大数跨境

速看!这些插本院校参与补录!

速看!这些插本院校参与补录! 学辰专插本
2022-06-25
1
导读:还有一次上岸的机会!

 
↑ 关注明辰,免费获取插本资料 ↑


时间安排


6月25日12:00-6月26日12:00进行考生征集志愿填报,6月26日12:00-14:00不能修改志愿,只能确认志愿,逾时一律不再受理。


批次安排

根据生源情况以及缺额计划实际,仅两个批次参加征集志愿,一是普通批次,二是建档立卡考生批次。各批次投档顺序为普通批→建档立卡批,一个批次结束后才进行下一批次录取。

最低分数线

根据不同专业基础课的三门考试科目总分(下称三科总分),即按公共课(政治理论和英语科目,其中外国语言文学类中非英语类专业为政治理论和专业课科目)及专业基础课三门科目总分进行征集志愿填报和投档录取。


三科总分达到相应专业基础课的最低控制分数线,且未被录取的2022年普通专升本考生,可以填报志愿。

征集志愿设置

普通批征集志愿设置10个院校专业组志愿,每个院校专业组志愿可填报4个专业志愿及1个是否服从调剂选项;建档立卡批征集志愿设置5个院校专业组志愿,每个院校专业组志愿可填报4个专业志愿及1个是否服从调剂选项。建档立卡考生可同时报考普通批符合报考条件的院校专业组及专业。

录取时间

征集志愿网上投档录取时间。6月27日,省招生办公室投征集志愿的考生档案,30日录取结束。6月27-30日组织院校录取时,以考生网上填报并确认的征集志愿信息为投档依据。


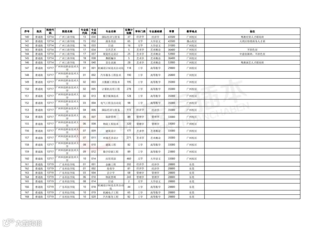
参与补录计划的院校及专业


如果你有任何关于专插本的疑问

欢迎扫描二维码咨询

插本上岸导师为您全方位解答

且还有名师福利课程免费获取

赶紧扫码吧


扫描二维码

 专业老师一对一解答


插本资料下载:

后台回复【招生院校】获取2022年插本院校招生计划

后台回复【考试大纲】获取2022年插本考试大纲

后台回复【专业真题】获取历年插本院校专业课真题

后台回复【历年真题】获取专插本历年公共课真题

后台回复【重点笔记】获取专插本公共课备考笔记

后台回复【模拟试卷】获取插本院校公共课全真模拟卷

后台回复【时事政治】获取2021年国内外时事政治汇总


END



点击在看,插本都上岸!


【声明】内容源于网络
0
0
学辰专插本
内容 675
粉丝 0
学辰专插本
总阅读129
粉丝0
内容675