EI收录,
入选中国科技期刊卓越行动计划
本文获国家自然科学基金(32001756);福建省自然科学基金(2020J01675,2024J01108)。
摘要
为探究H2S延缓采后莲雾果实絮状绵软的作用机制,以0.9 mmol/L 硫氢化钠溶液释放的H2S气体对莲雾果实进行熏蒸处理,于4±1 ℃贮藏12 d,研究H2S处理对采后莲雾果实呼吸代谢和能量水平的影响。结果表明,经H2S处理的莲雾果实维持了较高的硬度,呼吸速率显著(P<0.05)较低,絮状绵软指数缓慢升高,在贮藏末期比对照组低17.56%;同时,H2S处理组果实具有较高的ATP和葡萄糖含量以及能荷水平,在贮藏12 d时能荷值较对照组高7.89%。H2S处理可显著(P<0.05)提高果实线粒体膜H+-ATP酶活性,抑制磷酸果糖激酶、丙酮酸激酶、丙酮酸脱氢酶、琥珀酸脱氢酶和细胞色素C氧化酶活性。此外,H2S处理抑制了NAD和NADH水平,显著(P<0.05)提高了NADH/NAD比值、NAD激酶活性以及NADP和NADPH含量。综上,H2S处理通过抑制采后莲雾果实糖酵解-三羧酸循环途径和电子传递途径降低了果实呼吸,延缓了底物消耗,同时维持了较高的能量和物质合成代谢活力,从而延缓莲雾果实的衰老和絮状绵软劣变。
结果与分析
2.1 H2S处理对采后莲雾果实硬度、絮状绵软指数和呼吸速率的影响
莲雾果实采后质地变软和内部絮状组织扩展是其品质下降的主要表现,而絮状组织扩大导致的果肉质地绵软也是造成硬度下降的因素之一。莲雾果实絮状绵软的发生与采后衰老密切相关,而呼吸作用作为采后果实最主要的生命活动,其速率是果实衰老过程中生理状态的综合反映。如图1A和图1B所示,莲雾果实贮藏期间硬度总体呈下降趋势,而絮状绵软指数逐渐上升。与对照组相比,H2S处理组果实硬度在贮藏4~12 d较高,其中4~6 d和10 d显著(P<0.05)高于对照组,其絮状绵软指数则在相同贮藏时间内均较低,其中在10~12 d显著(P<0.05)低于对照组,12 d时比对照组低17.56%。由图1C可知,对照组莲雾果实呼吸速率在贮藏期间波动变化,但变化范围较小;而H2S处理组果实呼吸速率在贮藏0~2 d较快下降,2~8 d变化较少,8~12 d逐渐下降,并且在2~12 d期间的相同贮藏时间均极显著(P<0.01)低于对照组。如图1D所示,莲雾果实内部絮状组织随贮藏时间延长而增加,内部空腔增大。相较于对照组,H2S处理组果实内部絮状组织面积和中空部分均较小,组织较致密。
图 1 H2S对采后莲雾果实硬度(A)、絮状绵软指数(B)、呼吸速率(C)和果实纵切面形态(D)的影响
Figure 1. Effects of H2S treatment on the firmness (A), cottony softening index (B), respiration rate (C) and the appearance of longitudinal section (D) of harvested wax apple fruit
注:*表示组间差异显著(P<0.05),**表示处理组与对照组组间差异极显著(P<0.01)。
由以上结果可知,经H2S处理的莲雾果实呼吸作用受抑制,说明果实生理活动水平总体较低,有助于延缓果实衰老,减轻絮状绵软发生,维持果实硬度。这些结果与此前采用NO气体处理莲雾果实的效果类似,进一步验证了絮状绵软劣变与果实采后衰老有关。
2.2 H2S对延缓采后莲雾果实能量状态的影响及其与絮状绵软的关系
图 2 H2S对采后莲雾果实ATP(A)、ADP(B)、AMP(C)含量和能荷值(D)的影响
Figure 2. Effects of H2S treatment on the contents of ATP (A), ADP (B) and AMP (C), and energy charge (D) of harvested wax apple fruit
注:*表示组间差异显著(P<0.05),**表示处理组与对照组组间差异极显著(P<0.01)。
综上,H2S处理延缓了采后莲雾果实硬度下降和絮状绵软指数升高(图1),抑制了ATP、ADP和能荷值下降(图2)。据此推断,H2S处理抑制莲雾果实絮状绵软,可能与维持果实能量水平、延缓衰老有关。上述结果与NO处理维持莲雾果实能量水平、延缓絮状绵软的效果相近,说明气体信号分子对莲雾果实能量状态和品质劣变具有调控作用,同时进一步支撑了采后H2S处理可维持果实能量水平,延缓生理衰败的相关研究。
2.3 H2S处理对采后莲雾果实EMP-TCA途径的影响及其与能量状态的关系

图 3 H2S对采后莲雾果实PFK(A)、PK(B)、PDH(C)和SDH(D)活性以及葡萄糖含量(E)的影响
Figure 3. Effects of H2S treatment on the activities of PFK (A), PK (B), PDH (C) and SDH (D), and glucose content (E) of harvested wax apple fruit
注:*表示组间差异显著(P<0.05),**表示处理组与对照组组间差异极显著(P<0.01)。
将上述结果结合呼吸速率和能量水平变化进行分析,发现对照组果实呼吸速率在贮藏前期(0~6 d)保持在较高水平(图1C),同期内PFK和PK的活性均下降,葡萄糖水平升高,PDH和SDH活性降低(图3),并且ATP含量和能荷处于较高水平(图2);而贮藏后期(6~12 d)果实葡萄糖含量降低,PFK和PK快速升高后下降,PDH和SDH活性略有升高后降低(图3),ATP含量和能荷快速下降(图2)。结合前期研究发现,可推断贮藏前期莲雾果实EMP-TCA途径水平下降、底物消耗较少,可能与果实此时能量水平较高、关键酶受抑制有关;随着贮藏中后期果实衰老、能量水平下降,EMP-TCA途径关键酶活性升高,底物消耗增大,以满足能量生成需要,因此呼吸速率较高;而在贮藏末期,EMP-TCA关键酶活性均下降,呼吸速率也降低。相较于对照组,H2S处理延缓莲雾果实ATP含量和能荷下降(图2),降低呼吸速率(图1C),促进贮藏前期PFK、PK、PDH和SDH活性下降并延缓其后期升高,提高并维持了葡萄糖含量(图3)。由此可知,H2S处理维持采后莲雾果实能量水平,可抑制EMP-TCA运转,降低呼吸速率和底物消耗;这一作用亦可保留能量合成潜力,减轻能量亏缺。受这些因素共同影响,果实衰老和品质劣变被延缓。
2.4 H2S处理对采后莲雾果实电子传递链的影响及其与能量状态的关系
图 4 H2S对采后莲雾果实NADH含量(A)、CCO(B)和线粒体膜H+-ATPase(C)活性的影响
Figure 4. Effects of H2S treatment on NADH content (A) and the activities of CCO (B) and H+-ATPase (C) of harvested wax apple fruit
注:*表示组间差异显著(P<0.05),**表示处理组与对照组组间差异极显著(P<0.01)。
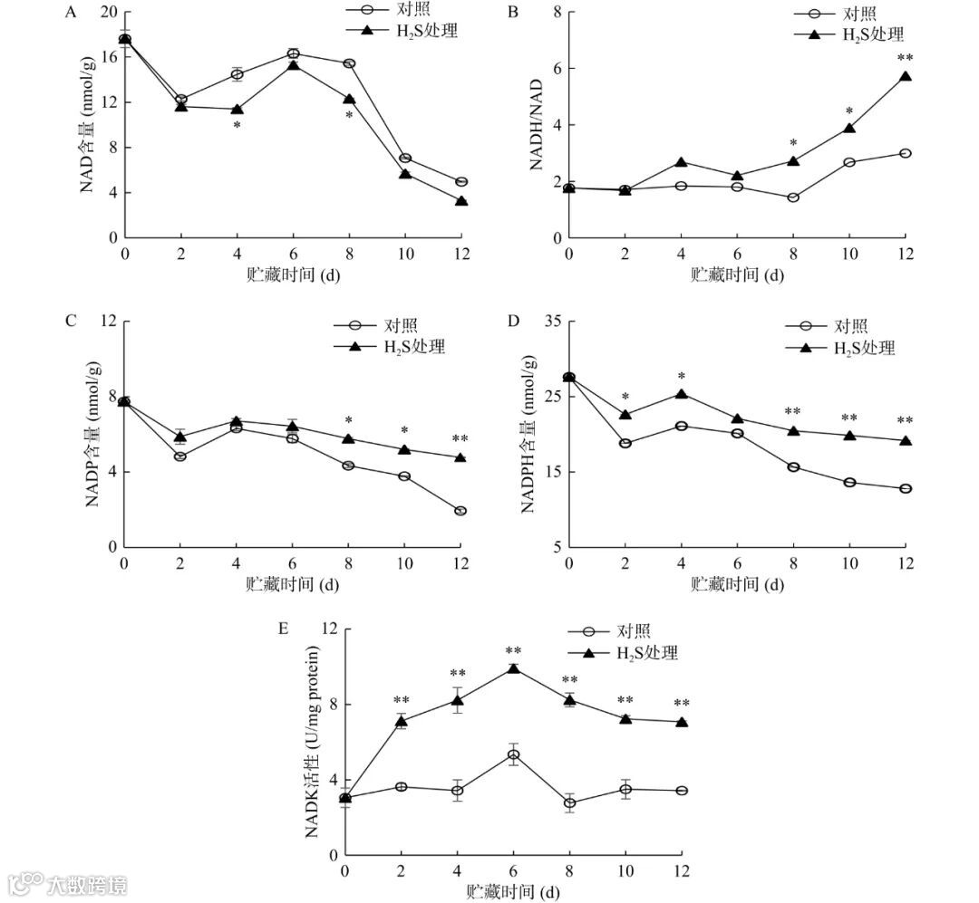
2.5 H2S处理对采后莲雾果实吡啶核苷酸代谢的影响及其与呼吸代谢的关系
图 5 H2S对采后莲雾果实NAD含量(A)、NADH/NAD比(B)、NADP(C)、NADPH(D)含量和NADK活性(E)的影响
Figure 5. Effects of H2S treatment on the contents of NAD content (A), NADH/NAD ratio (B), NADP (C) and NADPH (D), and NADK activity (E) of harvested wax apple fruit
注:*表示组间差异显著(P<0.05),**表示处理组与对照组组间差异极显著(P<0.01)。
进一步分析发现,对照组莲雾果实NAD含量与NADH含量在贮藏期内变化趋势相近,二者均在贮藏前期保持较高水平,但在贮藏后期快速下降;NADH/NAD比值在贮藏前期(0~6 d)变化幅度很小,在贮藏末期(8~12 d)略有升高;NADK活性则保持在低水平,NADP含量整体呈下降趋势(图5);NADPH含量与NADP含量变化趋势也相近(图5C、D)。据此推断,对照组果实在贮藏前期EMP-TCA运行总体较为稳定,而在贮藏末期受抑制,这与其代谢酶活性变化情况一致;PPP强度在贮藏期内整体呈下降趋势,尤其在贮藏后期不断下降,表明此时莲雾果实物质合成代谢减弱,与呼吸速率下降和果实衰老相符。与对照组相比,H2S处理降低了采后莲雾果实NADH(图4A)和NAD含量,提高了NADH/NAD比值,并且提高NADK活性,从而维持较高的NADP和NADPH含量(图5)。这些结果不仅与前文所述H2S处理抑制采后莲雾果实EMP-TCA途径运转的作用形成相互验证,而且表明该处理可维持果实较高的物质合成代谢水平。这些因素有助于减少呼吸作用造成的底物消耗,抑制呼吸速率,延缓能量合成能力下降,从而延迟果实衰老和絮状绵软劣变。
2.6 相关性分析
如图6所示,在贮藏期间,对照组莲雾果实絮状绵软指数与硬度(r=−0.93*)、ATP含量(r=−0.99*)和ADP含量(r=−0.99*)分别呈显著负相关(P<0.05),这表明随着莲雾果实采后衰老,能量亏缺加重,同时絮状绵软加剧。同时,絮状绵软指数与PDH活性(r=−0.74*)和H+-ATPase活性(r=−0.74*)分别呈显著负相关(P<0.05);ATP含量与能荷值呈正相关(r=0.53),与PDH活性(r=0.65*)、NADH含量(r=0.59*)和H+-ATPase活性(r=0.80*)分别呈显著正相关(P<0.05),进一步说明维持较高的能量及其合成水平可能有助于延缓絮状绵软。呼吸速率与PDH活性(r=0.70*)、SDH活性(r=0.74*)和CCO活性(r=0.66*)分别呈显著正相关(P<0.05),说明呼吸强度变化与各呼吸代谢途径变化有关。此外,葡萄糖含量与PFK活性呈显著负相关(r=−0.71,P<0.05),NAD含量分别与NADP含量(r=0.80*)和NADPH含量(r=0.56*)呈显著正相关(P<0.05),进一步验证了采后莲雾果实物质消耗与所在的呼吸代谢途径强度相关。
图 6 莲雾果实絮状绵软与能量代谢和呼吸代谢指标的相关性分析
Figure 6. Correlation analysis of the indicators of cottony softening and metabolisms of respiratory and energy in wax apple fruit
综上,H2S处理通过调控采后莲雾果实呼吸代谢途径,抑制呼吸作用、维持能量水平,减少了葡萄糖等物质消耗,从而延缓果实衰老,减轻絮状绵软劣变,维持果实硬度,提高贮藏品质。本研究从能量和呼吸代谢与果实衰老关系的角度阐释了H2S调控采后莲雾果实絮状绵软的机制,并且有别于以往采后果实呼吸代谢调控的相关研究,针对性地从电子传递复合体和吡啶核苷酸等方面阐释了ETC的变化,分析与能量合成之间的关系,可为同类研究提供借鉴。同时,本研究还为H2S在采后果实品质调控方面的应用研究提供了参考。H2S熏蒸作为调控采后果实品质的有效处理,虽然因操作安全性在采后商品化处理阶段应用受限,但在活性包装和气调包装等方面有很大应用潜力。
Citation: LIU Xinmiao, SUN Minzi, WANG Ying, et al. Hydrogen Sulfide Delays Cottony Softening of Postharvest Wax Apple Fruit via Regulating Respiration Metabolism and Energy Status[J]. Science and Technology of Food Industry, 2025, 46(18): 357−367. (in Chinese with English abstract). doi: 10.13386/j.issn1002-0306.2024090392.
通信作者简介

张珅,集美大学海洋食品与生物工程学院副教授,硕士生导师,佛罗里达大学访问学者。从事园艺产品产后生物学与贮藏保鲜技术、农产品精深加工与副产物高值化利用等领域的科研与教学工作,主要研究方向为:亚热带/热带果蔬采后生理、病理机制与控制技术,果品品质形成与成熟衰老调控、农产品精深加工与副产品综合利用;主持在研国家自然科学基金青年项目、福建省自然科学基金面上项目等多项课题;参与“十三五”国家重点研发计划项目、国家自然科学基金项目、福建省自然科学基金项目等课题十余项;在《Food Chemistry》、《Journal of Agricultural and Food Chemistry》、《Postharvest Biology and Technology》、《食品工业科技》等高水平SCI/EI收录期刊发表研究论文30余篇;授权国家发明专利2项。
(以上信息来自网络)
或登录www.spgykj.com阅览全文。
食品科学家论文汇总
(点击专家姓名,查看论文)

《食品工业科技》特邀主编专栏征稿
《食品工业科技》特邀主编专栏征稿:果蔬基料制造:基础理论,新型加工、质量控制与智能制造☚
《食品工业科技》特邀主编专栏征稿:☚
☚
群聊:食品工业科技作者群
温
馨
提
示
我刊正式组建微信作者群,为作者提供更多的学术与论文资讯,如需进群,请联系刘老师(微信:上方二维码,电话:87244117-8062)。
版权声明

