1、功率集成概念
功率集成是指用集成化的方法将构 成电力电子系统的功率器件,与相应的驱动、保护和控制电路以及辅助电源、传感器、无源元件等以组合的形式封装为一个独立的整体,成为一个功能相对完整、具有一定通用性的元件。
2、功率集成形式
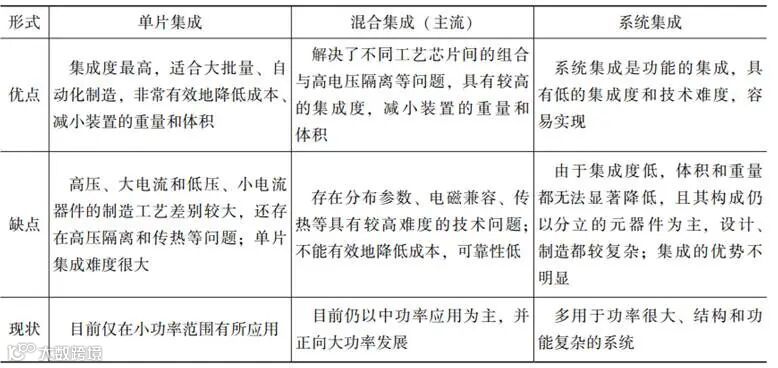
单片集成:是将主电路、驱动电路、保护电路和控制电路等全部制造在同一个硅片上,体现了系统芯片(System on Chip,SoC)的概念。
混合集成:混合集成是将功率器件、控制电路、驱动电路、接口电路、保护电路等多个不同工艺的芯片封装成一体,内部通过引线键合互连实现部分或完整的功能,如功率模块(Power Module)或功率控制单元(Power Control Unit)、智能功率模块(IPM)、电力电子积木块(Power Electronic Building Block,PEBB)及电力电子集成模块(Intergrated Power Elactronics Modules,IPEM)等
系统集成:系统集成是指将多个电路或装置有机地组合成具有完整功能的电力电子系统,如通信电源系统等。
表1 功率集成的不同形式及特点比较
3、功率集成电路
功率集成电路(PIC)与分立半导体器件均属于电力电子学(或功率电子学)领域。
电力半导体器件的应用也逐渐由以工业和电力系统为主转变为以计算机、通信、消费类电子产品及汽车电子为代表的4C(即Communication、Computer、Consumer及Car)市场,几乎占据了整个应用市场的2/3以上。
3.1定义
功率集成电路(PIC)是指所处理电流至少为1A、输出电压额定值大于50V或功率大于 1W(或2W)的集成电路。PIC将信息采集、处理及功率控制结合为一体,是机电一体化的关键接口和功率系统芯片(PSoC)的核心技术,是电力电子器件技术与微电子技术相结合的产物。与传统集成电路(IC)的不同之处在于,PIC是将功率器件与逻辑、控制、保护、传感、检测、自诊断等信息电子电路制作在同一基片上,封装为一个独立的整体,使其免受过电压、过电流及过热等应力的损害。
3.2 PIC分类
分为高压集成电路(HVIC)和智能功率集成电路(SPIC)两大类。
HVIC是指横向高压器件与逻辑或模拟控制电路的单片集成,内部包含低压控制电路和高压功率输出两部分。应用涉及开关电源、电机驱动、汽车电子、工业控制及家用电器等诸多领域。在这些应用领域内,器件的主要性能是要求高压容量。因此,在HVIC中除了必须用的横向高压器件,如横向双扩散DMOS(LDMOS)及横向IGBT(LIGBT)外,还有低压的互补型MOS(CMOS)与双极型晶体管等组成的逻辑控制电路。
SPIC是指纵向功率器件与逻辑或模拟控制电路的单片集成。一般分为三大系统功能, 即由功率器件和驱动电路组成的功率控制部分,由模拟电路和检测电路组成的传感与保护系统,以及由逻辑电路(高密度CMOS)组成的接口电路。
表2 SPIC的基本功能
SPIC的发展趋势是工作频率更高、功率更大、功耗更低、功能更全。
4、电场调制技术
4.1 降低表面电场技术
RESURF技术是指在p型衬底上外延一薄层轻掺杂的n-区,使其在达到临界击穿电场强度之前全部耗尽,以承受大部分的外加电压,并降低表面峰值电场强度,使击穿点从表面pn转移到体内pn结,从而提高击穿电压。
RESURF技术为了提高击穿电压,要求严格控制外延层的电荷,使之满足:
式中,为外延层掺杂浓度,为外延层厚度
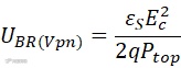
满足此条件的击穿电压:
为外延层浓度对应的临界击穿电场强度,为n-外延层长度
图1 RESURF二极管击穿时电场强度分布
图2 RESURF原理示意图
4.2 降低体内电场技术
REBULF技术是指在器件中引入了高掺杂浓度的埋层,使得漂移区的电场强度重新分配, 更加均匀地分布在漂移区中,以提高器件的耐压。
5、横向高压器件
按衬底材料来分,可分硅器件和绝缘层上硅(Silicon on Insulator,SOI)器件两大类。硅横向高压器件主要包括LDMOS和LIGBT;SOI横向高压器件包括SOI功率二极管、SOI功率MOSFET及SOI IGBT。
按硅器件的结构不同来分,横向高压MOSFET可分为LDMOS结构、超结LDMOS结构、 轻掺杂漏区(Lightly Doped Drain,LDD)结构及双扩散漏区(Double Diffused Drain,DDD)结构。
5.1硅横向高压MOSFET
图3 RESURF LDMOS结构剖面图
(1)图3a结构,pn-结击穿电压:
n-侧耗尽层宽度:
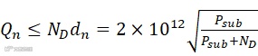
n-区优化的积分电荷应满足:
当ND=Psub时得到Qn理论上限值为:
(2)图3b结构,击穿点在Ptop与n+漏区形成的pn+结处,击穿电压为:
发生雪崩击穿时,n-区积分电荷:
Ptop区积分电荷:
考虑工艺实际情况,要求Ptop>ND>Psub,当Ptop=ND=Psub时,Qn和Qp理论上限值为:
,
(3)为提高耐压,双RESURF新结构。
图4 双RESURF LDMOS结构
图4b结构可使器件耐压提高到1200V。其ptop层是利用渐变的掩膜小窗口通过硼离子注入推进后形成变掺杂区域。如果离子注入窗口大小设计合理,会得到理想渐变的VLD分布,于是在表面引入渐变的附加电荷,所产生的附加电场与主结强度刚好相反,使整个器件表面的电场强度趋于均匀,有利于改善双RESURF LDMOS结构因源端pn-结处的高电场强度而发生击穿。
图5 派生的RESURF LDMOS结构
(4)降低导通电阻
(a)提高外延层浓度,减小外延层厚度;
(b)采用浮置P区结构,如图5a。通过合理的设计p浮置区的位置及掺杂剂量,可使p浮置区RESURF LDMOS的导通电阻仅为双RESURF LDMOS导通电阻的2/3。用p浮置区RESURF LDMOS的导通特性均优于双RESURF LDMOS及单RESURF LDMOS。
(5)超结LDMOS
图6 平面栅超结LDMOS结构比较
又称三维RESURF LDMOS结构,比2D的导通电阻更小。
图6b,当超结的n区和p区宽度d越小,超结LDMOS的导通扩展电阻 RonA与击穿电压UBR之间的折中关系越好。当d>500nm时,超结LDMOS的RonA与UBR之间的折中关系不及双RESURF LDMOS的好。
图7具有n+埋层的超结LDMOS结构和部分n+埋层的超结LDMOS结构,均是利用降低体内电场技术形成的,通过调制体内电场,使得外延层电场很均匀,同时附加的二极管有助于提高衬底的耐压,从而提高整个器件的耐压。
图7 具有不同衬底的平面栅超结LDMOS结构比较
(6)高压CMOS
图8 LDD与DDD MOS管结构的比较
在高压CMOS芯片中,通常采用轻掺杂漏区(LDD)结构来提高nMOS管的击穿电压。
图8a所示。其中轻掺杂的n-区和源、漏区是用同种杂质两次注入形成的,并且多晶硅栅极与重掺杂的源、漏区是通过氧化物侧壁形成的自对准结构。
用双扩散漏区(DDD)结构如图8b。目前,nMOS管通常采用DDD结构,可将漂移区做得很窄、很精确。但漂移区很难做宽,因为将氧化物侧墙下的磷离子推进过深,会影响对阈值电压的控制。所以,LDD结构通常用于实现宽漂移区的MOS管,而DDD则用来制造较窄漂移区的MOS管。pMOS管不能采用DDD结构,因为还没有某个p型杂质的扩散系数比硼更低。
5.2 硅横向IGBT
(1)普通LIGBT
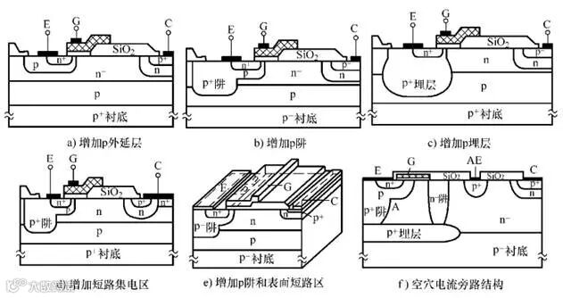
图9 改善LIGBT闩锁效应的各种结构
为了防止LIGBT发生闩锁,需减小发射极侧纵向VnV的p基区横向电阻RB,并限制集电极侧横向VpL的注入效率。 图9给出了改善LIGBT闩锁效应的几种措施。可见,在发射区一侧增加p阱或埋层,或者采用表面短路结构;在集电区一侧增加n缓冲层或p外延层,或采用短路结构,均可抑制闩锁。图9d所示为空穴电流旁路结构,其中含有p+埋层、p+阱、n+阱及p+辅助发射区(AE)。在导通期间,n+分流区会阻止p集电区注入的空穴流入p基区,导致空穴向p+埋层和p+辅助发射区转移;同时,p+阱区可降低p基区的横向电阻,也利于抑制闩锁。实验研究表明,该旁路结构在423K下的闩锁电流密度可达160A/cm2,而常规LIGBT的闩锁电流密度约为40A/cm2。数值分析表明,该结构的薄弱点位于p+阱与p基区的相连处(图9f中的A点),因为n+阱将空穴转移至p+埋层,虽远离p基区,但闩锁仍有可能被流过埋层和p+阱的空穴电流触发。
(2)RESURF LIGBT
图10 LIGBT新结构
为了提高LIGBT的阻断电压,可采用RESURF技术。如图10a所示,由纵向p+n-结和横向p+n-结组成了RESURF结构,要求n-漂移区的载流子浓度和厚度必须遵循电荷控制条件,以获得合适的电场强度分布。也可将RESURF技术与n缓冲层相结合,形成图10b所示的结构。双RESURF LIGBT结构如图10c所示,在n-漂移区顶部再形成一个ptop区,不仅可以降低表面电场强度,还可以抑制闩锁,增加器件的安全工作区(FB-SOA)。ptop层长度不会影响LIGBT的导通特性,并与HVCMOS/BiCMOS芯片的工艺兼容,特别适合采用 CMOS/BiCMOS工艺制作。
(3)逆阻型LIGBT
如图10d所示。采用此结构制成的IGBT正、反向阻断电压为600V,在100A/cm2电流密度下,通态压降为6.5V。
(4)沟槽栅LIGBT
当栅-射极电压高于阈值电压(即UGE>UT)、集-射极间加正电压(即UCE>0)时,LTGBT导通,集电极有电流流动。随着UCE增加,集电区向n-外延层注入大量的空穴,一部分与垂直沟道过来的电子复合,其余的空穴从外延层进入p基区被p+发射极收集。由于空穴不可能从n+发射区下方区域流过,因此有效地抑制了闩锁效应。当n+发射区长度为5μm时,LTGBT的静态闩锁电流密度比普通LIGBT提高了2.3倍,动态闩锁电流密度提高了4.2倍。当然,也可以通过缩短发射区的长度来抑制闩锁,但发射区长度受光刻精度的限制。在不增加光刻难度的前提下,允许n+发射区与p+发射区交叠,并要求p+发射区结深比n+发射区结深更深,n+发射区的掺杂浓度比p+发射区的更高。如图11所示,通过增加n+发射区与p+发射区的交叠部分长度Lo,可将有效发射区长度Lne值做得很小。当有效发射区长度为2μm 时,LTGBT中便不会出现闩锁,但会导致阈值电压增加0.8V。
图11 沟槽栅LTGBT的结构
UCE较低(< 2.6V)时,由于电子通过垂直沟道在体内注入很深,复合前要经历一个较长的路径,其串联电阻较大,导致LTGBT通态压降比普通LIGBT的高。随着UCE的增大,集电极空穴注入增强,与从沟道注入到n-漂移区和p+衬底区的电子进行复合,产生强烈的电导调制效应。在此电压范围内,LTGBT的电导调制效应要比LIGBT中更强,因此LTGBT的正向导通特性要比LIGBT的更好。
5.3 传统SOI功率器件
SOI 技术隔离较好,具有寄生效应小、集成度高、抗辐射能力强等优点,因而被广泛应用于PIC设计中。但在功率器件应用中,SOI 衬底主要是存在以下两个缺点:一是自加热效应(Self - Heating Effect,SHE)。由于埋氧层阻挡了热量通过背衬底的传导,且埋氧层越厚,自加热效应越严重,若器件在较长时间的高温环境下工作,其稳定性将严重退化;二是击穿电压较低。由于受寄生效应和埋氧层的影响,增加埋氧层厚度,有利于提高击穿电压,但是埋氧层越厚,自加热效应越严重。
图12 SOI LDMOS结构
图13 常见的两种SOI LIGBT的结构
图13b所示的含有分离n+短路区的集电极短路结构,能降低LIGBT的开关速度,但分离的n+短路区可减小集电极空穴注入,有利于提高LIGBT的闩锁电流容量。
SOI LIGBT的关断特性明显要比Si LIGBT要好,这是因为在Si LIGBT器件中,载流子会注入到较深的衬底中,而在SOI LIGBT中的埋氧层可有效阻止载流子注入到衬底中,因此器件的关断时间与拖尾电流减小,可工作在更高的温度下。
5.4 SOI功率器件的新结构
为满足SOI高压功率器件耐压与传热的需要,从顶层硅、埋氧层及其界面电荷等方面改进:一是将硅PIC结构中的结终端技术,用于SOI PIC的耐压结构;二是利用RESURF等技术,在击穿电压和导通电阻之间获得良好的折中,并将超结技术应用于横向SOI LDMOS中; 三是采用薄SOI结构制作SOI LDMOS或SOI LIGBT;四是通过增强埋层电场来提高SOI横向器件的纵向耐压,即将相对介电常数εr较低、 临界击穿电场强度Ecr较高的介质层引入埋层或部分埋层,利用低εr介质增强埋层电场强度、变εr介质调制埋层和漂移区电场强度, 从而提高器件耐压;五是在漂移区/埋层界面引入电荷来调制埋氧层和外延层的电场强度。采用上述新技术开发的SOI功率器件新结构主要有以下几种:
(1)低k介质和变k介质埋层结构
低k介质SOI材料包括有机和无机低k材料,有机低k材料如聚酰亚胺、掺氟低k材料、多孔低k材料及纳米低k材料等,无机低k材料如氮化硅(Si3N4)及氮化铝(AlN)等。
图14 VLK SOI LDMOS结构比较
图14a所示,在VLKD埋层的SOI LDMOS结构中,靠近漏端的埋层采用低k介质来增强埋层电场强度,靠近源端的埋层采用SiO2或Si3N4来缓解自加热效应。
图14b所示,低k介质部分SOI(LK PSOI)结构是将源极下方的介质层刻蚀掉,使外延层与衬底连通,耗尽层可深入到衬底,使介质层的电场强度提高到临界击穿电场强度,从而提高击穿电压;同时也可缓解自加热效应,提高器件的稳定性和可靠性。
图14c所示,在变k介质部分埋p层(Variable Low k Dielectric Buried Layer and a Buried p - layer,VLKDBP)SOI结构中 ,同时采用了变k介质、在介质层开窗口及p+埋层,既可调制器件表面电场强度,来提高器件耐压,也可以改善器件的自加热效应。
(2)电荷型介质场增强SOI结构
图15 电荷型介质场增强SOI高压器件
图15所示,在埋氧层的一侧或两侧形成沟槽型介质,槽内束缚电荷,并满足界面电荷的高斯定理,可以提高埋层电场强度,从而提高器件的耐压。为了改善热特性,也可以在源极下方的介质层开槽,形成部分电荷槽结构,如图15c所示。
(3)阶梯埋氧层SOI结构
图16 阶梯埋氧层(BOD)SOI结构
图16双面阶梯埋氧层(Buried Oxide Double Step,BODS)结构是在埋氧层的两个面同时形成阶梯,以阻挡横向电场对电荷的抽取,在每个阶梯位置积累大量反型电荷,可增强埋氧层电场强度,提高器件的耐压。薄硅层阶梯部分埋氧(SBO PSOI)结构是采用单面阶梯型埋氧层,从源到漏埋氧层厚度逐渐增加,阶梯阻挡了漏极对反型电荷的抽取,增加埋氧层电场强度,同时阶梯位置引入的峰值电场可调制表面电场强度,提高横向耐压;刻蚀掉源极下方的埋氧层,缓解了器件的自加热效应。
(4)超结SOI结构
图17 SOI超结功率器件的三维结构
图17a所示,采用含动态缓冲层的SOI SJ-LDMOS结构,通过介质槽在埋层界面积累电荷,埋氧层按可变的电场收集附加的电荷,在SJ和衬底之间形成一个动态的缓冲层,收集的电荷可以补偿n柱区,使得SJ的n柱区和p柱区之间保持电荷平衡。采用该结构可以获得更高的击穿电压和低导通电阻。如图17b所示,部分埋氧层的PSOI SJ-LDMOS结构实际上是在衬底中引入部分埋氧层,不仅可以消除衬底辅助耗尽对超结电荷平衡的影响,而且还可以消除超结器件的自加热效应,为体硅衬底上制作超结PIC提供了可能性。
(5)复合埋层SOI结构
在两埋氧层中间,增加一层热导率更高的多晶硅层,利用两埋氧层不仅可以提高耐压,而且多晶硅下界面电荷可增强第二埋氧层的电场强度,提高器件耐压。同时,由于在上埋氧层中间开窗口,使外延层与多晶硅层连通,可以缓解自加热效应。另外,采用复合埋层结构,也可以消除背栅效应。所谓背栅效应是指由于埋氧层的存在,衬底偏压(也称为背栅电压)会影响SOI器件的耐压和导通电阻。
图18 复合埋层SOI结构
为了缓解SOI器件的自加热效应,PIC结构可以将散热器与SOI器件集成在一起。类似于超大规模集成电路(VLIC)中的金属柱,通过在埋氧层中制作多晶硅柱来形成集成散热器, 并设置在源区一侧靠近p阱区与隔离区之间,采用集成散热器可有效减小热阻,增大器件的安全工作区。对于SOI CMOS结构,为了改善自加热效应和浮体效应(即体区电位随漏极电 压和器件工作状态变化而变化),可以刻蚀掉nMOS管和pMOS管的栅极下方的埋氧层, 或者采用氮化铝(AlN)替代该处的埋氧层形成AlN-DSOI结构,从而显著减小自加热效应和寄生电容,提高电路散热性能和驱动能力,十分适合高温高速电路设计应用。
5.5 功率器件的性能评价
优值Q:Q=(耐压×速度)/导通电阻 或
UBR为器件的耐压;JF为器件通态电流密度;toff为关断时间。对于不同的器件结构,Q值越高,器件的性能越好。
PIC还有双极型晶体管与MOSFET形成的其他LBiMOS复合结构。图19给出了LDMOS、LIGBT及LBiMOS三种器件的结构、等效电路及I-U特性曲线。LDMOS相当于MOSFET与漂移区电阻的串联,LIGBT相当于MOSFET与二极管的串联,LBiMOS相当于MOSFET与双极型npn晶体管并联后再与漂移区电阻串联。其中LDMOS、LIGBT均由MOS控制其开通和关断,LBiMOS只由MOS控制开通,关断时可由npn晶体管的基极控制,抽取其中的载流子。所以,其开关速度比LIGBT的要快。相比较而言,LDMOS的导通电阻较大,LIGBT的导通较好,LBiMOS的优值最大。
图19 三种横向高压器件结构、等效电路及特性比较
高压功率器件的研究主要问题及措施:
(1)提高耐压、电流容量及速度:提高耐压从体内、表面终端等方面来考虑,提高电流容量,需降低导通电阻或压降;提高速度,应设法减小电容和少子寿命;
(2)增大器件的安全工作区,以提高其可靠性:防止表面击穿、闩锁效应;
(3)改善栅极控制能力,并降低其工艺难度等问题:加强栅极驱动、降低工艺难度,并考虑工艺兼容性。

