EI收录,
入选中国科技期刊卓越行动计划
本文获国家自然科学基金(32172213)。
摘要
便秘是最为常见的功能性胃肠疾病之一,需要可持续且无副作用的治疗和预防措施。本研究选取了具有缓解便秘潜力的西梅汁、综合果蔬酵素、复配益生元和复配益生菌,对洛哌丁胺诱导的便秘小鼠进行了为期4周的干预,并对便秘指标、胃肠调节递质、肠道屏障系统、肠道菌群进行了评估。结果表明,西梅汁、复配益生元及复配益生菌可以提高便秘模型小鼠的小肠推进率,减少排首粒黑便时间,增加粪便含水率;上调结肠组织兴奋性胃肠调节递质(胃动素(Motilin,MTL)、胃泌素(Gastrin,Gas)和P物质(Substance P,SP))的含量,下调抑制性胃肠调节递质(生长抑制素(Somatostatin,SS)、降钙素基因相关肽(Calcitonin Gene Related Peptide,CGRP)和一氧化氮)含量;上调结肠封闭蛋白和闭锁蛋白mRNA的表达量;下调Aerococcus的相对丰度,上调Coriobacteriaceae_UCG-002、Faecalibaculum的相对丰度。其中复配益生元和复配益生菌能上调结肠中粘蛋白2(Mucin2,MUC2)mRNA的表达量和下调白细胞介素-1β(Interleukin-1β,IL-1β)mRNA的表达量,减少结肠组织损伤,并进一步地上调肠道内有益菌Ruminococcus_2、Bifidobacterium、Roseburi和Lactobacillus的相对丰度。综上所述,本研究使用的综合果蔬酵素不能缓解便秘,而西梅汁、复配益生元及复配益生菌可以调节关键差异菌属的相对丰度、调控胃肠调节递质的分泌、改善肠道机械屏障,从而缓解小鼠便秘。其中,复配益生元和复配益生菌能够进一步调节有益菌的相对丰度,并通过改善肠道粘膜屏障和免疫屏障减少结肠组织损伤,从而更有效地缓解便秘。
便秘是一种常见的消化系统问题,影响着全世界20%的人口。轻度的便秘表现为腹部不适,大便干硬,部分患者可能在此阶段不自知,并任由便秘症状加重。而重度的便秘会出现腹胀、腹痛、食欲减退等症状,影响患者生活。许多患者会通过使用非处方泻药自行治疗,因此需要开发一些安全无副作用的治疗手段,以支持便秘患者对胃肠道健康进行自主管理。目前已有多种干预手段被提出,如西梅汁可以改善便秘患者的排便频率和大便稠度,并且对非便秘患者不会产生不良反应,是良好的缓解便秘手段。也有研究表明益生元虽不能完全被人体消化吸收,却能被肠道菌群发酵利用。益生元几乎可以直接作用于肠道菌群,通过促进双歧杆菌、乳杆菌等有益菌生长,促进肠道蠕动,从而缓解便秘。酵素已经被证明具有多种功能特性,比如抗氧化、促进新陈代谢、促进血液循环等。大枣酵素和桑葚酵素已经被分别证明可以缓解便秘。益生菌可以通过改善肠道屏障和调控炎症因子等多种途径缓解便秘,长双歧杆菌长亚种CCFM1113已被证明能够通过改善肠道屏障功能和下调促炎细胞因子的表达缓解小鼠便秘。比如鼠李糖乳杆菌CCFM1060能有效抑制促炎细胞因子的表达,两歧双歧杆菌CCFM1167通过增加肠道内乙酸含量和上调抗炎细胞因子等途径缓解小鼠便秘。
上述四种干预方式均以自然食品为原料,副作用较小,安全性较高。然而,四种干预策略均存在一定局限性。目前西梅汁在人群试验中使用的剂量较高且不同试验的剂量差异较大(50 mL/d至250 mL/d),并且缺乏在低剂量下进行的动物实验验证,其剂量效应尚不明确。益生元的复配策略尚未形成系统性标准,需通过多次实验积累数据以确定最佳复配方案,本研究依据前期动物实验结果推测,由低聚半乳糖、菊粉、乳果糖及水苏糖组成的复合益生元配方具有缓解小鼠便秘症状的潜力。酵素的功能受到底物、工艺等多方面的影响,不同品类的酵素功能需要独立验证。益生菌之间既可能存在协同增效作用,也可能出现相互抑制效应,其具体效果尚难以确定,多菌株复配益生菌配方亟需进行单独评估。
为了弥补上述四种干预方式的不足,本研究基于洛哌丁胺诱导的小鼠便秘模型,选取具有缓解便秘潜力的西梅汁、综合果蔬酵素、复配益生元及复配益生菌,系统比较其在改善胃肠调节递质、修复肠道机械屏障及调控肠道菌群方面的效果。本研究力图揭示各干预措施的作用机制,为开发安全高效的便秘缓解食品提供科学依据和新的思路。
结果与分析
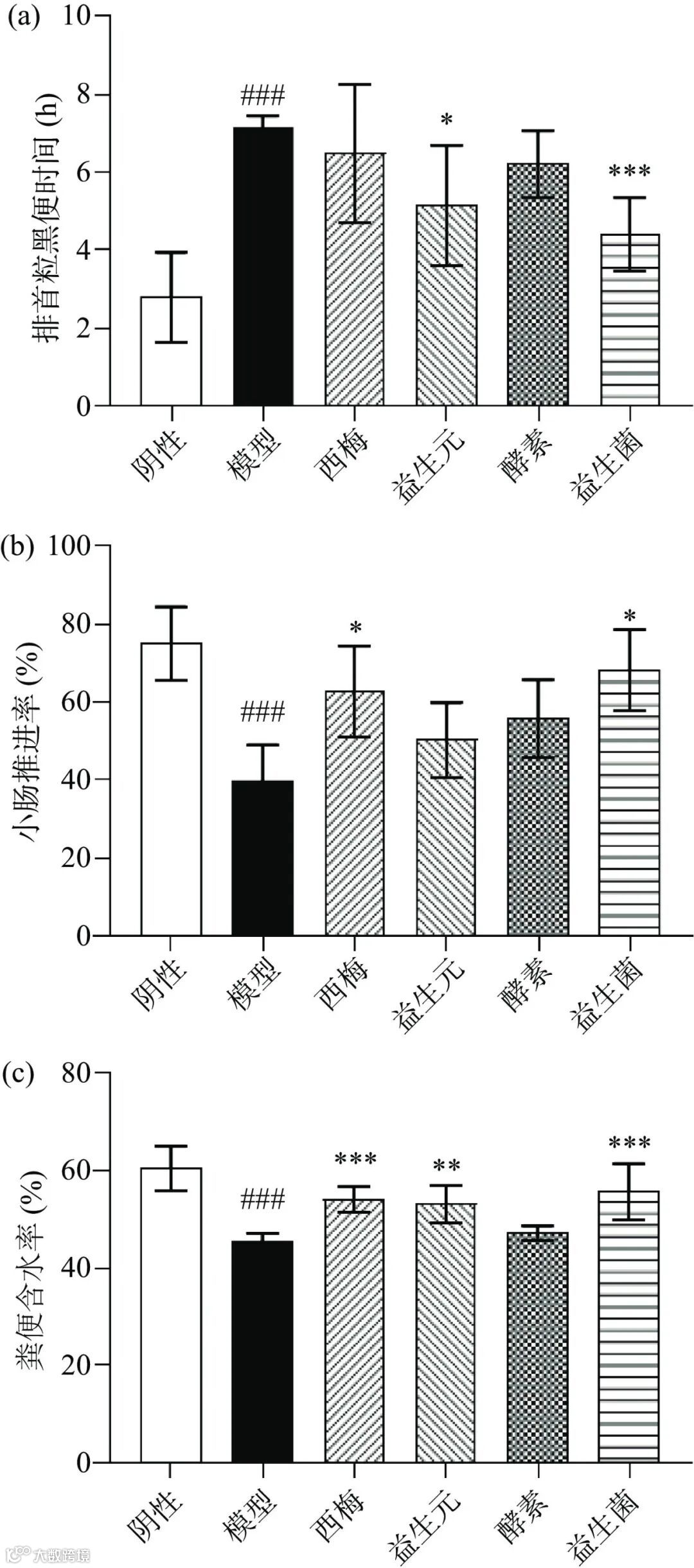
图 1 各干预方式对小鼠便秘相关指标的影响
Figure 1. Effect of various interventions on constipation related indicators in mice
注:a排首粒黑便时间;b小肠推进率;c粪便含水率。图中#表示模型组与阴性组有显著差异:#P<0.05,##P<0.01,###P<0.001;*表示模型组与干预组有显著差异,*P<0.05,**P<0.01,***P<0.001;图2~图6、图8同。
依据《保健食品功能检验与评价方法》中“有助于润肠通便”阳性结果的评价标准:粪便含水率结果阳性,同时小肠运动实验和排便时间一项结果阳性,可判定该受试样品有助于润肠通便动物实验结果阳性,可知,酵素不能缓解便秘,而西梅汁、益生元、复配益生菌都可以缓解便秘。其中复配益生菌能同时改善三项指标,对便秘的缓解效果最强。
酵素功效受到底物等多重因素的影响。桑葚和红枣本身就有一定改善便秘的功能,而由桑葚和红枣发酵制得的桑葚酵素和红枣酵素均能显著改善便秘小鼠的粪便含水率,肠道推进率和肠道转运时间。本研究使用的综合果蔬酵素在原料选择上未刻意纳入具有通便功能的特定植物成分,这种底物选择策略可能影响了综合果蔬酵素缓解便秘的功效。
Koyama等的研究显示,西梅汁中的膳食纤维、糖醇、酚类化合物等物质难以被小肠吸收,可以增加小肠内渗透压,促进小肠蠕动,增加粪便含水率。Huang等的研究显示益生元可以通过调节肠道菌群、调节胃肠调节递质、减少炎症等多方面缓解便秘症状。复合益生菌中的CCFM1113、CCFM1060、CCFM1167均可以下调促炎细胞因子,上调抗炎细胞因子,减少炎症对便秘的影响。
为了阐释西梅、益生元及复配益生元缓解便秘的具体机制,本研究后续对便秘小鼠的胃肠调节递质、结肠屏障情况及肠道微生物组的变化进行了检测。
2.2 单西梅汁、益生元、益生菌对胃肠调节递质的影响
由如图2a~2c所示,模型组小鼠结肠组织中兴奋性胃肠调节递质MTL、GAS、SP含量显著降低(P<0.01,P<0.01,P<0.001)。相对于模型组,西梅汁、益生元、复配益生菌几乎能显著上调所有便秘相关的兴奋性胃肠调节递质。除了复配益生菌对结肠内MTL含量只有上调趋势,但没有显著性。
图 2 各干预方式对小鼠便秘相关胃肠调节递质的影响
Figure 2. Effect of various interventions on constipation related gastrointestinal active peptides in mice
注:a:MTL;b:GAS;c:SP;d:SS;e:CGRP;f:nNOS。
生长抑制素(Somatostatin,SS)、降钙素基因相关肽(Calcitonin Gene Related Peptide,CGRP)、一氧化氮是抑制性胃肠调节递质。SS会抑制胆汁、结肠液、胃酸、胰岛素等多种物质的释放,进而降低肠道活力;CGRP与疼痛感知呈正相关,CGRP含量的升高会导致胃部不适,恶心,便秘等症状。一氧化氮可以舒张平滑肌并减少肠蠕动,而神经性一氧化氮合酶(neuronal nitric oxide synthase,nNOS)mRNA表达量与肠道内一氧化氮的浓度正相关,nNOS mRNA表达量上调会导致小肠蠕动减弱。
如图2d~2e所示,模型组小鼠结肠组织中抑制性胃肠调节递质含量SS、CGRP显著上升(P<0.01,P<0.001),nNOS mRNA表达量显著上升(图2f,P<0.05)。相对于模型组,西梅汁、益生元、复配益生菌几乎能下调所有抑制性胃肠调节递质。但西梅汁对结肠内CGRP含量只有下调趋势,没有显著性。
上述结果表明应用洛哌丁胺在构建便秘动物模型时,小鼠除了具有便秘的症状外,同时还存在结肠内胃肠调节递质含量的失调。而西梅汁、益生元、复配益生菌干预后,小鼠结肠内胃肠调剂递质含量的失调症状得到改善。其中,西梅中富含可溶性膳食纤维,是西梅缓解便秘的重要成分,而廖勇等发现可溶性膳食纤维可以通过调节胃肠调节递质,加速胃肠排空,进而缓解小鼠便秘。
本研究的复配益生元主要成分为乳果糖和菊粉,Deng等发现,乳果糖可以上调便秘小鼠兴奋性胃肠调节递质并下调小鼠抑制性胃肠调节递质促进肠道蠕动,进而缓解地芬诺酯诱导的大鼠便秘,Lan等也发现,菊粉可以通过上调便秘小鼠MTL和SP含量维护肠道蠕动,进而缓解便秘。
研究表明,CCFM1113单独使用对几乎所有胃肠调节递质没有影响[9]。CCFM1167单独使用不能下调兴奋性胃肠调节递质含量,但可以上调抑制性胃肠调节递质。而本研究的复合菌株可以上调GAS、SP含量,下调SS、CGRP含量和nNOS mRNA表达量,说明在本研究中复合菌株的缓解便秘的效果与单一菌株相比提升,这可能由于单一菌株对肠道环境的影响有利于其他菌株发挥功能。
2.3 西梅汁、益生元、益生菌对肠道机械屏障的影响
干硬的粪便可能会破坏肠道机械屏障,增加肠道通透性,进而造成局部炎症并恶化便秘症状。粘液层是隔绝肠内环境与内循环的首道肠道机械屏障,可以避免肠内物质直接与肠上皮细胞接触。粘液层主要由成熟杯状细胞分泌的MUC2组成。同时,MUC2还可以润滑肠道,提高粪便含水率,进而改善便秘。肠上皮细胞之间则由紧密连接蛋白连接。Claudin、Occludin是两种主要的紧密连接蛋白,Claudin、Occludin的正常表达可以防止肠内物质渗漏到内循环。肠道机械屏障的损伤意味着肠内物质易于进入内循环,可能导致炎症等不良反应的发生。而炎症可能会进一步恶化便秘症状。慢性便秘患者被观察到结肠壁增厚,这可能是由于干硬粪便造成的损伤。
如图3所示,模型组Claudin、Occludin、MUC2 mRNA表达量显著下降(P<0.001,P<0.05,P<0.01)。如图4a所示,相对于阴性组,模型组结肠中出现了肠壁增厚(蓝色箭头)炎症细胞灶状聚集和细胞浸润(红色箭头)成熟杯状细胞减少(黄色箭头),肠腺排列不整齐(绿色箭头),组织损伤指标高度显著上升(图4b,P<0.001),这些结果说明便秘损伤了肠道机械屏障,并减少了肠道内粘液分泌,损伤了肠内粘液层。
图 3 各干预方式对小鼠肠道屏障系统的影响
Figure 3. Effect of various interventions on intestinal barrier function in mice
注:a:Claudin;b:Occludin;c:MUC2。
图 4 各干预方式对小鼠结肠组织的影响
Figure 4. Effect of various interventions on intestinal tissue in mice
注:a:结肠病理切片,其中蓝色箭头为肠壁增厚,红色箭头为炎症细胞灶状聚集和细胞浸润,黄色箭头为成熟杯状细胞减少,绿色箭头为肠腺排列不整齐;b:结肠组织损伤指标。
如图3所示,相对于模型组,西梅汁、益生元和复配益生菌都显著上调了结肠中Claudin和Occludin mRNA的表达量。而益生元和复配益生菌则进一步显著上调了结肠中MUC2 mRNA的表达量(P<0.05)。如图4a所示,相比于模型组,西梅汁组结肠损伤情况仍然较重,可见炎症细胞聚集,成熟杯状细胞减少,肠腺排列不整齐和肌肉层增厚。益生元组和益生菌组症状较轻,可见肌肉层和粘膜间层增厚。由图4b所示,组织损伤评分显示,四种样品都能下调结肠损伤情况,其中益生元和复配益生菌能显著改善结肠组织损伤(P<0.01,P<0.05)。
结果显示,在改善肠道机械屏障方面,西梅汁、益生元和复配益生菌都能调节便秘所引起的肠屏障损伤。其中益生元和复配益生菌可以进一步促进肠道粘液的分泌。
在徐天旭等的研究中西梅中含有的膳食纤维显示出修复结肠机械屏障的潜力,这与本研究的结果一致。然而,西梅汁组小鼠结肠中仍存在炎症反应,因此结肠组织损伤评分未显著降低。这一现象提示西梅汁可能通过独立于炎症调控的通路发挥修复结肠机械屏障的能力。Erhardt等发现益生元可能主要通过改善肠道菌群结构,促进短链脂肪酸等代谢产物,维护肠道粘液层的完整性,调节免疫反应,减少炎症,进而减轻结肠损伤,这与本研究的结果一致。复合益生菌中的CCFM1113、CCFM1060、CCFM1167均可以通过下调促炎细胞因子,上调抗炎细胞因子,改善肠道屏障功能,缓解炎症对便秘的影响。Gou等的研究指出,益生菌在肠道中定植后,可以通过紧密连接、增加黏蛋白表达、调节免疫系统、抑制致病菌黏附等作用来修复肠道屏障。
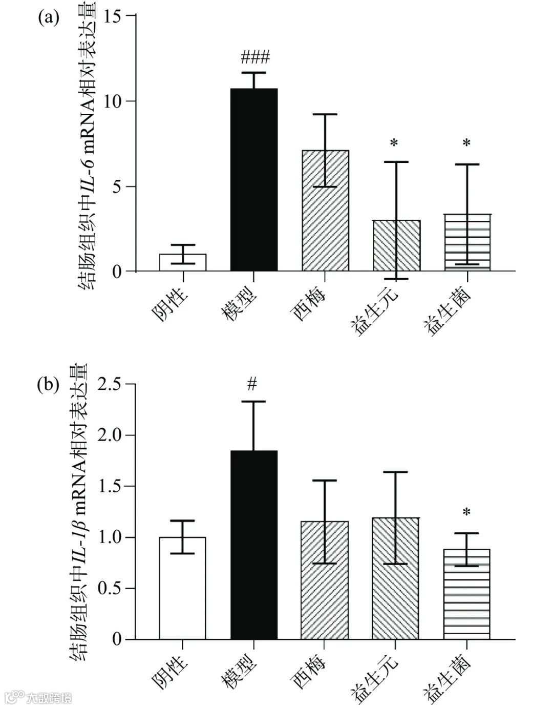
2.4 西梅汁、益生元、益生菌对肠道炎症的影响
根据结肠组织切片分析结果可知,便秘小鼠结肠中有低水平炎症,同时,研究发现炎症介质的释放会减慢肠蠕动,而使用抗炎药物可以增加排便频率。IL-1β、IL-6是促炎细胞因子,表达量和炎症程度正相关。如图5所示,相比于阴性组,模型组结肠内IL-6、IL-1β mRNA表达量显著上升(P<0.001,P<0.05),说明便秘小鼠结肠部分存在炎症。灌胃样品后发现所有样品对于结肠内IL-1β、IL-6 mRNA表达量都表现出下调的趋势。其中益生元组和益生菌组结肠内IL-6 mRNA表达量显著下降(P<0.05)。益生菌组结肠内IL-6和IL-1β mRNA表达量显著下降(P<0.05)。
图 5 各干预方式对小鼠肠道内炎症的影响
Figure 5. Effect of various interventions on intestinal inflammation in mice
注:a:IL-6;b:IL-1β。
这说明了益生元和复配益生菌都在一定程度上缓解了肠道中的炎症。Erhardt等发现益生元可能主要通过改善肠道菌群结构,促进短链脂肪酸等代谢产物,调节免疫反应,减少炎症。复合益生菌中的CCFM1113、CCFM1060、CCFM1167均可以下调促炎细胞因子,上调抗炎细胞因子,减少炎症对便秘的影响,这与本研究结果一致。
2.5 西梅汁、益生元、益生菌对肠道菌群的影响
Observed features和ACE指数(Abundance-based Coverage Estimator,基于丰度的覆盖度估计)能显示肠道菌群的多样性,而Simpson指数和Shannon指数则能显示肠道菌群的丰富性。
与阴性组相比,模型组肠道菌群的丰富度有所降低,但是模型组肠道菌群的多样性和丰富性没有显著变化(图6a~d),这可能是由于本研究中洛哌丁胺干预时间较短,不足以影响菌群α多样性。相似的,Hao等也发现洛哌丁胺对便秘鼠肠道菌群的α多样性影响不显著。相比模型组,西梅汁、益生元显著上调了肠道菌群的多样性(图6a、6b,P<0.05,P<0.01),这一结果与Hao等报道的膳食纤维和益生元对肠道菌群多样性的正向调节作用一致。相比模型组,复配益生菌显著下调了肠道菌群的丰富度(图6c、6d,P<0.05),相似的Wang等也发现了CCFM1060干预后肠道菌群的丰富性有所下调。
图 6 各干预方式对小鼠肠道菌群多样性的影响
Figure 6. Effect of various interventions on microbial alpha-diversity
注:a:observed features;b:ACE;c:Simpson index;d:Shannon index;e:β多样性。
PLS-DA分析显示三个干预组均在一定程度上与模型组分离,这说明了三种干预方式都改变了便秘小鼠肠道菌群结构。其中西梅汁组和益生菌组之间重叠较多,说明益生元组与西梅汁组肠道菌群结构可能存在相似性。
如图7所示,本研究通过LEfSe分析发现了数个标志性菌属,模型组的标志性菌属有: [Eubacterium]_fissicatena_group、Aerococcus。西梅汁组的标志性菌属有:Faecalibaculum,Coriobacteriaceae_UCG-002、Ruminococcus_1等,益生元组的标志性菌属有:Bifidobacterium、Candidatus_Saccharimonas,益生菌组的标志性菌属有:Staphylococcus,Lactobacillus,Ruminococcus_2。
图 7 干预组肠道菌群样本LEfSe分析
Figure 7. LEfSe analysis of signature taxa in the groups
注:a:物种进化分支图;b:LDA值分布柱状图。
本研究进一步分析了标志性菌属的相对丰度变化,结果如图8所示,在模型组中,Roseburia相对丰度显著下降(P<0.05),Aerococcus相对丰度显著上升(P<0.05)。而使用西梅汁、复配益生元和复配益生菌干预后,小鼠肠道内Aerococcus的相对丰度显著下降(P<0.01、P<0.05、P<0.001),Faecalibaculum和Coriobacteriaceae_UCG-002的相对丰度显著上升(P<0.05)。
图 8 各干预方式对不同菌属相对丰度的影响
Figure 8. Effect of various interventions on the abundance of genera
注:a:菌属组成柱状堆积图;b:Bifidobacterium;c:Ruminococcus_2;d:Lactobacillus;e:Coriobacteriaceae_UCG-002;F:Faecalibaculum;g:Roseburia;h:Aerococcus。
Aerococcus是一种机会致病菌,Peng等的研究发现Aerococcus会破坏肠内氧化还原平衡,破坏肠道菌群平衡恶化便秘。Faecalibaculum和Coriobacteriaceae_UCG-002是潜在的有益菌,Ma等发现Faecalibaculum可以通过维护肠屏障完整促进结肠蠕动。而Guo等发现Coriobacteriaceae_UCG-002可以通过减少肠道中的炎症反应,改善肠道屏障,最终缓解便秘。
特殊的,使用复配益生元干预后,Bifidobacterium、Ruminococcus_2和Roseburia相对丰度显著上升。使用复配益生菌干预后Ruminococcus_2、Bifidobacterium、Lactobacillus相对丰度显著上升。
结果表明,三种干预方式均能调节肠道菌群丰度,但各自的影响侧重点存在差异。
2.6 肠道菌群相对丰度与便秘相关指标的关联性分析
为探究不同样品如何通过调节肠道微生物群来缓解便秘症状,本研究采用Spearman相关性分析法,进一步分析了特征性菌属的相对丰度与便秘相关指标间的关联性。结果如图9所示。
图 9 菌属相对丰度与便秘相关指标的相关性
Figure 9. Correlation between the abundance of bacterial genera and constipation related indicators
注:*表示菌属相对丰度与便秘相关指标之间为显著相关,蓝色表示显著负相关,红色表示显著正相关,*P<0.05,**P<0.01。
本研究中,Aerococcus的相对丰度与粪便含水率,小肠推进率呈显著负相关(P<0.05),与结肠内SS含量呈显著正相关(P<0.01)。Faecalibaculum的相对丰度与Claudin、Occludin表达量呈显著正相关,并与结肠内SP含量呈显著正相关(P<0.05)。Coriobacteriaceae_UCG-002的相对丰度与结肠内nNOS与IL-1β mRNA表达量呈显著负相关(P<0.05),与Claudin、Occludin mRNA表达量呈显著正相关(P<0.05)。
Ruminococcus_2是肠易激患者的保护性菌群,可以通过维持肠粘膜的完整性缓解肠易激综合征。在本研究中,Ruminococcus_2的相对丰度与粪便含水率、小肠推进率、结肠内MTL、SP含量呈显著正相关(P<0.01),与结肠内SS、CGRP含量、IL-1β表达量呈显著负相关(P<0.05,P<0.01,P<0.05)。
Bifidobacterium是一种公认的益生菌,可以改善肠道环境并且增加排便频率和粪便含水率。在本研究中,Bifidobacterium的相对丰度与结肠内MTL含量、Claudin mRNA表达量呈显著正相关(P<0.01,P<0.05),与结肠内CGRP含量、IL-6 mRNA表达量呈显著负相关(P<0.01)。
Roseburia是一种有益菌,有助于维持慢传输性便秘患者微生物群平衡。在本研究中,Roseburia的相对丰度与粪便含水率、小肠推进率、MUC2 mRNA表达量呈显著正相关(P<0.05)。与排首粒黑便时间、结肠内CGRP含量呈显著负相关(P<0.01,P<0.05)。
Lactobacillus是一种公认的益生菌,在肠道中可以发酵产生乳酸,缩短肠道转运时间。相似的,在本研究中,Lactobacillus的相对丰度与小肠推进率呈显著正相关(P<0.05),与排首粒黑便时间,结肠内IL-1β mRNA表达量呈显著负相关(P<0.05)。
由此可知,西梅汁、益生元和复配益生菌均可以通过下调Aerococcus的相对丰度,上调Coriobacteriaceae_UCG-002、Faecalibaculum的相对丰度,调节结肠内便秘相关胃肠调节递质的分泌(下调SS的含量、nNOS的表达量,上调SP的含量),维护肠道屏障系统(上调Claudin、Occludin mRNA表达量),降低IL-1β mRNA的表达量,进而增加粪便含水率和小肠推进率,缓解便秘。
其中益生元可以通过进一步上调Ruminococcus_2、Bifidobacterium和Roseburia的相对丰度,进一步调节结肠内便秘相关胃肠调节递质的分泌(上调MTL、SP的含量,下调SS、CGRP含量),下调内肠道促炎因子IL-1β、IL-6 mRNA表达量,上调结肠内MUC2 mRNA表达量,进而改善粪便含水率和小肠推进率,进一步缓解便秘。
复配益生菌可以通过进一步上调Ruminococcus_2、Bifidobacterium和Lactobacillus的相对丰度。调节便秘相关胃肠调节递质的表达(上调MTL、SP含量、下调SS、CGRP含量),提高结肠中Claudin mRNA的表达量,降低结肠中IL-1β mRNA的表达量,进而减少排首粒黑便时间,进而改善粪便含水率和小肠推进率,进一步缓解便秘。
Citation:YU Xihua, LI Liuruolan, WANG Yi, et al. Effects and Mechanisms of Four Interventions in Alleviating Constipation[J]. Science and Technology of Food Industry, 2025, 46(23): 428−439. (in Chinese with English abstract). doi: 10.13386/j.issn1002-0306.2024120359.
通讯作者简介
或登录www.spgykj.com阅览全文。
往期回顾
精选文章
查看更多 →
国家重点研发计划|黑龙江八一农垦大学张东杰教授、李娟副教授:稻草秸秆纤维素基埃洛石纳米管负载牛至精油缓释抗菌膜的制备与性能分析
阅读量:18000+ · 2025-12-29
国家市场监督管理总局科技计划项目|国家市场监督管理总局田明研究员、山西大学张国华教授:澳新食品健康声称管理体系研究及启示
阅读量:12000+ · 2025-12-29
国家青年自然科学基金|南京财经大学吴思邈副教授:调味性汲取液在正渗透技术浓缩苹果汁中的研究
阅读量:9000+ · 2025-12-29
热门话题
查看更多 →
《食品工业科技》特邀主编专栏征稿
《食品工业科技》特邀主编专栏征稿:标准化赋能食品及相关产品高质量发展☚
☚
群聊:食品工业科技作者群
温
馨
提
示
我刊正式组建微信作者群,为作者提供更多的学术与论文资讯,如需进群,请联系刘老师(微信:上方二维码,电话:87244117-8062)。
版权声明

