以下文章来源于科学私享 ,作者科学私享
四种典型结构类胡萝卜素与人体肠道菌群相互作用研究
导 读
2022年10月10日,江苏省农业科学院农产品加工研究所李大婧研究员团队在国际Top期刊Journal of Agricultural and Food Chemistry(Q1,IF: 5.895)(点击查询最新即时IF和分区)发表题为“Study on the Interaction between Four Typical Carotenoids and Human Gut Microflora Using an in Vitro Fermentation Model”的研究性论文(点击查阅该刊投稿指南),2022年10月26日被选为封面论文。该文第一作者为戴竹青副研究员,通讯作者为李大婧研究员。
本研究旨探讨四种典型结构类胡萝卜素(β-胡萝卜素、叶黄素、番茄红素和虾青素)对肠道菌群结构及相关代谢产物的作用差异,为类胡萝卜素和肠道菌群构效关系研究提供更多信息,并为从肠道菌群角度探讨类胡萝卜素生物利用提供新的视角。
研究概述
最新研究显示类胡萝卜素与肠道菌群存在密切关系,他们之间的相互作用影响类胡萝卜素体内吸收代谢与功能发挥,然而其相互作用间的构效关系仍不明确。本研究采用体外发酵模型研究了四种典型结构类胡萝卜素(β-胡萝卜素、叶黄素、番茄红素和虾青素)与肠道菌群之间的相互作用。
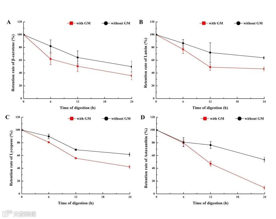
结果表明肠道菌群环境发酵24h后,β-胡萝卜素、叶黄素、番茄红素和虾青素的保留率分别35.72 ± 6.23%、46.37 ± 3.1%、42.26 ± 2.53%、9.49 ± 2.77%,降解率分别是他们无菌群对照组的1.40、1.38、1.46和5.63倍;虾青素的保留率明显低于其他类胡萝卜素,可能与虾青素结构中含有的两个碳基更易被菌群代谢有关。
四种类胡萝卜素均显著促进了总短链脂肪酸 (SCFAs) 的产生并改变了肠道菌群结构。所有类胡萝卜素补充剂均显著促进了 Roseburia 和 Parasutterella 的丰度并抑制了 Collinsella 的丰度,而 β-胡萝卜素、叶黄素、番茄红素和虾青素分别显著促进了 Ruminococcus、Sutterella、Subdoligranulum 和 Megamonas的丰度。此外,与非含氧胡萝卜素相比,含氧类胡萝卜素对肠道菌群结构的影响更为显著。
这项研究为从肠道菌群角度探讨类胡萝卜素生物利用提供了新的视角,对类胡萝卜素健康产品开发亦提供了重要理论支撑。
图文赏析
图1 体外模拟肠道菌群发酵24h过程四种类胡萝卜素保留率
图2 四种类胡萝卜素处理组肠道菌群组成的Lefse、LDA、Heat map分析
戴竹青
戴竹青,博士、硕导、副研究员,江苏省农业科学院青年拔尖人才,江苏省科协“青年科技人才托举工程”培养对象。南京农业大学博士毕业,美国罗格斯大学联合培养博士,现工作于江苏省农科院加工所果蔬加工创新团队,主要从事果蔬加工与营养提升方面研究。主持国家自然科学基金青年基金、江苏省农业科技自主创新资金等项目6项,发表论文40余篇,其中以第一/通讯作者在Food Chemistry、Journal of Agricultural and Food Chemistry、Food & Function等一区杂志发表论文8篇;担任Fermentation客座主编;获2021年江苏省科学技术二等奖(第6)。
李大婧
李大婧,博士、博导、二级研究员。现任农产品加工研究所副所长、果蔬加工创新团队首席。兼任中国食品科学技术学会休闲食品加工技术分会理事、第三届青年工作委员会委员,受聘为《食品科学》杂志青年编委会委员。主要从事果蔬加工品质调控与机理、果蔬功能化利用及营养健康食品精准制造等研究。近5年主持承担国家自然科学基金面上项目、江苏省重点研发计划重点项目等部省级及以上项目18项。发表SCI期刊论文55篇,授权国家发明专利34件,制定各类标准28项。获江苏省科学技术二等奖(排名第1)、中国食品工业协会科学技术特等奖(排名第1)、中华农业科技奖等科技奖项9项。入选江苏省“333工程”中青年领军人才、江苏省有突出贡献中青年专家、全国农产品加工业十佳青年科技人才、江苏省“六大人才高峰”高层次人才培养对象。
简历来源:
http://newifpp.jaas.ac.cn/show-899-42-1.html
原文链接
https://doi.org/10.1021/acs.jafc.2c03464
① 长按二维码 或 ② 点击左下角“阅读原文”










