
深圳市潮汕商会法律工作委员会(简称:法工委),是深圳市潮汕商会下属非法人专业工作机构,是商会的法律服务和维权保障机构,具体负责商会及其会员的法律服务工作。
为畅通商会会员与法工委联系渠道,维护商会及会员合法权益,解决会员法律需求,提高会员维权及法律规范意识,法工委制定律师轮值制度,安排律师轮流值班接待来访会员咨询。
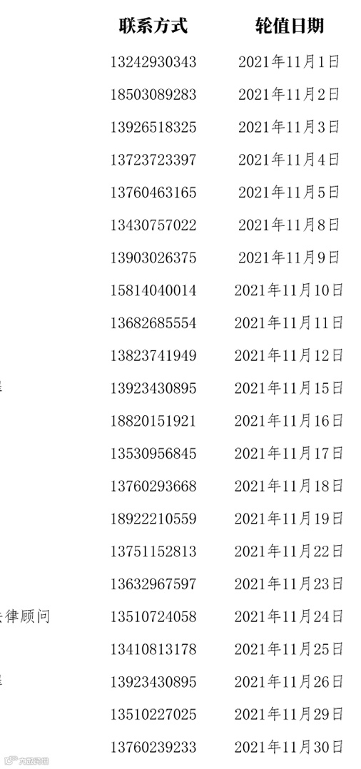
<2021年11月法工委律师值班表>
2021年11月1日至11月30日
深圳市福田区新洲南路东方明珠科技大厦五楼
每月
商会将在值班表更新的第一时间
在微信公众号发布
欢迎大家持续关注
END
文字|法工委 排版|邓冬梅






