EI收录,
入选中国科技期刊卓越行动计划
信阳市农业科学院的陈志云,李杰,冯雨,任太钰,蔡一鸣,李俊玲,易宏岩,蒋双丰等人主要介绍了茶多酚的生物活性及其作用机制研究进展。茶多酚是绿茶中含量最多的一类活性物质,具有多种生物活性,如抗氧化、抗炎症、抗肿瘤、降血脂、降血糖以及抗病毒等。茶多酚主要产品研发已成为茶叶功能成分研究领域的热点。全世界已有超过360多种的含茶多酚类保健食品获得相关批准文号,它们多以胶囊、片剂、茶等形式呈现。然而,我国的茶多酚终端产品仍存在品类单一、产品附加值不高等问题,尤其是在茶多酚功能化利用研发方面,与欧美日发达国家相比仍存在一定差距。因此,本文综述了茶多酚生物活性研究进展,旨在为我国茶多酚类产品研发及功能化应用提供借鉴。
本章节重点介绍了茶多酚的生物活性及其作用机制。茶多酚是一类天然的抗氧化物质,具有多种生物活性,如抗氧化、抗癌、降血脂、调节血糖、抑菌、抗辐射等。其主要作用机制是通过调节多种酶蛋白及信号通路中的靶蛋白表达来发挥其生物活性。例如,茶多酚可以通过上调SOD、GSH-Px、核转录因子2(Nrf2)等蛋白表达,同时下调肿瘤坏死因子(TNF)、肌酸激酶同工酶等酶蛋白表达,进而增强鸡心肌细胞的抗氧化能力,以缓解氧化应激造成的损伤。此外,茶多酚还可以通过调节细胞周期、细胞信号转导、血管生成等方面抑制肿瘤细胞生长并诱导其凋亡。在癌细胞增殖、迁移方面,茶多酚通过下调P65磷酸化,抑制肿瘤血管生成,进而抑制肿瘤生长。茶多酚在动物实验中具有显著的抗肿瘤、抗衰老、降血脂等生物活性,具有广泛的应用前景。
图 1 茶多酚主要产品研发
Figure 1. Research and development of main products of tea polyphenols
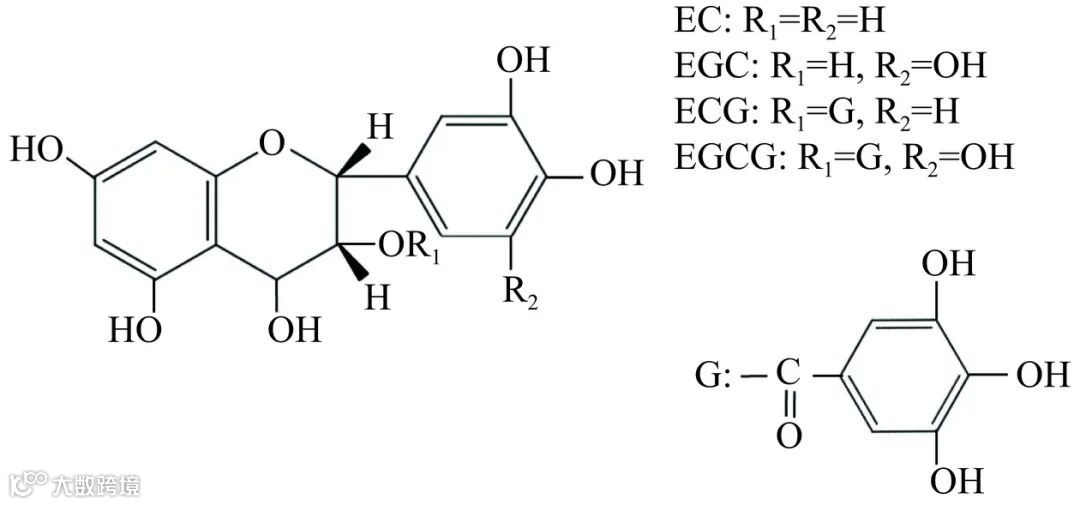
图 2 四种主要儿茶素类化合物分子结构式
Figure 2. Molecular structure formula of four main catechins
图 3 茶多酚生物活性主要作用机制相关信号通路图
Figure 3. Signal pathways related to the main mechanisms of biological activity of tea polyphenols
表 1 茶多酚主要化学成分组成
Table 1 Main chemical composition of tea polyphenols
引用本文:陈志云,李杰,冯雨,等. 茶多酚生物活性及作用机制研究进展[J]. 食品工业科技,2024,45(13):333−341. doi: 10.13386/j.issn1002-0306.2023070168.
Citation: CHEN Zhiyun, LI Jie, FENG Yu, et al. Research Progress on Bioactivity and Mechanism of Tea Polyphenols[J]. Science and Technology of Food Industry, 2024, 45(13): 333−341. (in Chinese with English abstract). doi: 10.13386/j.issn1002-0306.2023070168.
基金项目:“十四五”国家重点研发项目课题(2021YFD1601103);国家茶叶产业技术体系“信阳综合试验站”(CARS-19);河南省“四优四化”科技支撑行动计划优质茶叶专项(20220701001)。
通信作者简介
蒋双丰,女,1982年10月出生,中共党员,信阳市农业科学院副研究员、茶叶研究所副所长。主持或参与省、市级科研项目10余项,获省、市科技进步一等二等奖13余项,参与制定茶叶行业标准4项,发表学术论文20余篇,编著论著2部,获实用新型发明专利4项,被表彰为第十届“信阳市优秀青年科技专家”,为全面提升信阳茶叶品质,促进信阳毛尖产业发展,助推乡村振兴作出了积极贡献。
(以上信息来自网络)
本文内容由《食品工业科技》官网www.spgykj.com AI自动生成,欢迎点击阅读原文,获取原文进一步深读。
荟聚食品英才,
共创美好未来
各位专家学者:
为推动食品科学领域的知识经验交流,促进食品产业的创新发展,2025第三届食品科学家论坛及产学研交流大会、2025宁夏食品科学论坛暨《食品工业科技》与 Food Innovation and Advances 编委会会议将于2025年8月4-6日在银川召开。本次论坛将以“荟聚食品英才,共创美好未来”为主题,旨在为食品科学家提供交流平台,加强技术交流和创新能力融合。
本届论坛拟邀请食品科学领域研究机构的多位专家学者,围绕基础研究领域的前沿进展、产业发展最新动态,展开深入的学术交流与探讨。同时,我们将就未来的合作和交流平台建设进行对话,总结经验、传播知识、思考未来,共同推动食品科技创新和可持续发展。
食品科学家是推动食品学科发展、产业进步的中坚力量,而青年科学家是重要力量。本次论坛诚挚邀请国内外各大院校、科研院所、食品企业等专家共同参与,期待食品科学家、青年科学家、博士研究生、硕士研究生积极提交研究成果,分享研究心得,共同推动食品学科的发展。本届论坛不仅为国内外食品学科领域的交流与合作提供了平台,也将为食品期刊、食品饮料企业、仪器商提供展览、展示。Food Junction:2025第三届食品科学家论坛及产学研交流大会期待与您相约“塞上江南”——银川。
点击链接进行注册:2025第三届食品科学家论坛及产学研交流大会、2025宁夏食品科学论坛暨食品工业科技与FIA编委会会议——回执表.docx
食品科学家论文汇总
(点击专家姓名,查看论文)

《食品工业科技》特邀主编专栏征稿
《食品工业科技》客座主编专栏征稿:地方特色食品:加工技术、感官品质、风味特性和营养健康☚
《食品工业科技》特邀主编专栏征稿:“十四五”国家重点研发计划“陕西秦巴山区特色经济作物、果蔬产业关键技术集成与示范”☚
《食品工业科技》特邀主编专栏征稿:果蔬基料制造:基础理论,新型加工、质量控制与智能制造☚
群聊:食品工业科技作者群
温
馨
提
示
我刊正式组建微信作者群,为作者提供更多的学术与论文资讯,如需进群,请联系刘老师(微信:上方二维码,电话:87244117-8062)。
版权声明

