80~85℃。
Si的腐蚀可以用酸性腐蚀液和碱性腐蚀液。酸性腐蚀液为氢氟酸(HF)、硝酸(HNO3)及醋酸(CH3COOH)按一定配比制成的混合液。碱性腐蚀液为KOH水溶液与异丙醇(IPA)相混合,腐蚀速度ve取决于晶向,由于不同晶向原子面密度不同,其腐蚀速度的顺序为ve(100)> ve(110)> ve(111)。
图1 不同晶面腐蚀后的剖面示意图
图1所示为不同晶面的硅腐蚀后剖面示意图。对(100)晶面,当腐蚀窗口较小时,会形成V形槽;当腐蚀窗口较大或时间较短时,会形成开口较大的掩蔽膜U形槽(见图1a);对(110)晶面,不论窗口大小,会形成侧壁陡直的U形槽(见图1b)。
干法刻蚀
表1各种材料常用的刻蚀剂
干法刻蚀适合小于3μm宽的窗口刻蚀。干法刻蚀方法包括溅射刻蚀(Sputter Etching, SE)、等离子体刻蚀(Plasma Etching,PE)和反应离子刻蚀(Reactive Ion Etching,RIE)。溅射刻蚀是用惰性气体活性离子轰击待刻蚀材料,控制机制为物理溅射,刻蚀效果为各向异性。等离子体刻蚀是利用辉光放电产生化学活性离子的化学反应来进行刻蚀,是一种选择性刻蚀方法,控制机制为化学反应,刻蚀效果为各向同性。反应离子刻蚀是利用具有活性的化学反应离子去轰击待刻蚀材料,控制机制是化学反应与物理溅射相结合,刻蚀效果为各向异性,并具有一定的选择性。
硅、氧化硅及氮化硅的刻蚀通常用CF4、CHF3、C2F6,SF6及C3F8等气体源产生的活性氟基(用F∗)。多晶硅刻硅用Cl2,HCl和SiCl4等产生的活性氯基(Cl∗)。
SiO2/ Si的选择性随C/F的增加而增加,刻蚀速率与氧化层的生长方法有关。热生长的 SiO2膜刻蚀速率低于CVD形成的SiO2膜,PECVD法形成的Si3N4膜的刻蚀速率则高于 LPCVD法形成的Si3N4膜。
硼硅玻璃(BSG)常用氢氟酸和氟化铵腐蚀,但如果硼含量过高,则必须采用干法刻蚀、物理喷砂或研磨等物理方法。
沟槽刻蚀的沟槽深宽比(AR)越大,刻蚀难度就越大。沟槽扩展型SJMOS结构的AR可达到18,此时需要采用深硅刻蚀工艺。
深硅刻蚀通常选用感应耦合等离子(Inductively Coupled Plasma,ICP)刻蚀设备。ICP 刻蚀过程包括复杂的物理和化学反应。物理反应过程是利用反应腔体内的离子对样品表面进行轰击,使化学键断裂,以增加表面的黏附性,同时促进表面生成非挥发性的残留物等;化学反应是利用刻蚀气体通过辉光放电,使腔体内的各种离子、原子及活性游离基等发生化学反应,同时这些粒子也会和基片表面材料反应生成气体,形成刻蚀的沟槽。

