
研究背景
微生物是引起食品腐败变质的主要原因,使用防腐剂可以有效减缓食品腐败变质的发生,延长产品货架期。而大多数研究学者考虑到仲丁胺、扑海因、抗菌灵等化学防腐剂的残留安全性问题,绿色、 安全、高效的天然生物防腐剂近年来逐渐成为食品。保鲜领域的研究热点。而乳酸链球菌素作为一种安全无毒的天然防腐剂,早于1969年就被世界卫生组织(WHO)批准用作食品防腐剂,并于1988年被美国食品药品管理局FDA)列人一般公认安全 (Generaly Recognizedassafe,GRAs)名单。而且由于乳酸链球菌素(Nisin)摄人后可快速被人体中的 蛋白酶(如胰蛋白酶、胰酶、唾液酶等)消化分解为各种氨基酸,不会对人体产生毒副作用,因此其近年来已被商业化广泛应用于食品保鲜行业。乳酸链球菌素又称为乳链菌肽,是由乳酸乳球菌乳酸亚种(Laclococcuslaclissubsp.Lactis)某些菌株代谢过程中合成的一种含有34个氨基酸残基的多肽型生物防腐剂。乳酸链球菌素具有良好的抑菌性,可有效 地抑制金黄色葡萄球菌、枯草芽孢杆菌、单增李斯特菌、嗜热链球菌等革兰氏阳性菌的生长,尤其是细菌芽孢的生长。胡文忠团队主要是对乳酸链球菌素的抑菌机理及其近10年来在食品保鲜领域中的应用进行介绍,并讨论了其在今后的发展方向,以期为乳酸链球菌素在食品保鲜应用中的进一步研究和开发提供参考。
1 乳酸链球菌素的结构及理化性质
1.1 结构
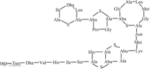
乳酸链球菌素是由核糖体合成的由34个氨基酸 组成的小蛋白质抗菌素 ,分子式为C143H220N42037s7,分子量为3510 Da。乳酸链球菌素目前的类型主要有 A、B、C、D、E、Z和 O。其中研究最多的就是 Nisin A 和 Nisin Z,二者在组成上只有第27位氨基酸残基不同 , 即 NisinA为组氨酸残基 ,而 NisinZ为天冬酰胺残基。而 NisinO是近年来新发现的天然异构体,其与 Nisin A和 Nisin Z分别有3个和4个氨基酸的差异。
乳酸链球菌素分子常以二聚体或四聚体的形式存在 ,其含有一些修饰性的氨基酸残基,包括羊毛硫氨酸(Lanthionine)、8-甲基羊毛硫氨酸(8 -methylanthionine) 、甲基脱氢丙氨酸(Dehy drobutyrine,Dhb) 以及脱氢丙氨酸(Dehydroalanine, Dha)等。乳酸链球菌素的分子结构式如图1所示。

1.2 理化性质
乳酸链球菌素的溶解度受pH的影响 ,有结果表 明随着pH的升高 ,其溶解度逐渐降低 , 当 pH在8.5左右时乳酸链球菌素的溶解度处于较为平稳的状态。同时乳酸链球菌素的稳定性也与 pH密切相关 ,在pH较高即碱性条件下,乳酸链球菌素极不稳 定 ,容易失活。而当乳酸链球菌素在酸性条件下,尤其当pH<2.0时可耐受 121 ℃灭菌而不失活。同时也有研究表明, 当 pH为 2.2 时,在 0.5%的三氟乙酸(TFA)环境下 ,乳酸链球菌素可在低温下存放数月,且化学性质和抑菌活性不会发生改变。
2 乳酸链球菌素的抑菌性及抗菌机理
2.1 抑菌性
大量研究表明 ,乳酸链球菌素具有良好的抑菌作用。如吕淑霞等以及一些学者研究结果表明 ,乳酸链球菌素能够抑制金黄色葡萄球菌、枯草芽孢杆菌、单增李斯特菌、嗜热链球菌等大部分革兰氏阳性菌的生长和繁殖 ,特别是对芽孢的抑制作用明显。 然而虽然乳酸链球菌素对革兰氏阴性菌、霉菌以及酵母菌无直 接抑制作用,但也有研究表明,在和某些络合剂(如EDTA或柠檬酸等)联合使用或经冷冻、超高压(UHP)、调节pH、脉冲电场(PEF)以及加热等条件处理下 ,可有效将乳酸链球菌素的抑菌活性谱拓宽到部分革兰氏阴性菌(比如大肠杆菌、沙门氏菌等)。
2.2 抑菌机理
对于乳酸链球菌素的抑菌机理国内外学者进行了较长时间深人研究 ,但目前对其机理还未有明确 的定论 ,许多学者也在进一步研究中。有研究表明 , 乳酸链球菌素可以改变有害微生物细胞的 pH,使细胞濒临死亡;也有些学者认为乳酸链球菌素之所以可以抑制细菌生长, 是因为乳酸链球菌素分子中脱氢丙氨酸(DHA) 和 8 -甲基脱氢丙氨酸(DHB)可以与细菌细胞膜上的某些酶发生化学反应,从而使细菌细胞内物质流出,进而导致细胞裂解死亡;而Zhao等分析金黄色葡萄球菌基因表达谱指出,乳酸链球菌素可以通过阻碍金黄色葡萄球菌中主要功能性基因的转录,来抑制金黄色葡萄球菌的生长和繁殖,从微观的方面也对乳酸链球菌素的抑菌机理提供了重要的线索而在众多乳酸链球菌素的抑菌机理中, " 孔道理论"得到了较为广泛的认同 ,并且也是近年来许多 学者研究的热点。 "孔道理论" 主要是指乳酸链球菌 素可以使微生物细胞膜中形成孔道 , 导致细胞内三 磷酸腺苷、核苷酸以及氨基酸等小分子物质快速流出,导致细胞的生物合成过程受 ,从而使微生物细 胞裂解死亡。其主要有两种模式 ,第一种是" 楔形" 模型 ,是指乳酸链球菌素与细胞膜紧密结合后, C端 与微生物细胞脂质的静电吸引力会使得乳酸链球菌 素慢慢插人到脂质双分子层,从而在膜上形成孔道。 而且少量即微摩尔浓度的乳酸链球菌素便可形成这 种孔道模型,如图2(a)所示;第二种模式是乳酸链球 菌素的 N端可与微生物细胞壁的合成前体脂质s相结合 ,将其作为后续孔形成的对接分子 , 阻止前体脂质s参与肽聚糖的合成 ,从而破坏细胞壁并形成高度特异性的孔,而且该孔道比第一种模式形成的孔径更大且更稳定 ,如图2(b)所示。

3 乳酸链球菌在食品保鲜中的应用
乳酸链球菌素因其具有良好的抑菌防腐功能,且安全无毒的特点,目前已被广泛应用于果蔬、乳制品、肉制品和酒制品等防腐保鲜中。
3.1 在采后果蔬中的应用
果蔬 ,尤其是对于含水量较高的果蔬在运输、贮藏以及销售过程中极易遭受微生物的侵染,导致果蔬发生腐败变质,从而降低其商品价值,缩短货架期。
3.1.1 完整果蔬
研究发现 , 甜樱桃经乳酸链球菌素溶液清洗后,使致腐微生物沙门氏菌的菌液浓度大大降低。同时研究者还发现,使用乳酸链球菌素与柠檬酸复配处理甜樱桃 ,可更加有效地抑制沙门氏菌的生长,将其菌落浓度降至检测限以下。而且近年来,研究者重点开发了乳酸链球菌素与其它制剂联合使用的技术。使用结冷胶、瓜尔豆胶与乳酸链球菌素制备的食用复合膜可有效地抑制李荠贮藏过程中枯草芽孢杆菌、大肠杆菌以及面包酵母的生长,将贮藏期内李荠果实的好果率提高了 30% ,并且也发现随着乳酸链球菌素浓度的增加,食用复合膜的抑菌性也随之增强。除此之外 ,使用壳聚糖、异硫氰酸烯丙酯与乳酸链球菌素复配处理哈密瓜后,发现同样可以有效抑制哈密瓜中沙门氏菌的生长,提高其在贮藏期间的食品安全性。
3.1.2 鲜切果蔬
鲜切果蔬是指以新鲜果蔬为原料 ,经分级、清洗、去皮、切分、包装等一 系列处理后 , 再进人货架销售的即食或即用的果蔬制品。但是鲜切果蔬由于加工过程中造成的机械损伤,会使果肉与空气的接触面积增大,增加微生物侵染的机率,导致鲜切果蔬失去新鲜产品特征的同时也增加了潜在的食品安全问题。
研究发现单独或与有机盐(柠檬酸钠或乙酸钠) 复合使用乳酸链球菌素处理鲜切番茄 , 均可显著地 降低单增李斯特菌的数量 ,尤其是与5%柠檬酸钠复合处理可将单增李斯特菌的数量减2.56~3.48 log CFU/mL 。在鲜切皇冠梨上,同样使用柠檬 酸与乳酸链球菌素复配溶液处理可有效抑制单增李斯特菌的生长。此外,含有乳酸链球菌素的纤维 素膜可使鲜切芒果中单核细胞增生李斯特菌的活菌数量、金黄色葡萄球菌数量大大降低 ,而且不会对芒果果实的外观、质地以及营养价值产生不良的影响。
此外 , 乳酸链球菌素还研究用于生菜、苦瓜、白玉枇杷 、采后杏鲍菇、鲜切莲藕、鲜切苹果、鲜切胡萝卜以及鲜切洋葱等方面 , 同样具有良好的保鲜效果。
3.2 在乳制品中的应用
菌落总数是用于判定乳制品卫生质量的重要指标之一 。 乳制品经过巴氏杀菌后仍会有部分致病菌存活 ,对人体存在安全危害 ,而目前乳酸链球菌素作为食品防腐剂现已在乳制品保鲜中广泛应用。研究发现 ,添加乳酸链球菌素可以有效地抑制奶酪中 金黄色葡萄球菌以及李斯特菌的生长。益生菌乳 饮料经添加乳酸链球菌素不仅可有效地降低其活菌 数 ,而且还可以影响益生菌乳饮料的后酸化。此外 ,也有学者研究发现乳酸链球菌素与有机酸盐联合使用可抑制硬质奶酪中李斯特菌的生长 , 同时该学者还发现山梨酸钾、丙酸钙、乳酸钠和乳酸链球菌素还具有协同抗菌的作用。
3.3 在肉制品中的应用
在肉制品保鲜中常添加硝酸盐或亚硝酸盐抑制肉毒梭状芽孢杆菌的生长 ,但是亚硝酸盐的存在会 进一步产生有致癌性的亚硝胺,对人体产生危害。 而在肉制品中添加乳酸链球菌素后可以降低亚硝酸盐的添加量,且同样可起到良好保鲜效果。在新鲜的瘦牛肉里添加乳酸链球菌素可有效地抑制单核细 胞增生李斯特菌和芽孢杆菌等的生长,延长瘦牛肉的贮存期。使用花椒提取物和乳酸链球菌素复配 处理冷鲜肉 ,可有效地降低菌落总数 ,将冷鲜肉的货架期延长 6 d。此外 ,乳酸链球菌素与乙二胺四乙酸(整合剂 EDTA) 联合使用同样也有助于肉制品的保存。
3.3 在酒制品中的应用
在肉制品保鲜中常添加硝酸盐或亚硝酸盐抑制肉毒梭状芽孢杆菌的生长 ,但是亚硝酸盐的存在会 进一步产生有致癌性的亚硝胺,对人体产生危害。 而在肉制品中添加乳酸链球菌素后可以降低亚硝酸盐的添加量,且同样可起到良好保鲜效果。在新鲜的瘦牛肉里添加乳酸链球菌素可有效地抑制单核细 胞增生李斯特菌和芽孢杆菌等的生长,延长瘦牛肉的贮存期。使用花椒提取物和乳酸链球菌素复配 处理冷鲜肉 ,可有效地降低菌落总数 ,将冷鲜肉的货架期延长 6 d。此外 ,乳酸链球菌素与乙二胺四乙酸(整合剂 EDTA) 联合使用同样也有助于肉制品的保存。
在啤酒酿造过程中很容易受到革兰氏阳性菌 (如啤酒片球菌或乳杆菌)的影响 ,如果长时间储存,啤酒会出现浑浊、发酸等现象。而一些学者研究发 现由于乳酸链球菌素其既可以抑制革兰氏阳性菌的生长 ,又不会影响酵母菌的活性 , 因此被较为广泛的 应用于啤酒生产中。除此之外,学者们也研究发现了乳酸链球菌素在葡萄酒、蓝莓果酒等酒精饮品保鲜中的应用,且均可有效地提高商品价值 ,延长其货架期。
除上述之外 , 目前乳酸链球菌素也有在即食制品(桶子鸡、红酸汤、中式腊肠、软耗牛肉干、低盐酱菜、糕点)、豆制品(豆腐、大豆 分离蛋白、卤豆干)、罐藏制品(鸡汁鲍鱼罐头、牛排罐头) 以及水产制品(狭鲤鱼片)等保鲜中应用研究,且均呈现了较为理想的保鲜效果。
4 展望
乳酸链球菌素作为国际公认的一种天然、高效、安全的生物防腐剂 ,已被多个国家和地区广泛应用 于果蔬、乳制品、肉制品、酒制品、即食制品以及豆制 品等食品保鲜行业中。但由于其市场价格昂贵、抑菌图谱较窄等因素 , 在一定程度上限制了乳酸链球菌素的发展,因此今后的研究重点可以通过基因工程等生物技术手段提高乳酸链球菌素的抑菌谱,制造出更加适合食品保鲜的生物防腐剂。另 一 方面 , 虽然乳酸链球菌素在各个食品保鲜领域中的应用效果较好,但目前国内外对其抑菌机理的研究还不明晰。因此 ,今后应着重研究乳酸链球菌素保鲜机理,为其指导商业应用奠定理论基础。




版权声明
本公众号推送文章仅为学术交流使用,‘原创’为原创编译之标记,不表示本平台对文本主张版权。作者团队或单位如需使用编译文本,可联系编辑开放白名单。凡是注明“转载”的稿件,均已注明直接来源,如需使用,请联系版权人。如有侵权,请联系我们,我们会尽快删除。







