

小分子糖时-空特征及在高糖食品加工保藏中应用的研究进展
——深圳大学化学与环境工程学院
范方辉博士
研究背景
单糖、寡糖这类小分子糖(Small Molecular Sugars)作为一类重要营养素,具有为人体提供热能、存储养分、构成组织等多重营养和生理功能,一直是食品科学与工程领域的研究热点。近年来国内外科学家基于各类小分子糖研发和制备出多种创新性食品结构,广泛应用于品质改善、配方订制、载体构建等食品精深加工领域。小分子糖作为关键组分,在高糖食品中常处于玻璃态,其拓扑结构在加工、保藏过程中的相态转变问题普遍存在,宏观上表现为产品结块、坍缩、潮解、霉变等一系列加工保藏性能劣变,大大降低了高糖食品的品质及安全性和营养价值。
小分子糖及相关高糖食品在不同加工、保藏条件下会发生各种各样的物性变化以及触发一系列与受扩散限制的化学反应,而这些变化过程及反应速率很大程度上是由体系所含小分子糖的运动状态变化所决定。例如,小分子糖在玻璃化转变温度(Glass Transition Temperature, Tg)附近的运动变化主要是产生了除原位振动和转动外的分子或基团的平动(Translation Movement)。根据自由体积理论可知,由于体系伴随温度上升时的自由体积分数增加,产生了更多“空穴”,进而导致的小分子糖拓扑结构在空间上的结构松弛进而引发平动,这个过程被称为分子流动(Molecular Mobility, Mm)。作为描述小分子糖分子或基团在不同相态下运动状态的全新参量,时-空特征(Spatio-Temporal Parameter)通常与小分子糖在Tg附近由于平动产生的 Mm对温度变化的动态依赖程度直接相关,并已被证实与高糖食品加工保藏过程中的品质劣变和受扩散限制反应速率之间存在明显因果关系。因此,针对小分子糖时-空特征规律的深入认识是改善高糖食品加工保藏性能及安全和营养价值的一种全新思路和技术手段。
目前市场对精深加工高糖食品的需求量巨大,针对小分子糖在加工保藏过程中的变化及调控机制的研究迫在眉睫。范方辉课题组综述了小分子糖时-空特征理论及相关应用的最新研究进展,旨在为推动时-空特征规律调控这一全新方法在高糖食品加工保藏性能改善的应用提供前期理论储备和技术参考。此外,文章的主要结论对于各类功能性高糖食品结构平台的研发与构筑也极具有指导意义。
1 小分子糖的玻璃化转变与游离水塑化效应
1.1 小分子糖玻璃化转变
玻璃化转变(Glassy Transition)是指物质由非晶固态向非晶液态自发转变的热力学可逆过程。在Tg范围内,体系的热容(Cp)、膨胀/压缩系数(𝛼)、Mm等特性均会发生变化。例如,当外界温度(T)低于Tg时物质处于玻璃态(即非晶固态),具有极高粘度(𝜂 >1012 Pa∙s),分子热运动能量低且不足以克服平移所需能垒,分子或基团只能在原位震动和转动;当温度超过Tg时粘度骤降(≤108 Pa∙s)形成非晶液态,此时平动出现导致分子形成粘性流动,宏观上引发一系列食品的结构劣变和受扩散限制反应的发生。对高糖食品产品而言,处于玻璃态的小分子糖分子运动非常缓慢,导致体系中许多受扩散限制的反应不会发生或反应速度极慢,故产品品质能够长期保持稳定,货架寿命得到有效延长。
目前有关玻璃化转变的形成机理众说纷纭(表1),其中以Fox等提出的自由体积理论(Free-Volume Theory)最为盛行。该理论假设玻璃体中存在一定比例的自由体积(fg,fg= 1 %~13 %),发生玻璃化转变后自由体积(fg)会增加,且该增量可由热膨胀系数(αf)与温度差(T−Tg)的乘积表示(公式1)。对小分子糖而言,研究发现其玻璃化转变前后其自由体积的增量与数均分子量(Number-Average Molecular Weight)呈正相关,这表明伴随温度变化的自由体积增量与糖分子的拓扑结构运动直接相关。然而,自由体积理论仅能解释由温度变化引发的体积增加,对于体系受组分影响导致结构松弛而产生的相态转变无法有效描述,同时该理论忽略了时间积累对体系相态转变的影响。除自由体积理论外,基于玻璃化转变前后分子松弛时间依赖特性的动力学理论、基于预设平衡态下高熵玻璃体熵值变化的热力学理论等都可用于解释玻璃化转变的形成机制(表1)。由于对玻璃化转变形成实质缺乏深入认识,目前有关其形成实质仍有待深入研究,深入解析玻璃化转变前后小分子糖拓扑结构的泛时-空运动规律,或许是解释上述问题的一种全新思路。


1.2 游离水塑化效应
2 小分子糖时-空特征表述理论及变化规律
2.1 时-空特征表述理论
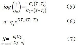
围绕小分子糖时-空特征的有效表述问题,大量研究指出Tg附近分子流动(Mm)状态对温度变化的动态依赖程度是时-空特征的直观体现,松弛时间则反映了其拓扑结构变化对时间的响应。Slade等是小分子糖时-空特征表述的先驱,他们首先发现Tg附近受水塑化作用导致的分子流动具备一定时-空属性且与松弛时间对温度差(T−Tg)的依赖程度直接相关,并提出借助William-Landel-Ferry(WLF)动力学来表述小分子糖时-空特征的初步构想(公式5;其中:𝜏和𝜏g分别表示体系在温度T和Tg时的松弛时间,C1和C2为常数)。由WLF模型图(图3A)可知,其中常数C1作为时间参量(s)表示小分子糖Tg附近松弛时间的理论最大下降值,C2(℃)则用于表征任意松弛时间下的温度变化。由自由体积理论可知,C2代表的温度参数与热膨胀后的自由体积增量密切相关,因此C2为空间参量。然而,研究发现WLF动力学方程中通用常数(C1 = 17.44 s和C2 = 51.60 ℃)仅适用于表征高聚物的时-空特征松弛过程,对小分子糖并不适用,需另做针对性计算。此外,Angell提出了基于Vogel–Tammann–Fulcher(VTF)动力学的“强-脆”分类法(公式6;其中:𝜂和𝜂s分别代表体系在温度T及Ts时的粘度,D代表体系的脆性),并对葡萄糖的时-空特征首先进行了描述,研究指出二氧化硅弛豫时间随温度比(T/Tg)的变化最小,表明其在Tg附近的分子流动状态对时-空依赖的程度最弱;相反水在其Tg附近的分子流动状态对时-空依赖的程度最高,因为其松弛时间对温度比变化的依赖程度最高。然而VTF动力学模型中的温度比并不适用于小分子糖及高糖食品的时-空特征描述。例如,蔗糖松弛时间对温度比的依赖性明显强于水,这与上述“强-脆”理论的结论相悖。
最新研究发现小分子糖松弛时间这一狄波拉数对温度差(T−Tg)的极强依赖性,能够描述小分子糖分子流动特征并实现针对其时-空特征的量化。在明确WLF方程常数物理意义的基础上,利用其组分针对性改良WLF动力学方程能够有效拟合低频率下(0.1~103 Hz)松弛时间与T−Tg的相关性。为此,Roos, Fan和Maidannyk共同提出了一种利用WLF方程中2/logτ与1/(T−Tg)线性关系计算时-空特征常数C1和C2,并提出在规定接触时间(10 s)内松弛时间下降四个数量级时(ds=4; 此为玻璃态小分子糖发生相态转变所需临界时间),分子流动状态的变化量—Strength(S)值(公式7)。作为一个用于描述相态转变过程中分子运动状态的全新参量,S值包含了其拓扑结构所在时间和空间尺度的全部信息,能够直观地表述出小分子糖拓扑结构运动状态变化对时-空的响应能力,即分子流动状态对时-空依赖的程度与S值呈正相关。上述理论自提出以来已在各类高糖食品玻璃化加工领域中得到验证和广泛应用。例如,Bhandari回顾了过去半个世纪食品玻璃化转变的研究和应用,其中多次介绍了小分子糖时-空特征理论的研究成果,并指出S值是用于食品加工保藏性能改善的全新思路和重要手段。此外,Renzetti等在指出基于材料特异性的WLF动力学方程能够很好表述蔗糖/乳清蛋白体系不同时-空层面的物性变化,这有力地支持了有关小分子糖时-空特征表述的理论。Ubbink等通过对比“强-脆”分类在蔗糖时-空特征的表述后发现,S值对高糖食品时-空特征的表述更为有效,并将该理论拓展应用到糖溶液体系。
2.2 时-空特征趋势
食品必然会经历加工保藏的过程,不同种类小分子糖的时-空特征会随温度、压力、含水量的变化而规律变化,具体体现在S值的规律变化。与Tg值相似,小分子糖的分子流动状态能被游离水改变,这归结于游离水的增塑作用能够有效增加体系自由体积。例如,Maidannyk等有关海藻糖S值的研究发现,其S值随体系含水量的增加而下降。Fan等通过系统研究乳糖S值发现,其时空特征的变化受到水塑化作用的影响明显,且这种变化与Tg对水的依赖性极其相似,进而利用这种变化趋势提出了不同含水量下小分子糖时-空特征的经验公式(公式8)。
3 时-空特征调控在高糖食品加工保藏中的应用
3.1 防潮、抗结晶中的应用
高糖食品中的玻璃态小分子糖在加工保藏过程中极易吸潮(Hygroscope),引发一系列品质劣变,如结构坍缩、结块等。Fan等研究玻璃态乳糖/乳清分离蛋白体系的动态吸水行为后发现,体系吸潮过程与其时-空特征密切相关。该研究表明,乳糖/乳清分离蛋白体系的S值越大,体系发生品质劣变所需环境湿度越高,即体系的防潮能力越强。Yuan等提出通过将吸水等温线与动力学时-空特征相结合构建状态图,从而提出综合改善高糖食品品质的方法。例如,宋慧慧等成功利用上述状态图改善枸杞粉稳定性。从时-空特征出发,高糖食品吸潮现象可利用时-空特征经验式结合吸水叠加原理构建时-空特征规律状态图(State Diagram)(图5A),利用该状态图可实现任意含水量(或aw)或温度下有关S值的计算,从而确定引发体系品质变化的吸潮点及临界吸水量。上述吸潮临界值的确定,为综合改善加工保藏过程中高糖食品的防潮性能提供了重要参考。
此外,高糖食品体系吸潮后是否会出现结晶(Crystallization)现象以及形成晶体大小和形状都将对其品质产生重要影响。小分子糖吸潮结晶主要发生在Tg以上但低于熔融温度(Tm),通常是一个三步过程,包括:成核(形成晶核)、增殖(晶体生长)和成熟(晶体每隔段和/或持续生长)。其中,成核形成和晶核生长过程与小分子糖分子不同时-空层面的运动状态密切相关,并共同决定了结晶速率及结晶度。例如,当温度越接近熔点温度(Tm),成核速率越低,但由于黏度降低使晶核生长速率增大;温度越接近Tg,成核速率越快,但是由于黏度大使晶核生长较慢,所以结晶速率在温度为Tg和Tm之间的某个值时达到最大值(图5B)。长期保藏实验指出,体系中游离水吸附/排出的过程可以用来表征结晶过程,当体系中游离水吸附/排出量相等时,达到最大的结晶度。而游离水由于结晶过程中分子重排导致被排出,该排出量随时间的变化即为体系的结晶速率。前期有关高糖粉体保藏性能的研究结果显示,体系结构劣变过程与玻璃态小分子糖时-空时间的变化密切相关。可食用大分子如蛋白质的添加能够有效提升体系S值延缓体系吸水结晶过程,这证明通过改变时-空特征能够大幅提高高糖食品的抗结晶性能。Li等的研究指出,乳清分离蛋白能够有效阻止乳粉的晶化、结块、联粘等品质劣变和非酶褐变,这也直接源于蛋白质对乳糖分子流动的干扰作用。最新研究表明,时-空特征能够用于调控蜂蜜干粉在保藏过程中的结晶度,这是时-空特征在高糖食品防潮、抗结晶性能提升中的首次尝试。除蛋白质外,多糖被发现同样具有干扰小分子糖Tg附近分子流动性的能力。Nurhadi等在研究红姜粉防潮性能的过程中发现,利用麦芽糊精针对体系时-空特征实施调控能够有效提高红姜粉保藏过程中的防潮、抗结晶性能。此外,异构化也是影响结晶过程的重要因素,且往往决定最终的结晶产物。例如,乳糖存在两种异头物,异头物之间存在理化性质的差异,异头物的质量比受温度等多种条件的影响,影响乳糖的结构变化,并可能产生一些不良问题,如溶解度下降等。由于结晶与高糖食品的品质及加工保藏稳定性密切相关,对于时-空特征的深入研究对具备防潮、抗结晶性能的功能性高糖食品研发具有极其重要的意义。
3.2 扩散限制反应调控中的应用
扩散限制反应(Diffusion Limited Reaction),如,降解、非酶褐变等,对食品品质的影响性巨大。在恒温恒压下,三个主要因素控制了扩散限制反应的速率:扩散因子—表征反应相遇的几率;碰撞因子—表征反应物相遇后单位时间内发生碰撞的数量;活化能—表征定向反应中反应物碰撞反应需要克服的能垒。因此,与时-空特征相关的扩散因子决定了反应速率。目前人们已普遍接受分子流动是扩散限制反应发生的必要条件,因此对扩散限制反应调控的核心在于对其分子时-空特征的综合调控。例如,Miao等研究了高糖食品模型中非酶褐变过程与体系分子流动的关联特性。Lim等研究了包含β-胡萝卜素的层层包埋冻干粉末后发现,β-胡萝卜素的降解动力学与体系中海藻糖的时-空特征密切相关,即S值越大,降解速率越慢。Lu等最新的研究表明S值对受扩散限制的营养素降解反应直接相关,通过对体系时-空特征规律的深入研究,有利于设计出具备营养素保护机能的功能性高糖食品载体。由于缺乏对扩散限制反应过程与时-空特征关联机制的认识,目前将相关研究结果应用到高糖食品体系防潮、抗结晶性能改善中的报道还很少。
4 前景与展望
尽管有关小分子糖时-空特征及应用的研究已取得不少进展,该领域仍处于起步阶段。目前主要存在的科学问题在于动力学作为表述时-空特征的现行方法存在理论缺陷,无法有效兼顾Tg附近的塑化-流动效应,所建模型的普适性较差。这直接导致工程应用方面的技术难点,即:时-空特征规律模型与吸水结晶过程无法有效耦合,利用该特征改善高糖食品加工保藏性能的可靠性一般。此外,小分子糖时-空特征调控,是否可应用于高糖食品吸水缔和强度及结晶度控制等方面?能否探索出新的防潮、抗结晶等物性调控途径?这些已成为高糖食品精深加工中的“卡脖子”问题。针对上述问题,未来通过深入解析小分子糖时-空特征规律可实现吸水结晶过程的有效调控,从而探索和研发出具备防潮、抗结晶性能的功能性高糖结构平台,综合改善小分子糖加工保藏性能及安全性和营养价值。针对小分子糖时-空特征的科学准确解析手段的研究,对于实现吸水结晶过程有效调控同样至关重要。目前常用的方法是从松弛过程的的热力学角度来表征与解析小分子糖的S值,往往具有一定的局限性。未来可以考虑从小分子糖的光学特性、电磁特性等方面借助介电扫描仪、正电子湮灭寿命谱、闪速DSC等先进仪器对小分子糖的时-空特征进行更加深入的解析。该方面的深入认识不仅对理解加工保藏过程营养素(糖)变化及其机制有重要的理论参考价值,对于推进高糖食品精深加工也极具实际意义。
通信作者简介
范方辉 博士
深圳大学化学与环境工程学院食品科学与工程系
[1] Fanghui Fan, Yrjö H Roos*. Glass Transition-associated structural relaxations and applications of relaxation times in amorphous food solids: a review[J]. Food Engineering Reviews, 2017, 9: 257-270.
[2] Fanghui Fan, Yrjö H Roos*. Structural relaxations of amorphous lactose and lactose-whey protein mixtures[J]. Journal of Food Engineering, 2016, 173: 105-115.
[3] Fanghui Fan, Tian Mou, Bambang Nurhadi, Yrjö H Roos*. Water sorption-induced crystallization, structural relaxations and strength analysis of relaxation times in amorphous lactose/whey protein systems[J]. Journal of Food Engineering, 2016, 196: 150-158.
[4] Wenli Liu, Yrjö H. Roos, Fanghui Fan*. Physicochemical properties and relaxation time in strength analysis of amorphous poly (vinyl-pyrrolidone) and maltodextrin: Effects of water, molecular weight, and lactose addition, Journal of Food Engineering, 2018, 226: 82-95.
[5] Fanghui Fan*, Yrjö H Roos. Physicochemical properties, structural transformation, and relaxation time in strength analysis for honey powder models[J]. Food Research International, 2019, 122: 137-148.

版权声明
本公众号推送文章仅为学术交流使用,‘原创’为原创编译之标记,不表示本平台对文本主张版权。作者团队或单位如需使用编译文本,可联系编辑开放白名单。凡是注明“转载”的稿件,均已注明直接来源,如需使用,请联系版权人。如有侵权,请联系我们,我们会尽快删除。




