DNA步行机辅助的适配体传感器用于赭曲霉毒素A的高灵敏检测
导 读
赭曲霉毒素A(OTA)属于霉菌毒素,是由曲霉菌和青霉菌在适宜的条件下产生的,具有很强的热稳定性和化学稳定性,因此它易于在食品存储和加工过程中存活且很难被完全除去。由于OTA在食物链中的持久性和续存效应,误食OTA感染的食物会导致人体产生肾毒性、肝毒性、致畸性和免疫毒性。因此,建立食品中赭曲霉毒素A的快速检测方法与技术,是预防食品真菌毒素污染、保障食品安全的重要前提之一。
西北大学食品科学与工程学院岳田利教授团队构建了一种基于纳米金修饰氧化钼纳米复合材料、杂交链式反应(HCR)和限制性内切酶(Nb.BbvCI)辅助DNA步行机的OTA检测传感器,在该传感器中,利用携带亚甲基蓝电化学探针的HCR产物与纳米银结合,实现信号放大。在最佳条件下,依次加入OTA和Nb.BbvCI,随后,适配体特异性结合OTA使其脱离电极表面,walker DNA与5-DNA自主杂交,并在Nb.BBVCI的帮助下释放大量的5'-DNA,采用示差脉冲伏安分析技术监测亚甲基蓝信号变化来定量检测OTA浓度。
研究结果发表在国际TOP期刊Biosensors & Bioelectronics(Q1,IF:12.545)上,题为“DNA walker-assisted aptasensor for highly sensitive determination of Ochratoxin A” 。该研究得到国家重点研发计划项目(2019YFC1606703)和陕西省自然科学基金项目(2020JM-429)支持。论文共同第一作者为西北大学2018级硕士研究生王亚慧和宋微副教授,通讯作者为盛庆林教授和岳田利教授,第一单位为西北大学。
研究亮点
该论文通过将纳米信号放大技术和核酸信号放大技术相结合,建立了一种高灵敏检测赭曲霉毒素A的传感检测新方法。
研究意义
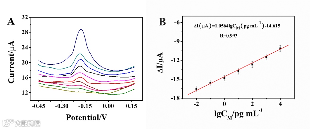
该适配体传感器实现了对赭曲霉毒素A的高灵敏检测,检出限为3.3 fg/mL (S/N = 3),线性范围为0.01-10000 pg/mL。
实现了苹果汁、红酒等产品实际样品中赭曲霉毒素A的高灵敏度快速检测。
图文赏析
图1. 电化学适体传感器检测OTA的原理图
图2. (A)传感器响应Tris-HCl缓冲溶液(0.1 M、pH=7.42)中不同浓度OTA(从上至下:0.0、50000.0、30000.0、10000.0、1000.0、100.0、10.0、1.0、0.1、0.01 pg/mL)的示差脉冲伏安曲线;(B)亚甲基蓝峰电流增量与OTA浓度的线性关系曲线。
王亚慧
王亚慧,西北大学硕士研究生。
宋 微
宋 微,博士,西北大学食品科学与工程学院副教授,硕士生导师。2003-2008年天津科技大学与美国康奈尔大学联合培养博士,2009-2011年普渡大学博士后,2011-2016年哈尔滨工业大学博士后,2016-2017美国威斯康星大学-麦迪逊分校合作研究;2019年作为学术骨干引进西北大学营养健康制造与安全控制团队,现主要从事食物营养与健康关系、益生菌功能及肠道菌群与健康关系研究。发表SCI收录论文23篇,主持教育部博士点专项基金、中国博士后基金、黑龙江省自然科学基金等5项课题,作为主要参加者,参与4项科技部重点专项。
盛庆林
盛庆林,博士,西北大学食品科学与工程学院教授,博士生导师,西北大学冰峰饮品研究院副院长。陕西省农业工程学会第五届理事会副秘书长,陕西省药物分析专业委员会委员,《Food Frontiers》、《e-Food》青年编委,《Processes》期刊编委。2013年获“陕西省青年科技新星”称号,同年入选“西北大学优秀青年学术骨干支持计划”,2017年获“陕西省普通高等学校青年杰出人才”称号。主要从事食品安全检测及电化学传感研究。主持国家自然科学基金、国家十三五重点研发计划项目课题、陕西省自然科学基金、陕西省教育厅基金等研究课题。以第一作者、通讯作者在《Nanoscale》、《Chemical Communications》、《ACS Applied Materials & Interfaces》、《ACS Sustainable Chemistry & Engineering》、《Journal of Material Chemistry》、《Biosensors and Bioelectronics》、《Analyst》和《Food Chemistry》等刊物发表论文100余篇,在科学出版社出版学术著作1部,授权国家发明专利5项。
岳田利
岳田利,博士,二级教授,博士生导师,现任西北大学食品科学与工程学院院长,西凤酒研究院院长,西北大学冰峰饮品研究院院长,宁夏回族自治区特聘专家,农业农村部苹果综合加工技术集成科研基地主任;2002年获得霍英东青年教师基金,2005年入选教育部新世纪优秀人才计划,2006年入选享受国务院政府特殊津贴专家,2008年入选陕西省“三五”人才,西北农林科技大学首批拔尖人才计划入选者,入选斯坦福大学(2020年、2021年)发布的全球前十万名科学家。曾任西北农林科技大学“双一流”农产品加工与营养健康学科群首席科学家,第六、七届国务院学位委员会食品科学与工程学科评议组成员。兼任国际食物营养与安全协会副理事长,农业部农产品质量安全专家组成员,国家食品药品监督管理总局食品安全专家组成员,中国苹果产业协会副会长,陕西省食品安全专家委员会主任,陕西省人大常委会食品安全立法咨询专家,中国真菌毒素防控科技创新联盟常务理事,陕南生物资源开发与利用联盟学术委员会主任,陕西省柑橘产业科技联盟学术委员会主任,陕西省人民政府食品安全应急管理专家组成员,陕西省食品科学技术学会副理事长,陕西省营养健康食品个性制造工程实验室主任,中国农业工程学会农产品加工及贮藏工程分会常务理事,中国农学会农产品加工分会常务理事,中国食品科学技术学会果蔬加工分会常务理事,国家保健产品审评专家,国家实验室资质认定(CNAS)评审专家。担任《Food Frontiers》共同科学主编,《e-Food》、《International Journal of Agricultural and Biological Engineering》、《农业工程学报》、《食品科学》)等国内外期刊编委。先后主持国家“十一五”科技攻关计划项目、“十二五”科技支撑计划项目、“十三五”国家重点研发计划项目、国家自然科学基金项目等国家级项目10余项,主持省部级重点项目20余项,获得省部级科学技术奖一等奖3项,二等奖2项,霍英东基金奖1项,中国农学会青年科技奖1项。以第一作者或通讯作者在《Science Advances》、《Chemical Engineering Journal》、《Trends in Food Science & Technology》、《Comprehensive Reviews in Food Science and Food Safety》、《Critical Reviews in Food Science & Nutrition》、《Biosensor &Bioelectronics》等国际TOP期刊发表SCI论文365篇;获得国家发明专利30余项。
原文链接
https://doi.org/10.1016/j.bios.2021.113171
文章转载自"科学私享"




版权声明
《食品工业科技》具有以上论文在全世界范围内的复制权、发行权、翻译权、汇编权、广播权、表演权、信息网络传播权、转许可权及以上权利的邻接权,且作者已授权期刊同论文著作权保护期。如需转载,可联系《食品工业科技》编辑部010-87244116,或直接在文末撰写转载来源。







