EI收录,
入选中国科技期刊卓越行动计划
摘要
小麦蛋白聚集与解聚行为是面制品加工过程中非常重要的现象,其通过分子内或分子间共价键和非共价键的变化改变蛋白质分子的空间结构,影响面筋网络结构的稳定性,进而影响面团的流变学特性和面条品质。本文首先介绍了小麦蛋白聚集与解聚行为的表征方式,包括二硫键、双酪氨酸键等共价键以及氢键、疏水键和离子键等非共价键。然后概述了影响小麦蛋白聚集和解聚行为的主要因素,包括麦谷蛋白亚基组成、淀粉、非淀粉多糖和脂质等小麦内源组分以及盐、碱、有机酸、酶制剂、非酶蛋白质和膳食纤维等外源添加剂。最后总结了小麦蛋白聚集与解聚行为对面团流变学特性和面条品质的影响:当蛋白质聚集行为增强时,所形成的面筋网络结构更加紧密,面团的弹性、持水性和内聚性越好,面条的蒸煮损失、断条率和餐后血糖生成指数(GI)降低,弹性、硬度和拉伸性能升高,但其吸水率降低、最佳蒸煮时间增加;当小麦蛋白发生解聚则会导致面筋网络结构连续性差、分布不均,得到的面团表面粘性变大,弹性和持水性降低,进而使其机械操作性能变差,所得面条的蒸煮品质和感官品质也会降低。本文旨在加深对小麦蛋白聚集与解聚行为的认识,为面团与面条的研究与加工中的品质调控提供理论参考。
小麦作为世界上种植最广泛的粮食作物之一,其加工制得的小麦粉可用于馒头、面包、面条、饼干等面制品生产。其中,面条具有制作工艺简单、食用方便、易运输和储存等优点,是我国主要的传统面制品主食之一,其工业化生产约消化我国小麦年产量的40%。蛋白质和淀粉是小麦粉的主要组分,其中,淀粉含量约占小麦粉的60%~70%,蛋白质含量约占9%~15%;与淀粉相比,蛋白质的含量较低,但其组成和结构对面团流变学特性和面条品质具有重要作用。国内外学者对小麦蛋白的含量、组成和结构对面条品质的影响进行了大量研究,结果发现,适当提高小麦粉中蛋白质的含量可以增强面团的弹性和内聚性,同时改善面条的弹性、延展性和爽滑性。其中,面筋蛋白是影响面团和面条品质的关键因素,醇溶蛋白与麦谷蛋白的结构以及不溶于十二烷基硫酸钠(SDS)溶液的蛋白质大聚体含量对面筋网络结构的黏弹性、面团的流变学特性以及面条质地均具有显著影响。而蛋白质的聚集与解聚行为是影响SDS不溶性蛋白质大聚体含量和性质的关键因素。因此,了解小麦蛋白聚集与解聚行为对调控面团和面条品质至关重要。
面条的制作过程中所发生的蛋白质的聚集与解聚行为,主要涉及分子内或分子间共价键与非共价键的变化,导致蛋白质的空间构象发生改变,从而影响面团与面条的最终品质。本文首先介绍了小麦蛋白聚集与解聚行为的表征方式,然后分析了小麦内源组分和常见外源添加剂对小麦蛋白聚集与解聚行为的影响机理,最后总结了蛋白质聚集与解聚行为对面团和面条品质的影响。
结果与分析
1. 蛋白质聚集与解聚行为的表征方式
根据Osborne分类法,小麦蛋白质分为清蛋白、球蛋白、醇溶蛋白和麦谷蛋白。清蛋白和球蛋白属于非面筋蛋白,不具有亚基结构;醇溶蛋白和麦谷蛋白则属于面筋蛋白,表现出复杂的亚基组成结构,其中醇溶蛋白包括α/β-、γ-和ω-型亚基,而麦谷蛋白由高分子量麦谷蛋白亚基(HMW-GS)和低分子量麦谷蛋白亚基(LMW-GS)组成。各蛋白质组分分子量分布、氨基酸组成、化学键类型等结构特征详见表1。
表 1 小麦蛋白组分及结构特征
Table 1. Protein components and their structural characteristics in wheat kernels
1.1 共价键
1.1.1 二硫键
小麦蛋白质中的二硫键(S-S)是由多肽链上的半胱氨酸残基之间连接形成的典型的共价交联。二硫键的生成和断裂主要是通过游离巯基氧化还原反应和巯基-二硫基交换反应来实现,是调控麦谷蛋白聚集与解聚行为最重要的作用力。
如图所示,LMW-GS的6个半胱氨酸残基通过氧化反应可以形成3个链内二硫键,其余2个半胱氨酸残基由于空间位阻效应只能与醇溶蛋白、HMW-GS或其他LMW-GS的半胱氨酸残基形成链间二硫键,从而强化面筋蛋白质的聚集行为。与LMW-GS不同,x-型HMW-GS的N端和C端各有1个半胱氨酸残基以“头尾交联”形成链间S-S键, 引发x-型HMW-GS自聚集行为。同时,x-型HMW-GS自聚体的N、C端还可分别与y-型HMW-GS的N端与保守区域形成链间S-S键,共同诱导麦谷蛋白大聚体(GMP)的形成。因此,GMP含量及其粒径的变化可以直接表征蛋白质的聚集与解聚行为。
图 1 麦谷蛋白亚基结构中二硫键的形成示意图
Figure 1. Schematic formation of disulfide bonds in wheat glutenin subunit structures
大量研究表明,当蛋白质中二硫键含量增加时,游离巯基的含量降低,麦谷蛋白大聚体(GMP)的含量增加,说明麦谷蛋白的聚集行为增强。此外,在高温条件下,缺乏游离巯基的α/β-和γ-醇溶蛋白也可通过巯基-二硫基交换反应与麦谷蛋白以二硫键交联,形成不溶于SDS溶液的蛋白质大聚体。然而,在还原剂如β-巯基乙醇或二硫苏糖醇(DTT)的作用下,蛋白质大聚体中的二硫键会发生断裂导致蛋白质聚集体解聚。因此,也可以利用还原剂打断二硫键的原理测定二硫键的含量,进而表征蛋白质的聚集与解聚行为变化。
1.1.2 双酪氨酸键
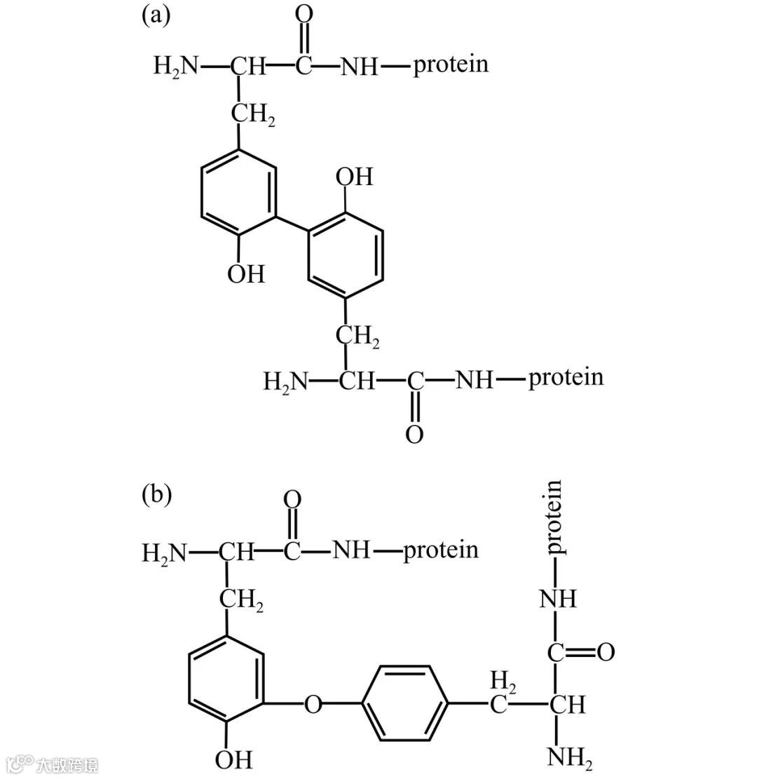
2001 年,Tilley等首次报道了麦谷蛋白通过酪氨酸C-C键或C-O-C键进行非二硫键交联聚集的现象(图2)。Hanft等和Rodriguez-mateos等的研究进一步证实了这一现象并指出,尽管只有0.1%的麦谷蛋白酪氨酸残基参与C-C键和C-O-C键交联,但其稳定性优于二硫键交联。课题组的研究也发现,小麦蛋白质在面团体系中以酪氨酸 C-C 键形式交联聚集,导致GMP含量增加、SDS可提取的麦谷蛋白含量减少;还发现了高浓度Na2CO3(≥500 mmol/L)诱导的球蛋白分子间酪氨酸C-C键交联聚集现象。此外,Takasaki等和Fan等对小麦面筋蛋白共价交联聚集进行修饰,发现以酪氨酸C-C键交联的聚集体每增加12%,SDS可溶性面筋蛋白含量降低24%,SDS不溶性蛋白聚集体分子量增加3~5倍。
图 2 麦谷蛋白亚基结构中二酪氨酸(a)和异二酪氨酸(b)交联示意图
Figure 2. Schematic dityrosine (a) and isodityrosine (b) crosslinks in wheat glutenin subunit structures
与二硫键交联相似,双酪氨酸键介导的小麦蛋白质交联聚集主要发生在不同麦谷蛋白肽链之间(图2),从而促进GMP的形成。因此,GMP含量及其粒径的变化可以直接表征小麦蛋白质的聚集与解聚行为,而经盐酸和苯酚水解产生的二酪氨酸和异二酪氨酸含量的变化可以间接反映小麦蛋白质的聚集与解聚行为。研究表明,当小麦粉酸水解产物中二酪氨酸和异二酪氨酸的含量增加时,蛋白质以双酪氨酸键形式的聚集行为增强,不溶于SDS溶液且不能被还原的蛋白质大聚体含量升高。不过多数研究者依然认为,相比于二硫键,双酪氨酸键在蛋白质聚集行为中并不占据主导地位。
1.2 非共价键
二硫键在小麦蛋白质聚集与解聚行为中起主导作用,但非共价键也可通过优化蛋白质空间构象、调整氨基酸残基微环境及消除空间位阻效应等作用显著影响蛋白质的聚集与解聚行为。蛋白质分子间的非共价键主要包括氢键、疏水键和离子键(如图3所示),其作用力强弱也可以间接反映蛋白质聚集与解聚行为的变化。
图 3 蛋白质分子间非共价作用模型
Figure 3. Proposed model of non-covalent interactions between protein molecules
1.2.1 氢键
氢键的形成源于电负性大的原子与氢原子之间的相互作用,是蛋白质分子折叠和维持蛋白质二级结构主要作用力,其形成和断裂直接影响蛋白质分子的空间构象以及巯基基团的空间位置,从而影响蛋白质的聚集与解聚行为。傅里叶变换红外光谱(FT-IR)和拉曼光谱可以用于检测氢键的强度变化。研究表明,FT-IR中1610~1640 cm−1处的吸收峰可以作为蛋白质β-折叠结构的特征峰,其吸光值越高,β-折叠结构的占比越高,氢键作用越强,说明蛋白质聚集行为增强。拉曼光谱在854 cm−1和830 cm−1处的比值(I854/I830)可以表征酪氨酸残基参与氢键形成的情况,当I854/I830的值在0.7~0.9范围表明酪氨酸残基主要参与分子内氢键的形成,蛋白质的自聚集行为增强;当I854/I830升至0.9~2.5时,则表明酪氨酸残基主要参与分子间氢键的形成,促进蛋白质分子间的聚集行为发生。因此,蛋白质二级结构中β-折叠结构的占比以及I854/I830值能够间接表征小麦蛋白质聚集与解聚行为的发生与否。
1.2.2 疏水键
疏水键指蛋白质中的疏水基团和非极性侧链在水环境中相互作用形成的键,是驱动蛋白质分子空间折叠的主要作用力。疏水键的强弱取决于蛋白质分子中的疏水基团和非极性侧链,而在一般情况下,蛋白质表面的疏水基团决定了蛋白表面疏水性,因此,通常采用8-苯胺-1-萘磺酸(ANS)荧光探针法和溴酚蓝法测定蛋白表面疏水性来表征疏水键的强弱及蛋白质聚集与解聚行为的变化。
当蛋白表面疏水性较低时,说明更多的疏水基团被包裹在蛋白质分子内部,促进分子内疏水键的形成,增强蛋白质分子的自聚集行为。而当蛋白质发生解聚行为时,疏水基团暴露,蛋白表面疏水性增强。但也有研究者认为,当蛋白质分子表面暴露的疏水基团或非极性侧链数量达到一定程度后又会因避开水而相互连接在一起,形成分子间疏水键,从而促进蛋白质分子间的聚集。因为HMW-GS富含疏水末端结构,疏水键在调控麦谷蛋白聚集与解聚行为中的作用也受到越来越多的关注。有研究发现,对于基因型为1Dx5-N的HMW-GS的聚集,疏水键的作用甚至超过了二硫键。
1.2.3 离子键
离子键是蛋白质分子中的阴、阳离子通过静电作用形成的化学键,离子键作用力显著低于氢键和疏水键,但对蛋白质的聚集与解聚行为仍有影响。小麦醇溶蛋白的等电点为7.8,麦谷蛋白的等电点为5.8,因此,不同pH下醇溶蛋白和麦谷蛋白的电荷状态变化直接影响其聚集与解聚行为。在pH5.8的状态下,部分醇溶蛋白可通过静电作用插入麦谷蛋白的骨架结构,与麦谷蛋白聚集;而在pH4.8的状态下,醇溶蛋白和麦谷蛋白均带正电荷,二者之间产生静电斥力,导致蛋白质肽链的伸展,蛋白质发生解聚。申慧珊的研究也认为,离子键的减少会诱发蛋白质大聚体的解聚,导致SDS可溶性蛋白含量增加。因此,可以通过Zeta电位分析蛋白质表面电荷或者测定小麦蛋白在0.05 mol/L和0.6 mol/L的氯化钠溶液中的溶解度差异来表征离子键的数量,进而判断其对小麦蛋白质聚集与解聚行为的影响。
2. 影响小麦蛋白质聚集与解聚行为的主要因素
2.1 小麦内源组分的影响
2.1.1 麦谷蛋白亚基组成的影响
小麦籽粒中麦谷蛋白的聚集与解聚行为主要受HMW-GS组成的控制。HMW-GS中单个Ax1或Dx2亚基的缺失会抑制分子间二硫键的形成,从而阻碍麦谷蛋白在籽粒发育过程中的聚集,导致成熟籽粒中GMP含量降低。研究发现,在HMW-GS的Glu-1位点上检测出的亚基组合类型中,1、7+8、5+10、17+18亚基的蛋白质含量和GMP含量高于其他亚基类型,说明这些亚基组合更能促进麦谷蛋白的聚集。此外,位于HMW-GS N端的1Dx5亚基主要通过二硫键和疏水键促进蛋白质聚集,当1Dx5的含量升高时,SDS可溶性蛋白含量降低,GMP的含量增加。
2.1.2 小麦淀粉含量的影响
淀粉是小麦籽粒的主要组分,根据其粒径和形状的不同可分为大颗粒的A型淀粉和小颗粒的B型淀粉。有研究发现,随着B淀粉含量的增加,麦谷蛋白中游离巯基含量先降低后升高,GMP含量先升高后降低[。这是因为适量的B淀粉与麦谷蛋白发生了氢键相互作用,优化了麦谷蛋白分子的空间构象,拉近了原本位置较远的游离巯基,从而促进二硫键的形成,增强了蛋白质的聚集行为。然而,Zhang等和Delcour等发现,当A淀粉含量增加时,二硫键含量显著降低、游离巯基含量显著升高,GMP含量降低。这可能是因为A淀粉颗粒较大,其含量增加时,小麦蛋白组分被稀释,直接阻碍了蛋白质分子间的接触,从而抑制蛋白质分子间二硫键的形成和蛋白质的聚集,甚至使二硫键断裂,导致面筋蛋白发生解聚,GMP含量降低。
2.1.3 小麦非淀粉多糖的影响
小麦非淀粉多糖主要是阿拉伯木聚糖(AX),根据其在水中溶解度的不同,分为水溶性阿拉伯木聚糖(WEAX)和水不溶性阿拉伯木聚糖(WUAX)。有研究表明,WEAX可以诱导小麦蛋白中的游离巯基氧化形成二硫键,促进面筋蛋白交联聚集;但过量的WEAX会与面筋蛋白竞争水分,阻碍氢键的形成,从而抑制蛋白质的聚集行为。与WEAX不同,WUAX以离散的细胞壁碎片形式存在,是蛋白质分子间的物理屏障,通过空间位阻作用干扰小麦蛋白质的聚集。
2.1.4 内源脂质种类的影响
小麦脂类虽然含量较低,但其种类多、结构复杂,能与蛋白质和淀粉以非共价键形式发生相互作用,形成脂质-蛋白质、脂质-淀粉-蛋白质大聚体。Zhang等研究发现,向脱脂面粉中添加小麦粉中性脂质会增加面团中SDS可溶性蛋白的含量,而分别添加半乳糖脂、淀粉脂质和磷脂所形成的面团中SDS可溶性蛋白含量减少。这是因为中性脂质的游离脂肪酸更容易与直链淀粉相互作用形成直链淀粉-脂质复合物,从而损害淀粉颗粒进入的面筋网络的能力,在一定程度上破坏了面筋网络结构,导致小麦面筋蛋白解聚,SDS可溶性蛋白质的含量增加。而半乳糖脂、淀粉脂和磷脂均优先与面筋蛋白相互作用,诱导共价键连接的蛋白质大聚体形成,SDS可溶性蛋白减少。也有学者认为,小麦脂质氧化产生的过氧化物会促进蛋白质分子中的游离巯基氧化为二硫键,促进蛋白质的聚集。
2.2 常见外源添加剂的影响
小麦面制食品加工中常见的添加剂有食用盐、食用碱、抗坏血酸、柠檬酸、生物酶、外源蛋白质和膳食纤维等。这些外源添加剂会改变小麦组分间的相互作用以及蛋白质分子的空间构象,从而影响小麦蛋白质的聚集与解聚行为,具体作用模式及影响详见表2。
表 2 外源添加剂对小麦蛋白聚集与解聚行为的影响
Table 2. Effect of exogenous additives on the aggregation and depolymerization behavior of wheat protein
2.2.1 食用盐和食用碱的影响
NaCl和Na2CO3是小麦面条最常用的添加剂。大量研究表明,在添加量≤3%时, NaCl和 Na2CO3均可促进蛋白质的聚集行为。其中,NaCl可屏蔽蛋白质表面电荷,降低蛋白质分子间的静电斥力,有利于氢键的形成,从而促进小麦蛋白质的聚集行为。Na2CO3则是通过促进蛋白质二级结构中的无规则卷曲和β-转角向β-折叠转变,提高β-折叠结构的占比,同样利于氢键的形成,促进小麦蛋白质的聚集。但也有研究者认为,在高热环境下,高浓度Na2CO能通过诱导小麦蛋白质分子间通过β消除反应形成不可还原的脱氢丙氨酸交联,促进蛋白质的非二硫键聚集行为。
2.2.2 酸性添加剂的影响
抗坏血酸、乳酸、柠檬酸和苹果酸是发酵面制品中常见的酸性添加剂。在有氧条件下,抗坏血酸的氧化产物脱氢抗坏血酸能够将小麦蛋白质分子中的游离巯基氧化为二硫键,促进蛋白质的共价聚集;而添加适量的乳酸则可以促进巯基-二硫键交换反应,并且导致部分蛋白质发生变性,暴露出较多的色氨酸残基,增强蛋白质分子间的疏水相互作用,从而促进小麦蛋白质的聚集行为。然而,添加柠檬酸和苹果酸后,小麦蛋白组分的二硫键含量降低,这是因为柠檬酸和苹果酸添的酸性较强,降低了面制品体系的pH,增强了醇溶蛋白与麦谷蛋白分子间的静电斥力,引起醇溶蛋白-麦谷蛋白大聚体发生解聚,SDS可溶性蛋白含量升高。
2.2.3 生物酶制剂的影响
葡萄糖氧化酶、转谷氨酰胺酶、淀粉酶和木聚糖酶是面制品加工中的常见添加剂。其中,葡萄糖氧化酶参与的酶促反应释放的过氧化氢会促进半胱氨酸残基的巯基氧化形成二硫键,增强蛋白质分子间的聚集行为。转谷氨酰胺酶则催化谷氨酰胺的γ-羧酰胺基团与赖氨酸的ε-氨基之间的酰基转移反应,促进两个多肽链之间赖氨酸异肽键的形成,增强了蛋白质分子间非二硫键的共价聚集行为。与二者不同,淀粉酶和木聚糖酶则会诱导小麦蛋白质发生解聚行为。淀粉酶能够水解淀粉分子中糖苷键,产生较多的破损淀粉,破损淀粉与小麦蛋白质竞争水分,从而抑制蛋白质分子间氢键和疏水键的形成,导致蛋白质发生解聚。而木聚糖酶会诱导蛋白质聚合物结构发生重排,形成更简单的构象,从而导致蛋白质大聚体发生解聚。
2.2.4 非酶外源蛋白质的影响
蛋清蛋白、乳清蛋白和大豆蛋白常作为营养强化剂用于小麦制品加工中,以弥补小麦蛋白赖氨酸含量不足的缺陷。研究发现,蛋清蛋白与小麦蛋白产生二硫键交联的同时优化了小麦蛋白分子的空间构象和酪氨酸残基的微环境,促进了小麦蛋白质分子间氢键的形成,从而促进小麦蛋白质的聚集行为,不溶于SDS溶液的蛋白质大聚体含量增加。而添加乳清蛋白会干扰小麦蛋白分子间巯基-二硫键的交换反应,还会与小麦蛋白质竞争水分子抑制氢键和疏水键的形成,进一步阻碍小麦蛋白质聚集行为,导致蛋白质大聚体含量降低。同样,大豆蛋白的巯基不参与小麦蛋白质分子间二硫键的形成,反而会干扰麦谷蛋白分子间巯基-二硫键的互换体系,并阻碍醇溶蛋白与麦谷蛋白分子间的氢键相互作用,导致GMP发生解聚,降低了GMP的含量和分子量,SDS可溶性蛋白含量增多。
3. 小麦蛋白质聚集与解聚行为对面团流变学特性的影响
面团是小麦转化为面制食品的中间产物,其流变学特性是面团加工品质的关键。小麦蛋白质的聚集与解聚行为可直接影响面筋蛋白的结构,从而影响面筋网络结构和面团的流变学特性。因此,了解小麦蛋白质聚集与解聚行为对面团流变学特性的影响对于生产高品质面团和控制终端产品质量至关重要。
面团流变学特性是评估小麦籽粒及面粉品质的重要指标,一般分为经验流变学和基础流变学。其中,经验流变学特性通常用吸水率、形成时间、稳定时间和拉伸阻力等参数进行评价。面团的经验流变学特性与面筋网络结构的稳固性密切相关,而面筋网络结构的稳固性与蛋白质的聚集程度呈显著正相关。大量研究表明,蛋白质聚集行为增强可显著提高面团的稳定时间和拉伸阻力。GMP是面筋网络结构的重要组成部分,主要通过巯基-二硫键交换反应或非共价键与其他蛋白质结合,在面团中起到了骨架和桥梁的作用,其含量和构象变化直接影响面团的流变学特性。当蛋白质聚集行为增强时,GMP结合的蛋白质组分增多,形成的面筋网络结构更加稳固,从而显著提高面团的形成时间、稳定时间和拉伸阻力。而面团的弱化度与形成时间、稳定时间和拉伸阻力呈显著负相关,因此,蛋白质聚集行为增强会降低面团的弱化度。此外,由于GMP 具有较强的疏水性,蛋白质聚集行为增强会降低面团的吸水率。
面团的基础流变学特性通常用动态振荡扫描试验中的储能模量(G')、损耗模量(G'')及损耗角正切值(tanδ)等参数进行评价,其中,G'反映面团的弹性,G''反映面团的黏性,tanδ是G''和G'的比值,可以反映面团黏弹性的变化,tanδ值越大,表明面团的黏性比例越高,流动性更强;反之,tanδ值越小则表明面团的弹性更大,流动性较差。研究发现,面团的弹性与其面筋网络结构中的交联点数量呈高度正相关。当蛋白质分子间的聚集行为增强时,面筋蛋白的交联点数量增加,蛋白质大聚体的含量和分子量也随之提升,面筋网络结构更加紧密(图4a),面团的弹性更好,tanδ值降低。相反,当蛋白质大聚体发生解聚时,面筋网络结构的连续性被破坏(图4b),导致面团的持水能力下降,面团变得更加黏稠且弹性减弱,tanδ值升高。
图 4 面团体系中蛋白质聚集与解聚行为变化
Figure 4. Changes in protein aggregation and disaggregation behavior in dough system
注:(a)蛋白质聚集增强;(b)蛋白质聚集体解聚。
4. 小麦蛋白聚集与解聚行为对面条品质的影响
4.1 对面条蒸煮品质的影响
面条的蒸煮品质通常用吸水率、蒸煮损失率、最佳蒸煮时间和断条率等指标来衡量。面条的吸水率、蒸煮损失率和断条率与蛋白质的聚集程度呈负相关,与蛋白质的解聚行为呈正相关。当小麦蛋白质分子间聚集行为增强时,面筋蛋白质网络结构更为紧密,对淀粉和蛋白质等物质的包裹作用力就越强,使其难以渗出;同时,水分子也不易渗透进去,进而导致面条吸水率、蒸煮损失率和断条率显著降低。然而,蛋白质组分的聚集程度增高会延长面条的最佳蒸煮时间,这是因为煮制过程中水分难以渗透,降低了传热传质速率。
4.2 对面条质地品质的影响
面条的黏附性、弹性、硬度和咀嚼性是评价面条质地品质最常用的指标。当蛋白质聚集行为增强,形成的面筋网络结构更加紧密,连续性更好,对淀粉和蛋白质等固形物的包裹越紧致,熟制面条的硬度和咀嚼性就越高;而蛋白质发生解聚会导致面条质地变得松散,面条的硬度降低但弹性会升高。黏附性主要与从面条基质中析出到面汤并附着在面条表面的淀粉颗粒量有关,蛋白质聚集程度越强,面筋网络结构越紧密,淀粉越不易析出,面条的黏附性降低,口感更为爽滑。此外,有研究表明,蒸煮后的面条中游离巯基含量显著降低,而二硫键含量显著升高,说明蒸煮增强了面筋蛋白的共价聚集行为,从而提升了面条的硬度和咀嚼性。
4.3 对面条感官品质的影响
面条的感官品质主要包括色泽、表面光滑度、硬度和粘弹性等指标。当蛋白质的聚集行为增强时,形成的蛋白质-淀粉网络结构更加紧密,面条在蒸煮过程中的溶出物减少,熟制面条的表面整洁光滑、口感爽滑不黏牙。研究发现,蛋白质含量和GMP含量与面条的色泽呈显著负相关,这可能是因为蛋白质聚集行为增强使得面条表面结构更加紧致,减少面条表面的光反射,从而使得面条色泽变暗。因此,可以通过调节蛋白质的聚集与解聚行为来提升面条的硬度、弹性、黏附性及色泽等品质的稳定性。
4.4 对面条消化特性的影响
精制小麦粉面条的碳水含量较高,长期大量的摄入会增加人体患糖尿病的风险。研究表明,添加燕麦粉可以促进小麦蛋白质结构由无规则卷曲向α-螺旋结构转变,增强小麦蛋白质分子间的氢键作用,促进了蛋白质的聚集行为,从而增强蛋白质对淀粉的包裹作用,抑制淀粉的消化速率,降低面条的GI值。此外,在蒸煮过程中蛋白质会发生解聚与重排,形成蛋白质-淀粉、蛋白质-淀粉-脂质等大分子复合物,这些复合物相互聚集形成更加紧密的面筋蛋白网络,从而促进V型抗性淀粉的形成,对面条的消化率具有显著抑制作用。由此可见,通过调控蛋白质聚集与解聚行为不仅能提升面条的食用品质,还能有效改善面条的消化特性,降低其GI值,这将是未来开发低GI值和高抗消化性面条的研究热点。
小麦蛋白质聚集与解聚行为可用不溶于2.0% SDS溶液的蛋白质大聚体含量及分子量表征,主要涉及二硫键、双酪氨酸键等共价键和氢键、疏水键、离子键等非共价键的形成与断裂。其中分子内二硫键在维持蛋白结构的完整性和稳定性方面起重要作用,分子间二硫键和双酪氨酸键则协同分子内二硫键诱导蛋白质形成共价交联。氢键和疏水相互作用是蛋白质折叠的主要驱动力,而离子键的作用力较弱,协同氢键和疏水键共同维持蛋白质分子的空间构象,并与共价键共同促进蛋白质聚集。因此,二硫键含量、二/异二酪氨酸含量、氢键、疏水键以及离子键的变化均可用作表征蛋白聚集与解聚行为的指标。小麦蛋白质聚集与解聚行为受小麦内源组分和外源添加剂的影响,进而影响面团流变学特性和面条品质。当小麦内源组分或外源添加剂诱使蛋白质分子间相互作用增强,生成更多蛋白质大聚体时,面筋网络结构更为紧密,面团的弹性、持水能力、形成时间和稳定性均提升,黏性降低;在面条品质上,蒸煮损失降低,硬度和弹性改善,GI值降低,但也导致面条色泽变暗、吸水率降低及最佳蒸煮时间延长。反之,蛋白解聚行为强化则破坏面筋网络的连续性和稳定性,最终对面团和面条品质产生不利影响。因此通过蛋白质交联、酶改性等技术,调控蛋白质聚集与解聚行为,提升面条食用品质,改善面条的消化特性,将是未来的研究重点。
当前研究已表明,非共价键在维持蛋白质空间构象及其聚集体解聚方面起主导作用,但尚不明确是非共价键中的哪一种起最主要的作用。此外,淀粉在小麦粉中的占比超过70%,对面团的面筋网络、表面粘性以及面条的蒸煮、质构、感官和消化品质均有显著影响。然而,关于小麦蛋白质聚集与解聚行为如何介导淀粉的糊化、凝胶化等理化性质,以及如何影响淀粉的结晶度、螺旋结构、短程有序结构和片层结构等多尺度结构,目前尚未有系统报道。
Citation: YU Xiangke, LIU Yuanxiao, WANG Jianli, et al. Wheat Protein Aggregation and Disaggregation Behaviors and Their Effects on Dough Rheological Properties and Noodle Qualities[J]. Science and Technology of Food Industry, 2025, 46(13): 431−440. (in Chinese with English abstract). doi: 10.13386/j.issn1002-0306.2024070281.
基金项目:“十四五”国家重点研发计划项目(2021YFD2100903);河南小麦产业技术体系构建项目(HARS-22-01-G7);河南工业大学省部级科研平台开放课题(GO202302)。
通信作者简介
关二旗,男,博士,教授,博/硕士生导师,现任粮油食品学院副院长。全国粮油优秀科技工作者、河南省高校青年骨干教师、河南省教育厅学术技术带头人、河南省高校科技管理工作先进工作者、河南省现代农业(小麦)产业技术体系加工贮藏岗位科学家,兼任河南省粮食加工产业技术创新中心副主任/专家委员会委员、郑州市小麦深加工与质量控制重点实验室主任、中原食品实验室谷物食品加工岗位科学家。2020年起担任联合国工业发展组织全球创新网络项目专家委员会委员、全球科技创新联盟生态原产地产业工作委员会委员。
近年来,先后主持完成国家重点研发计划项目任务3项、国家自然科学基金项目1项、国家粮油标准制修订项目1项、河南省科技攻关项目1项、农业部农产品加工重点实验室开放课题1项,企业横向科研项目2项,参与完成包括国家自然科学基金(联合基金重点项目)1项、国家重点研发计划项目课题1项、河南省重大科技专项1项等国家级/省部级科研项目12项,企业横向科研项目13项,发表学术论文130余篇,出版著作5部,申请国家发明专利25项(已授权9项),获得科技成果鉴定评价8项(国际领先水平6项)。
(以上信息来自河南工业大学粮油食品学院官网)
或登录www.spgykj.com阅览全文。
各位专家学者:
为推动食品科学领域的知识经验交流,促进食品产业的创新发展,2025第三届食品科学家论坛及产学研交流大会、2025宁夏食品科学论坛暨《食品工业科技》与 Food Innovation and Advances 编委会会议将于2025年8月4-6日在银川召开。本次论坛将以“荟聚食品英才,共创美好未来”为主题,旨在为食品科学家提供交流平台,加强技术交流和创新能力融合。
本届论坛拟邀请食品科学领域研究机构的多位专家学者,围绕基础研究领域的前沿进展、产业发展最新动态,展开深入的学术交流与探讨。同时,我们将就未来的合作和交流平台建设进行对话,总结经验、传播知识、思考未来,共同推动食品科技创新和可持续发展。
食品科学家是推动食品学科发展、产业进步的中坚力量,而青年科学家是重要力量。本次论坛诚挚邀请国内外各大院校、科研院所、食品企业等专家共同参与,期待食品科学家、青年科学家、博士研究生、硕士研究生积极提交研究成果,分享研究心得,共同推动食品学科的发展。本届论坛不仅为国内外食品学科领域的交流与合作提供了平台,也将为食品期刊、食品饮料企业、仪器商提供展览、展示。Food Junction:2025第三届食品科学家论坛及产学研交流大会期待与您相约“塞上江南”——银川。
点击链接进行报告/参会注册:(7.16)邀请函—2025第三届食品科学家论坛及产学研交流大会、2025宁夏食品科学论坛暨食品工业科技与FIA编委会会议.docx
点击链接下载邀请函:(7.16)邀请函—2025第三届食品科学家论坛及产学研交流大会、2025宁夏食品科学论坛暨食品工业科技与FIA编委会会议(1).pdf
食品科学家论文汇总
(点击专家姓名,查看论文)
《食品工业科技》特邀主编专栏征稿
《食品工业科技》特邀主编专栏征稿:果蔬基料制造:基础理论,新型加工、质量控制与智能制造☚
《食品工业科技》特邀主编专栏征稿:
群聊:食品工业科技作者群
温
馨
提
示
我刊正式组建微信作者群,为作者提供更多的学术与论文资讯,如需进群,请联系刘老师(微信:上方二维码,电话:87244117-8062)。
版权声明

