角质层是采后果实的质量调控器,不同采后贮藏条件可以改变其形态结构及化学组成。热激(heat shock,HT)和壳聚糖(chitosan,CS)处理已被证实能有效延缓果实衰老。本文以‘南丰蜜桔’为实验对象,采用扫描电子显微镜(scanning electron microscopy,SEM)和气相色谱-质谱联用仪(gas chromatography-mass spectrometry,GC-MS),研究不同采后保鲜方式(热激、壳聚糖、热激联合壳聚糖处理)对冷藏75 d期间‘南丰蜜桔’角质层形态结构及化学组成的影响。结果表明:‘南丰蜜桔’外蜡晶体呈不规则血小板状,热激导致外蜡重分布形成更光滑的表皮外观;外蜡和内蜡分别检出38种和50种组分,其主要成分均为烷烃、酸类、酯类、萜类,角质单体共检出7种成分,主要为酸类;十六烷酸是蜡质和角质最主要的组分。外蜡含量整体上无明显的变化规律,而内蜡呈先减后增的趋势,冷藏45 d时3种保鲜方式均能有效延缓外蜡和内蜡含量的降低,其中热激效果最为显著。冷藏期间角质单体含量持续下降,3种保鲜方式均能明显抑制其含量的降低,其中,以热激处理的效果最为明显。热激处理可通过改变外蜡晶体的结构,以及调节角质层的成分代谢来保持‘南丰蜜桔’的贮藏品质,这为其开发采后贮藏保鲜策略提供了科学依据。
角质层作为植物与环境接触的第一道外部屏障,已被证明在植物免受干旱胁迫、过度紫外线辐射、机械损伤以及微生物侵染等方面发挥重要生理作用。除了保护作用外,角质层还参与调节植物的生长,保护根的分生组织和促进侧根的发育。角质层在结构上主要由角质和蜡质组成,角质是一种由羟基脂肪酸组成通过酯键连接的聚酯化合物;蜡质可分为表皮外蜡和内蜡,表皮外蜡以晶体形式沉积在角质层外表面,主要是由不同比例的烷烃、脂肪酸、酯、初级醇等脂肪族化合物组成;而由烷烃、环氧脂肪酸、萜类、甾醇等主要化合物组成的表皮内蜡则镶嵌在角质聚合物基质中。
角质层是采后果实的质量调控器,其形态结构、化学组成及含量受采后贮藏条件因素的影响。Chen等比较了‘红富士’和‘金冠’两种苹果在货架期内角质层成分的动态变化,证明贮藏期间烷烃对抑制苹果采后失水具有重要作用。Wang等探讨了‘库尔勒香梨’在常温、冷藏和气调贮藏条件下表皮蜡质与贮藏品质特性的关系,发现冷藏和气调贮藏条件能通过调控果实角质层蜡质形态结构和组分来延缓果实成熟和衰老。张静等发现‘温州蜜柑’在贮藏期间表皮外蜡和角质单体含量分别呈先增后降和持续下降的变化趋势,体外实验表明外蜡可以促进指状青霉菌丝的生长,而角质则能抑制该菌分生孢子萌发。Zhu等也通过活体和离体实验证明,柑桔果实蜡质均能显著抑制指状青霉菌落的扩展。此外,徐呈祥等发现常温和低温下‘贡柑’和‘砂糖桔’的理化品质与蜡质含量、化学组成存在密切关联,冷藏不仅能显著抑制果实的失重率、腐烂率及细胞质膜相对透性的降低,还能有效保护果皮蜡质的减少和表面微形态结构的改变。
柑桔是我国重要的水果之一,2020年我国柑桔年产量达5121.90万吨。‘南丰蜜桔’是我国地方的重要名特柑桔之一,年均产量达150万吨,具有皮薄核少、酸甜适口、营养丰富等特点,但由于采后耐贮藏性差,导致采后损失严重。多种环保便捷的采后保鲜手段被应用到柑桔采后商品化处理,且多集中在采后贮藏品质特性评价和微生物防控等方面。如热激(heat shock,HT)被证明能降低柑桔果实呼吸强度和丙二醛含量,提高防御酶活性,进而延长采后贮藏期;壳聚糖(chitosan,CS)可在柑桔果实表面形成透明薄膜,能够降低果实呼吸强度、减少水分蒸腾和抵御微生物侵染;热激和壳聚糖联合处理也被证明可于防控茂谷柑采后绿霉病。然而,目前这些柑桔保鲜研究鲜有报道果实角质层的变化,且采后处理如何影响角质层形态结构及其化学组成尚不明晰。因此,本研究以‘南丰蜜桔’为研究对象,采用热激、壳聚糖以及热激联合壳聚糖处理3种保鲜方式,设置对照组对比探究4 ℃冷藏过程中不同处理对‘南丰蜜桔’角质层形态结构及其化学组成的影响,旨在揭示角质层的演变规律,以期为‘南丰蜜桔’的贮藏保鲜提供科学支撑。
2.1 冷藏过程中‘南丰蜜桔’表皮外蜡形态结构变化
‘南丰蜜桔’冷藏过程中外观颜色变化如图1右上角所示。冷藏15 d时,所有处理组果实表皮颜色无明显变化。冷藏30 d时,CK组果实基本转为全黄,而其他处理组果实果皮还保留部分青绿色。冷藏45 d开始,保鲜处理组果实颜色转黄,至75 d时CK组出现明显黑斑,HT组和HT+CS组果实表面也伴有泛黑现象,推测为热激产生的应激反应,而CS组果实外观在冷藏期间未出现黑斑,色泽均匀明亮。

图 1 冷藏过程中‘南丰蜜桔’外观及表皮外蜡形态结构变化(400×)
Figure 1. Changes in appearance and epicuticular wax crystal structure of 'Nanfeng' mandarins during cold storage (400×)
注:A0~A4:对照组0~75 d;B0~B4:热激组0~75 d;C0~C4:壳聚糖组0~75 d;D0~D4:热激联合壳聚糖组0~75 d。
‘南丰蜜桔’经不同处理后,各处理的果实表皮外蜡形态结构已发生变化,用浅蓝色箭头在图1中标出了外蜡晶体的位置。0 d时,CK组果皮外蜡层分布了大量的蜡质晶体,为不规则血小板状,与报道的柑桔表皮蜡质晶体形状一致,还能观察到皮孔的存在;CS组和HT+CS组表面被壳聚糖膜覆盖,可见明显的蜡质晶体轮廓;HT组蜡质层较为光滑平整,无明显的外蜡晶体分布。随着冷藏时间的延长,表皮外蜡在不同处理中呈现不同的变化趋势(图1)。冷藏0~45 d时,CK组的果皮外蜡晶体数量呈先减后增的趋势,且出现明显裂纹;CS组和HT+CS组果皮外蜡晶体数量持续减少,逐渐趋于光滑平整。直到75 d时,观察到4个处理的果皮表面均无明显外蜡晶体。从不同处理间的差异分析,同时期CK组的外蜡晶体数量比其他组更多,表面也更为粗糙。前人研究表明热激能使果实外蜡晶体结构特征消失,本研究发现HT组果实表皮在冷藏期间基本保持光滑平整状态,推测52 ℃的热激处理导致表皮外蜡熔融重分布形成更光滑的表皮外观。涂膜处理的CS组和HT+CS组,冷藏开始后表皮蜡层完好无损,均被致密完整的聚合膜覆盖。Xu等也发现壳聚糖涂膜处理对果实表皮外蜡可起到有效的防护。所有处理在贮藏结束时均形成了较完整的表皮表面。表皮蜡质作为‘南丰蜜桔’最外层的保护屏障,较完整的蜡质层和较少的裂缝助于阻止水分散失并有效地抵御外界微生物侵染,进而维持果实品质。
2.2 ‘南丰蜜桔’表皮蜡质组分及含量变化
2.2.1 ‘南丰蜜桔’表皮外蜡组分及含量变化
不同处理对冷藏‘南丰蜜桔’表皮外蜡主要化学组成及含量的影响如表1所示。主要检出烷烃、酸类、酯类及萜类4类化学成分,包括16种烷烃、14种酸、3种酯、3种萜和2种醇共38种成分。烷烃种类在外蜡成分中最为丰富,其被认为是形成柑桔表皮血小板状蜡质晶体的必需物质。王敏力等也在‘南丰蜜桔’中检出了烷烃、脂肪酸和醇类物质,本研究多检出的酯类可能是由于栽培环境或采后贮藏方式的不同所导致。所有处理的各个冷藏阶段均被检出的成分包括十一烷烃、十二烷酸、十四烷酸、十六烷酸、油酸、十八烷酸、脱氢枞酸、28-Nor-17.α.(H)-霍烷、豆甾醇和β-谷甾醇。Liu等发现十六烷酸是‘纽荷尔’脐橙发育期间外蜡组分中的主要脂肪酸,其次是十八烷酸。本研究检出的外蜡成分中十六烷酸含量同样最高,各处理在15、45和75 d存在显著差异(P<0.05)。冷藏0 d时,HT组十六烷酸含量最高为2.62 μg/cm2,比最低的CK组高24.76%;至75 d发生了显著变化(P<0.05),HT组降为最低的1.77 μg/cm2,比含量最高的CK组低29.48%。在十八烷酸的变化中,HT组含量在冷藏结束为1.20 μg/cm2,相比开始时下降了32.58%。而CK组含量在30~75 d从最低升到最高,推测CK组未做任何保鲜处理,到了冷藏后期合成更多的酸类成分来对抗逆境以维持果体自身状态,因为脂肪酸被证明具有潜在的抗真菌特性。



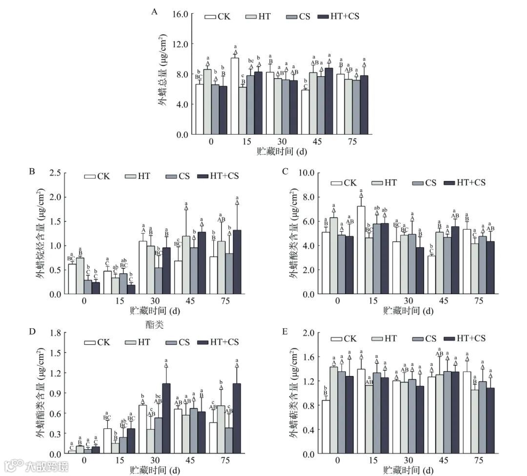
图2展示了不同处理果实表皮的外蜡总含量变化。冷藏15~45 d,CK组含量从10.12 μg/cm2下降到5.88 μg/cm2,HT组从6.25 μg/cm2上升到8.19 μg/cm2,而CS和HT+CS组含量随时间变化差异较小。冷藏45 d时,3种保鲜方式均能有效延缓外蜡含量的降低,其中热激效果最为明显。外蜡含量不仅随着冷藏时间产生变化,也在不同处理间存在差异。除第45 d外,CK组冷藏过程中的外蜡含量均比同期处理组更高,这与图1表皮外蜡形态结构现象一致,因为观察到CK组表皮外蜡晶体数量也比同期其他处理组更多。反之,HT组在冷藏过程中,总体来看其外蜡总量相比同期其他处理组更低,也与图1展现的表面光滑无外蜡晶体的现象相佐证。

图 2 不同处理对‘南丰蜜桔’冷藏过程中表皮外蜡组分含量的影响
Figure 2. Effects of different treatments on the content of epicuticular wax components of 'Nanfeng' mandarins during cold storage
注:不同小写字母表示同一贮藏期不同处理有显著差异(P<0.05);不同大写字母表示相同处理在不同贮藏期有显著差异(P<0.05);图4、图6同。
冷藏‘南丰蜜桔’表皮外蜡4类主要成分的含量和比例变化分别如图2和图3所示。从整体上看酸类含量最为丰富且变化较大,第15 d的CK组含量最高为7.25 μg/cm2,是第45 d的2.30倍。酸类所占比例均在50%以上,CK组和CS组的变化趋势为先降后升,HT组表现为持续下降,而HT+CS组则为上升下降交替变化。王敏力也发现脂肪酸是不同柑桔中最丰富的蜡质成分,其中‘南丰蜜桔’脂肪酸占比最大达到69.47%。各处理的烷烃整体含量从冷藏开始到后期表现为上升趋势,尤其是HT+CS组,从0.24 μg/cm2增至1.32 μg/cm2,增长了4.50倍。其在不同处理中所占比例也呈现上升的现象(图3)。‘南丰蜜桔’随冷藏时间延长失水率变大,为抑制果实失水烷烃含量也随之升高,表明蜡质中烷烃组分在抑制果实采后失水方面发挥重要作用,这与前人报道一致。外蜡中萜类的含量在不同处理间无显著变化。Trivedi等发现越橘在发育过程中,三萜类比例随着脂肪族化合物比例升高而降低。所有处理组的萜类比例降低的同时,也伴随着其他3类成分占比的升高的现象,这可能是由于萜类化合物一般在角质层内蜡中被检测到,而在外蜡晶体的形成中其作用还尚不明晰。此外,有研究者报道了酯类的积累会影响苹果表皮的油腻化程度。但酯类在柑桔蜡质中的作用未见报道,推测可能与柑桔挥发性香气有关,因为果实采后成熟衰老的过程伴有表皮香气成分的变化。本研究中CK组前期含量远高于其他组,而保鲜处理组含量后期增长较大,可能是经热激和壳聚糖处理后的果实响应较慢的缘故。

图 3 不同处理后‘南丰蜜桔’冷藏过程中表皮外蜡各组分比例
Figure 3. Proportion of epicuticular wax components of 'Nanfeng' mandarins from different treatments during cold storage
注:A:CK组;B:HT组;C:CS组;D:HT+CS组。
2.2.2 ‘南丰蜜桔’表皮内蜡组分及含量变化
‘南丰蜜桔’去除外蜡后制得内蜡,不同处理对表皮内蜡主要化学组成及含量的影响如表2所示。表皮内蜡同样检出烷烃、酸类、酯类及萜类4类主要化学成分,包括19种烷烃、16种酸、8种酯、5种萜、2种醇共50种成分,比外蜡要多12种。其中,所有处理组不同冷藏期果实都能检出12种内蜡组分,含量最多的内蜡成分仍然是十六烷酸。特别注意的是,与果实外蜡萜类成分相比,内蜡还检出了角鲨烯、菜油甾醇和β-香树精3种萜类物质,可能是由于三萜类物质呈环状二维结构多填充于聚酯结构的角质中,因此在内蜡中相对较多而外蜡中相对较少。前人在探究‘温州蜜柑’和‘冰糖橙’贮藏中的角质层组分差异时,发现内蜡能显著抑制指状青霉菌的菌丝生长和孢子萌发,其中萜类物质起到关键作用。角鲨烯也被证明可参与清除自由基和提高氧负荷。本研究发现角鲨烯成分仅在CK组第15 d和HT组第0、15、45 d检测到,推测HT处理能更好地保持果实品质。




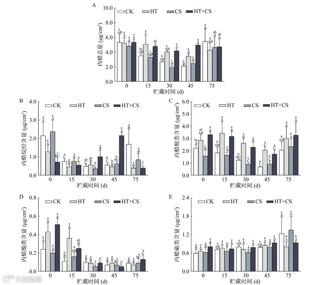
图4展示了检出的表皮内蜡总量的变化,所有处理的内蜡总量整体趋势为先减后增。在冷藏15~75 d,各处理之间的含量变化差异明显。这期间HT组和HT+CS组保持较高的含量,而CK组和CS组在冷藏过程中都保持着先减后增的变化趋势。冷藏45 d时3种保鲜方式均能有效抑制外蜡和内蜡含量的降低,其中热激效果最为明显。整个冷藏阶段含量最高的是第75 d的CK组,达到5.46 μg/cm2,最低为第30 d的CS组为1.91 μg/cm2。4类主要成分的含量和比例变化与外蜡相比有所不同。酸类同样是表皮内蜡中含量最高的成分(图4)。在酸类的变化中,第15 d HT组含量最高为3.44 μg/cm2,是同期CK组的1.88倍;HT+CS在冷藏结束时达到了3.27 μg/cm2,是同期CK组的1.60倍。Belge等采用热激和CO2冲击处理成熟的桃果实,在0 ℃下贮藏2周后在20 ℃下贮藏5 d,发现热激组的蜡质含量和百分比都为最高。与图3不同的是,酸类比例不再占据领先优势,烷烃和萜类占比明显提高。分析图4中烷烃含量的变化,发现冷藏过程中除30~45 d的HT+CS组和第75 d的CK和CS组外,其他时间点的处理组之间差异不显著,表明表皮内蜡对蜜桔果实保水无作用。与外蜡萜类相反的是内蜡萜类含量随贮藏时间延长而逐渐升高,尤其到了冷藏第75 d,CS组和CK组含量达到最高的1.35和1.23 μg/cm2,分别是冷藏前的2.08倍和2.17倍,可能是冷藏后期为了合成更多的萜类成分以抵御微生物的侵染。针对表皮内蜡各组分的比例变化(图5),观察发现CK组、HT组及CS组3个处理组中的萜类比例存在相同的变化趋势,均为先增后减,而HT+CS组在酯类和萜类中占比分别为持续下降和持续上升。所有处理的酸类比例在冷藏中的趋势一致,为“上升-下降-上升”,所有处理的烷烃比例在冷藏前期也均存在先减后增的现象,表明贮藏期间果实角质层的成分代谢处于动态变化之中。

图 4 不同处理对‘南丰蜜桔’冷藏过程中表皮内蜡组分含量的影响
Figure 4. Effects of different treatments on the content of intracuticular wax components of 'Nanfeng' mandarins during cold storage

图 5 不同处理后‘南丰蜜桔’冷藏过程中表皮内蜡各组分比例
Figure 5. Proportion of intracuticular wax components of 'Nanfeng' mandarins from different treatments during cold storage
注:A:CK组;B:HT组;C:CS组;D:HT+CS组。
2.3 ‘南丰蜜桔’表皮角质组分及含量变化
表3列出了不同处理的表皮角质单体组成及含量变化。‘南丰蜜桔’果实角质单体共检出7种,分别为1,4苯二甲酸、十六烷酸、十八烷酸、辛酸、壬酸、α-亚麻酸、亚油酸。不同处理组检出的角质单体数量有所不同,CK组共检出4种,HT组和CS组共检出5种,而7种角质单体均能在HT+CS组检出。冷藏第45 d,CK组角质单体仅为十六烷酸,CS组和HT+CS组角质单体种类均减少到2种,冷藏结束时检出种类又增多;而HT组检出的种类在第45 d增多到4种,75 d时减少到2种。Riikka等发现浆果角质单体主要物质是含有官能团的C16和C18羟基酸。Marga等发现角质层的机械性能受C16单体含量的影响,其含量越高表皮韧性越强。随着冷藏时间的延长,各处理组的十六烷酸含量逐渐减少,因此‘南丰蜜桔’果实表皮也逐渐变软。十六烷酸是唯一在所有处理不同时间点都能检出的成分,发现冷藏15~45 d,CK组的含量较其他处理组更低,但冷藏结束时又有所回升,推测是由于逆境胁迫而合成了比其他处理更高的含量,以抵御采后病原菌的侵染。不同处理检出的表皮角质单体总量如图6所示。冷藏30~45 d,各处理之间存在显著差异(P<0.05)。冷藏期间HT组角质单体总量始终高于其他处理组,最高为冷藏开始的2.73 μg/cm2;而CK组则与之相反,在冷藏0~45 d从2.00 μg/cm2显著下降到0.38 μg/cm2(P<0.05),第75 d回升到0.50 μg/cm2。分析不同处理检出的角质单体的比例变化(图7),发现十六烷酸是冷藏45~75 d的主要角质单体,各处理中所占比例均超过50%。图6中,CK组因未做任何保鲜处理在冷藏过程中角质单体含量较其他处理组更少,而HT组、CS组和HT+CS组明显含量更高,尤其是HT组,表明热激可以抑制角质单体含量的下降,具有更优的保鲜优势。



图 6 不同处理对‘南丰蜜桔’冷藏过程中表皮角质单体总量的影响
Figure 6. Effects of different treatments on the total amount of epidermal cutin monomer of 'Nanfeng' mandarins during cold storage

图 7 不同处理后‘南丰蜜桔’冷藏过程中表皮角质单体组分比例
Figure 7. Proportion of epidermal cutin monomer of 'Nanfeng' mandarins from different treatments during cold storage
注:A:CK组;B:HT组;C:CS组;D:HT+CS组。
2.4 ‘南丰蜜桔’表皮角质层组分的聚类分析
采用Ward最小方差和欧式距离法对检出的角质层组分数据进行聚类分析,结果以热图形式显示在图8。图例表示红色越深值越大,物质含量就越高;而蓝色越深值越低,含量则越低。左边是样品的聚集区,上边是角质层成分的聚集区。左边分支和上边分支轴欧式距离越长,相关性就越弱。如红线所示样本可以大致分为三大类,为0 d、15~75 d以及CK组第75 d三个贮藏阶段。进一步细分为6类,同一类的样本之间存在较强的相关性。0 d样本进一步分为CK组和其他处理组,表明果实经不同处理后,在冷藏开始时就已经有了成分代谢的响应变化。分类Ⅲ都是15 d样品。而30 d和45 d的样本被归为Ⅳ类,说明该时期各处理之间差异较小,热图也由大面积红色转为临界色,含量明显下降。值得注意的是,HT+CS组第45 d和其他组75 d样本被分到了Ⅴ类,该类样本含量显著升高,说明HT+CS组后期合成角质层成分较其他组更快。而CK组的第75 d样品红色区域较多较深单独归为一类,和前期分析一致,可能是由于冷藏后期CK组以抵御微生物侵染而提前合成更多的角质层成分。表皮外蜡、内蜡和角质单体的聚集可分为3类。几乎所有的第一类物质都是内蜡组分,第二类物质也几乎是外蜡组分,第三类则几乎包括内蜡和绝大多数的角质单体组分,表明外蜡、内蜡以及角质成分之间存在聚类差异。随着冷藏时间的延长,Ⅰ类物质含量总体上呈现先下降后上升的趋势,与图4内蜡总量变化一致;II类物质颜色差异较小,冷藏前后含量变化不明显,也与图2外蜡总量无明显变化规律相吻合;最后一类物质贮藏前后期颜色变化显著,整体上物质含量随着贮藏时间延长而降低。

图 8 不同处理后‘南丰蜜桔’冷藏过程中角质层组分的热图和聚类分析
Figure 8. Heatmap and clustering of cuticle components of 'Nanfeng' mandarins from different treatments during cold storage
注:图例中字母表示不同处理组,数字表示不同冷藏天数;-E结尾为外蜡组分;-I为内蜡组分;-C为角质组分。
角质层对果实采后贮藏保鲜至关重要,本研究采用不同保鲜方式(热激、壳聚糖、热激联合壳聚糖)处理新鲜‘南丰蜜桔’,探究了其外蜡晶体结构和角质层成分代谢的变化规律。‘南丰蜜桔’外蜡晶体为不规则的血小板状,热激能使外蜡熔融重分布产生更光滑的表皮外观,外蜡晶体随着冷藏时间的延长而逐渐消失。GC-MS分析表明,外蜡一共检出38种成分,包括16种烷烃、14种酸、3种酯、3种萜和2种醇,内蜡共检出50种化学成分,包括19种烷烃、16种酸、8种酯、5种萜、2种醇。蜡质的主要成分均为烷烃、酸类、酯类和萜类,其中酸类含量最为丰富。不管是蜡质还是角质,十六烷酸都是最主要的组分。外蜡含量整体上无明显的变化规律,内蜡含量则随时间延长呈先减后增的变化趋势,冷藏45 d时3种保鲜方式均能有效延缓外蜡和内蜡含量的下降,其中热激处理的效果最为明显。角质单体主要检出1,4苯二甲酸、十六烷酸、十八烷酸、辛酸、壬酸、α-亚麻酸、亚油酸7种成分。角质单体含量随贮藏时间延长而下降,3种保鲜方式都能明显抑制其含量的降低,其中以热激处理的效果最为显著。综上所述,热激作为一种有效的保鲜方式,可通过改变柑桔果实外蜡晶体的结构,以及调控角质层的代谢变化来保持采后贮藏品质。这些结果对开发‘南丰蜜桔’的绿色保鲜方法提供了新视角。
引用本文:陈晟,葛帅,罗耀华,等. 不同采后处理对冷藏‘南丰蜜桔’角质层形态结构及化学组成的影响[J]. 食品工业科技,2022,43(22):365−378. doi: 10.13386/j.issn1002-0306.2022010054.
Citation:CHEN Sheng, GE Shuai, LUO Yaohua, et al. Effects of Different Postharvest Treatments on Cuticle Microstructure and Components of 'Nanfeng' Mandarins (Citrus reticulata Blanco cv. Kinokuni) During Cold Storage[J]. Science and Technology of Food Industry, 2022, 43(22): 365−378. (in Chinese with English abstract). doi: 10.13386/j.issn1002-0306.2022010054.
基金项目:湖南省长沙市杰出创新青年培养计划(KQ1905025);湖南省农业科技创新资金项目(2021CX05)。

丁胜华,研究员,博士生导师,湖南省农业科学院研究生院(湖南大学研究生院隆平分院)院长,第十届湖南省农业科学院学术委员会委员,湖南省食品科学技术学会常务理事兼青年工作委员会主任、湖南省科技人才托举工程中青年优秀专家。主要从事果蔬贮藏加工与品质调控等方面研究,近年主持国家自然科学基金(3项)、国家重点研发计划项目子课题(2项)等项目12项,以第一/通讯作者在Chemical Engineering Journal、Carbohydrate Polymers、Food Hydrocolloids等杂志发表SCI论文50余篇,EI论文20篇,申请/授权国家发明专利25件,以主要完成人获得国家科技进步二等奖1项,湖南省科技进步一等奖2项,浙江省科技进步二等奖1项。
点击文末“阅读原文”,获取论文全文;
或登录www.spgykj.com阅览全文。
群聊:食品工业科技作者群

我刊正式组建微信作者群,为作者提供更多的学术与论文资讯,如需进群,请联系刘老师(微信:上方二维码,电话:87244117-8062)。
《食品工业科技》具有以上论文在全世界范围内的复制权、发行权、翻译权、汇编权、广播权、表演权、信息网络传播权、转许可权及以上权利的邻接权,且作者已授权期刊同论文著作权保护期。如需转载,可联系《食品工业科技》编辑部010-87244116,或直接在文末撰写转载来源。