大数跨境

第五期 | 电动牙刷刷毛软硬度知识

第五期 | 电动牙刷刷毛软硬度知识 欣智旺电子有限公司
2023-09-08
0
导读:口腔健康 全身健康

口腔健康 全身健康

电动牙刷及口腔

小知识(第五期)




齿




  毛束强度、单丝弯曲恢复率标准目的主要是验证刷毛软硬度,因为刷毛太软,会影响清洁效果,太硬会刺伤到牙龈,对牙齿造成磨损,所以优先选择软硬适中或适中偏软的为佳。当然,也要注意结合口腔状态,追求清洁力的用户刷毛选择偏硬点,更需要护牙的用户刷毛就要偏软。



对于电动牙刷软硬度,应注意以下细节:

01

毛束强度分类

   毛束强度分类及公称丝径应明示在产品包装上,且应符合下图的要求:


02

物理性能

     物理性能应符合下面表中的规定:


03

单丝弯曲恢复率

   1)实验装置:恒温水槽、秒表、钻有通孔的金属板(见图2)。金属板通孔直径与对应单丝直径见下图:

   2)试制准备:从牙刷上任取单丝。

   3)试样条件及步骤:每支牙刷取单丝5根(取平直部分),轻轻放入孔内,凸出部分不能大于孔的半径,单丝的放入方法见图3.将放置好试样的金属板置于(40±2)℃的水中浸泡2Min,再置于(20±2)℃水中浸泡30S后取出。将试样轻轻充孔中取出,放入(20±2)℃的水中15Min,取出后在2Min内吸干水分并用量角器分别测取每根单丝的弯曲角度(见下图)

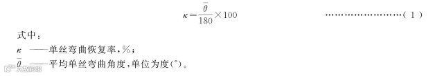
   4)将所得5根单丝弯曲角度去平均值,按下图公式进行计算。






扫码关注

文案 | 郝偲、王金建

编辑|刘斌

审核|游胜男、阮亮

终审 | 曹霖





【声明】内容源于网络
0
0
欣智旺电子有限公司
内容 99
粉丝 0
欣智旺电子有限公司
总阅读7
粉丝0
内容99