
樊贺雨,胡晖宇,李昌,谢建华,申明月*,谢明勇
南昌大学食品科学与技术国家重点实验室
食品工业科技,2022,43(17):78−86
doi: 10.13386/j.issn1002-0306.2021110248
本文建立了固相萃取-液相色谱-三重四极杆串联质谱法检测油炸牛肉饼中8种杂环胺(Heterocyclicaromatic amines,HAAs)含量的方法,并研究不同添加量的6种传统香辛料:花椒、辣椒、黑胡椒(0.5%、1.0%、1.5%)、生姜(1%、2%、3%)、大蒜(1%、3%、5%)、洋葱(3%、6%、9%)对油炸牛肉饼中8种HAAs生成的影响。结果表明:8种HAAs在0.5~40 ng/mL范围内线性关系良好,决定系数R2>0.999;检出限为0.047~0.102 ng/g,定量限为0.127~0.336 ng/g;精密度为1.2%~10.9%;加标回收率在54.0%~109.4%之间,相对标准偏差在1.4%~8.9%之间。该方法可满足对HAAs进行定量分析的要求。在未添加香辛料的对照组中,HAAs 总量为37.5 ng/g。与对照组相比,6种香辛料的添加均可显著抑制油炸牛肉饼中总HAAs 的生成(P<0.05)。1.5%花椒、1.5%辣椒、0.5%黑胡椒、1%生姜、5%大蒜和9%洋葱分别对油炸牛肉饼中总HAAs的抑制效果最好,抑制率为77.3%、67.4%、65.0%、67.1%、61.2%、47.9%。此研究结果可为肉制品热加工中 HAAs的抑制提供一定的参考。

查看详细内容,请点击题目
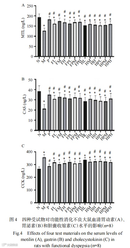
钟亚东1,潘猛1,徐德昌1,孙永敢1,胡婕伦1,聂少平1,钟虹光2,尧梅香2,谢明勇1*
1.南昌大学食品科学与技术国家重点实验室,中加食品科学技术联合实验室(南昌)
2.江中食疗科技有限公司
食品工业科技,2021,42(22):355−362
doi: 10.13386/j.issn1002-0306.2021020065
探讨基于茯苓-山药复配提取物开发的米稀和基于猴头菇提取物开发的饼干对大鼠功能性消化不良的改善作用。构建功能性消化不良大鼠模型,随机分为模型组,阳性组,茯苓-山药复配提取物低、中、高剂量组,米稀低、中、高剂量组,猴头菇提取物低、中、高剂量组,猴头菇饼干低、中、高剂量组,连续14d灌胃相应受试物。研究结果显示,灌胃四种受试物显著增加了功能性消化不良大鼠的体重、采食量、胃排空率、小肠推进速率、血清胃动素和胃泌素水平,显著(P<0.05)降低血清胆囊收缩素水平。此外,灌胃四种受试物还显著(P<0.05)增加结肠中乙酸、丙酸、丁酸和总短链脂肪酸水平。灌胃四种受试物均可有效改善大鼠功能性消化不良症状,其中茯苓-山药复配各组的改善作用总体优于猴头菇各组,提取物与产品作用相似,且以中剂量效果最佳。本研究结果可为改善胃肠道功能健康产品的开发提供数据支持。

查看详细内容,请点击题目
《食品工业科技》特邀主编专栏征稿
《食品工业科技》青年编委专栏征稿:生物基材料在食品包装领域的应用 ☚
《食品工业科技》特邀主编专栏征稿:食品中天然产物提取分离、结构表征和生物活性 ☚
《食品工业科技》青年编委专栏征稿:枸杞、红枣、沙棘等食药同源健康食品研究与开发 ☚
《食品工业科技》青年编委专栏征稿:AI for Food Industry:人工智能在食品工业中的应用 ☚
群聊:食品工业科技作者群

温
馨
提
示
我刊正式组建微信作者群,为作者提供更多的学术与论文资讯,如需进群,请联系刘老师(微信:上方二维码,电话:87244117-8062)。

版权声明






