
本文内容转载自《飞控与探测》2019年第3期,版权归《飞控与探测》编辑部所有。如有转载请注明!
作者:赵永强,马位民,李磊磊
摘要:作为一种新型光电探测技术,红外偏振成像探测在军事和民用领域展现出的广阔应用前景,受到了国内外众多学者和有关部门的高度关注。对近几年红外偏振探测理论、红外偏振成像系统、探测系统的应用等方面进行了总结,通过模拟不同材料的红外偏振辐射特性和进行实际的图像分析,对红外偏振成像探测技术的发展动向、存在问题和解决这些问题的思路给出了系统的综述。分析了当前红外偏振成像技术存在的优、缺点,结合生物多波段偏振视觉技术的研究进展,提出了仿生偏振视觉的概念。通过分析目标辐射偏振特性,给出了偏振成像质量的影响因素,并用实际拍摄图像分析了红外偏振成像的适用领域。
关键词:偏振成像;红外辐射;目标检测;探测距离;仿生偏振视觉
00
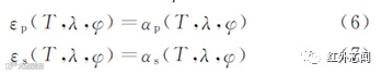
传统的红外成像探测系统主要是获取所观测场景的红外热辐射,利用目标与背景的辐射强度差异,将目标从背景中进行区分.进而实现对目标的检测、识别与跟踪。由于红外探测技术隐蔽性好、成像距离远,并且能够在一定程度上消除大气的干扰,对于观测遮蔽物下的目标具有很强的环境适应性,是现代战争中强有力的侦查手段。然而,随着新型红外伪装涂料及相关红外隐身设计技术的发展,目标表面的热辐射特征被极大地削弱,降低了目标与背景的热辐射差异;同时,诱饵、海杂波等大大削弱了目标与背景的红外辐射差异,使得应用传统的红外探测手段很难有效地检测目标。
传统红外探测技术仅仅获取了目标辐射的强度特征,仅为辐射偏振态的一个特例。目标辐射的偏振态变化与其表面状态和固有属性密切相关,能提供远比强度特征更为丰富的信息。不同类型的目标具有不同的偏振特性。在红外成像探测中,利用目标辐射的偏振特征,能有效抑制背景杂波,提高目标与背景的对比度,增加目标物的信息量,有利于目标检测和识别,能够提高热像仪对温差小或热对比度低的目标的探测识别能力,可减少红外偏振特性较弱的背景的干扰。在相同的干扰条件下,红外偏振成像系统的作用距离比传统红外强度成像系统的作用距离更大。在同一探测距离下,红外偏振成像的探测效果更好。
针对红外偏振成像探测的研究尽管取得了不少成果,但至今尚未形成成熟的理论框架,绝大部分研究工作都是针对特定的探测系统或特定的场景展开的。随着红外偏振成像优势的逐渐体现,需要对如何利用辐射的偏振特征、在什么情况下利用辐射的偏振特征等方面给出相关的理论说明。本文基于近年来的工作,结合国内外最新发展,在本论文的第二部分对红外偏振成像系统的优缺点和未来的发展方向给出了一些意见和建议。论文的第三部分,对于不同目标的辐射偏振特性进行了理论及实验分析,详细分析了影响偏振探测性能的各种因素。论文的第四部分结合具体的应用,分析了红外偏振成像探测如何增强目标的可探测性和探测距离,对在什么情况下应利用辐射的偏振特征给出了建议。
01
光波是横波,其电矢量振动面和传播方向互相垂直,电矢量振动方向相对于传播方向的不对称性为偏振(polarzation)。由菲涅尔反射定律可知,当非偏振光从光滑表面反射时会产生部分偏振光。由能量守恒定律和基尔霍夫定律可知,不透明物体的热辐射同样具有偏振性,这也正是红外偏振探测的理论依据。
在光学偏振探测领域,常采用Stokes矢量(S0,S1,S2,S3)来描述物体反射/辐射光的偏振态。其中,S0表示光的总强度,S1表示水平方向上线偏振光的强度,S2表示45度方向上线偏振光的强度,S3表示圆偏振光的强度。检偏器透光轴在方位角选取0︒、45︒、90︒、135︒时,能够获得对应的强度值I0、I45、I90、I135,以及通过旋转波片获取左旋和右旋光的强度Ilc、Irc利用这些信息,可以计算出目标辐射的Stkoes参数

利用Stokes矢量可以计算得到目标辐射的线偏振度(Degree of Linear Polarization,DoLP)、偏振相角(Angle of Polarization,AOP)

需要指出的是,大多数目标和背景的圆偏振分量均很小,在红外偏振成像探测系统中常取S3=0。
1.1 典型的红外偏振成像技术
为了获取目标偏振种偏振成像技术。根据获取I0、I45、I90、I135图像方式的差异,偏振成像技术大致可分为如下四类:
(1)分时偏振成像装置。通过机械旋转偏振光学元件或电调谐液晶原件,实现检偏器透光轴方位角的调节。机械旋转方式简单直接,但需采用运动部件,因而其体积、质量、环境适应能力限制了它的应用。相比机械旋转方式,液晶原件的体积和质量大大减小,但液晶对光的强衰减导致了其探测距离极其有限,图像噪声较大。同时,时序型的工作方式使其无法获得运动目标的偏振图像,无法在运动载体上实现针对目标的观测。
(2)分振幅型偏振成像装置。采用分束器将入射光分为3路或4路,后接相应个数的探测器。在各个探测器前加置不同透光轴方位角的检偏器,实现偏振信息的同时获取。系统采用多光路多探测器的方式工作,体积庞大,结构复杂,需要复杂的校正和标定程序。
(3)分孔径型偏振成像装置。利用微透镜阵列将入射光分为4个部分,通过将1个探测器分为4个区域,实现同一探测器接收,通过简单计算实现偏振成像。系统采用多光路单探测器方式工作,而不同检偏器透光轴方位角对应的图像存在空间和视角差异,配准、校正和标定程序比较复杂。
(4)分焦平面型成像装置。直接在探测器焦平面的每个像元前加入微型偏振片,每2×2像素范围内的4个不同透光轴方位角的微偏振单元构成1个超像素,以实现实时偏振探测。这种方式能够实时实现偏振成像,确保每次测量均是在相同的光照和辐射条件下进行,克服了分时偏振成像设备的缺点,具有实时性好、体积小、质量小、结构紧凑、集成度高等优点,可用于快速变化目标的检测与跟踪等。西北工业大学已研制出了长波红外分焦平面成像装置,其在众多机构中得到了应用。在该成像方式中,焦平面响应的非线性和偏振片阵列的非一致性相互耦合,对于系统的校正提出了很高的要求。同时,每1个超像素中不同透光轴方位角的微偏振单元存在视场差异,其所产生的瞬时视场误差很难被消除。
1.2 仿生偏振视觉
在偏振成像过程中执行的一次偏振滤波极大削弱了进入探测器的能量,同时由于现有偏振成像技术的缺陷,使所获得图像在时间分辨率、空间分辨率、偏振分辨率、图像的信噪比等方面存在不足,限制了红外偏振成像探测技术进一步的工程应用。另一方面,目标辐射的偏振特征与波长密切相关,发展可同时获取光谱和偏振信息的多光谱偏振成像仪对于进一步提高目标检测、识别的性能而言具有很大的帮助作用,但这又给现有的偏振成像技术提出了新的挑战。
近年来,学者研究发现,很多生物具有偏振感知(PolarizationSensitivity)或偏振视觉(Polar-zation Vision)能力,典型的生物包括螳螂虾、乌贼、水虿、沙蚁、蜜蜂等。偏振感知是指对视觉区域内的一个物体或区域内的偏振光敏感(如从水面上反射的光、水底环境的偏振光、大气环境光等),而偏振视觉是能够区别光波的电场方向、进而识别偏振百分比的能力,即能够察觉到线偏振度。作为多种海洋和陆地生物特有的视觉特性,偏振视觉能够有效地补充人类感知能力的缺陷,近年来得到了仿生学和机器视觉领域的广泛关注。
大量的研究表明,螳螂虾、乌贼、水虿等水生生物具有对环境中的偏振光敏感的独特结构,并能分析光的偏振特性。螳螂虾以此来检验和识别其所感兴趣的目标;陆地昆虫或迁徙鸟类能感知环境中偏振光的强度和方向的分布模式,并利用其来实现导航定位。通过对螳螂虾、水虿等水生生物的复眼中的单眼视网膜结构进行研究发现,其视网膜中的多个感杆束(Rhabdom)、网状细胞(Retinular Cell)的光谱响应特性范围为300nm~700nm,带宽范围为30nm~60nm,同时不同类型的感杆束具有不同的偏振敏感特性,通过调节微绒毛可以感知任意振动方向的偏振光。螳螂虾、水虿等水生生物的视神经系统还具有特殊的偏振编码能力,使得其能感知到高分辨率的多波段偏振信息。水虿的单眼组织结构如图1所示。

图1 水虿的单眼组织结构图
在生物多波段偏振视觉的启示下,通过研究生物偏振视觉感知单元的结构及信息处理机制并结合人类视觉感知的特点,研制新一代的多波段偏振成像设备已成为了重要的研究方向之一。西北工业大学首次在该领域做出了尝试,并研制出了仿生多波段偏振视觉系统,如图2所示。该系统在所获取偏振图像的空间分辨率、时间分辨率、偏振分辨率、视场角等方面均具有以上4种偏振成像方式所无法比拟的优势。通过引入生物复眼光路和压缩传感技术,可以在降低数据率的同时大幅度提高探测视角、增强检测的实时性,以使得多波段偏振成像技术可被更好地应用于高速运动平台上。

图2 仿生多波段偏振视觉系统
02
目标反射、辐射的偏振态与其表面状态和固有理化属性密切相关,不同类型的目标具有不同的偏振特性。地球表面和大气中的目标,在辐射电磁波的过程中,都会产生由目标物本身构成材料的理化特征、粗糙度、含水量等决定的偏振特征。实验结果表明,不同材质物体的热辐射偏振特性存在较大差异。在自然环境中,地物的红外偏振度一般小于1.5%,只有水体的偏振度较强,可达8%~10%。军事目标等人工目标一般有较强的热辐射偏振特性,如飞机坦克的偏振度达到了2%~7%。人工建筑的偏振度在1.5%以上。这一特性表明,红外偏振探测系统可在复杂自然景物背景中区分有用的信息,探测人造军事目标,以达到目标探测和识别的效果,有助于提高人类对目标进行探测识别的能力。
2.1 目标红外偏振特性分析
根据菲涅尔定律和基尔霍夫热辐射定律,热辐射也会表现出偏振效应。物质红外热辐射在2个正交的偏振方向的理论表达式如下:

Ⅰp(θ)和Is(θ)分别为从物体辐射来的在水平和垂直方向上的总能量,P(Tm,,8,14)为物体辐射在8um~14um热红外波段的能量和,它与物体的自身温度Tm有关。P(Tbdg,8,14)为物体反射的在这一波长区间内的背景的辐射能量和。εs(n,θ)为水平方向的辐射率,εp(n,θ)为垂直方向的辐射率,ρs(n,θ)为水平方向的反射率,ρp(n,θ)为垂直方向的反射率。
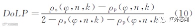
针对红外偏振的自发辐射,根据偏振度的定义,自发辐射的偏振度可以表示为:

由基尔霍夫定律,在同一温度下目标的光谱发射率等于吸收率α(T,λ,ψ),即有:

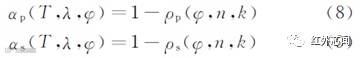
由能量守恒定律:

可得偏振度为

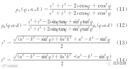
其中,ρs(ψ,n,k)、ρp(P,n,k)分表代表s方向和p方向的菲涅尔反射系数。由菲涅尔公式可知

其中,n和k为目标的辐射率的实部和虚部,ψ为辐射角。图3所示分别为金属铝、玻璃的自发辐射在s方向和p方向的发射率ρs(ψ,n,k)和ρp(ψ,n,k)随观测角的变化曲线。


图3 理想光滑表面自发辐射的发射率与观测角的关系
从图3可以看出,金属铝和玻璃在s方向和p方向上的发射率存在差异,在两个方向上光的振幅存在差异,这造成了红外辐射的偏振效应。在不同的观测角下,红外辐射的偏振度有所不同。在同一观测角下,金属铝在s方向和p方向上的发射率的差异大于玻璃在s方向和p方向上的发射率的差异。因此,金属铝比玻璃的偏振度更大。
2.2 影响目标红外偏振特性的因素
多年来,人们在偏振成像探测技术研究方面开展了大量的理论和试验研究,取得了很大进展。研究结果表明,目标的反射辐射和自发辐射都含有偏振信息,其中观测角、目标表面粗糙度、目标材料等对目标偏振探测有很大影响。
(1)观测角:Goldstein、Wolff、Gur-ton等通过对不同物质在各种条件下进行实验观测,说明了当观测角增加时,目标的偏振度也会增加;当反射率降低时,目标的偏振度也会增加。图4所示为铝在红外波段(波长为3um)时偏振度随观测角的变化曲线。
(2)目标材料:Jordan等对不同粗糙度的铝板和钠钙玻璃的红外发射辐射偏振度做出了测量,结果表明两种样品的偏振度随观测角的增加而有所增加,随样品粗糙度的增加而迅速降低;同时,Jordan等也发现这两种材料在相同条件下的偏振态也有很大差别。Gurton等利用傅里叶变换红外偏振光谱仪,测量了不同粗糙度表面的复折射率材料的热红外偏振参数。实验结果表明,不同粗糙度的材料样品的红外光谱偏振度有所差异;随着观测角的增加,样品的红外光谱偏振度增大;不同材料的红外偏振特性各不相同。图4所示为金属铝和玻璃在红外波段(波长为3um时)偏振度随观测角变化的曲线。

图4 在波长为3时金属锅和玻璃红外辐射偏振度随观测角的变化
(3)目标表面粗糙度:Wolff对金属和塑料的偏振特性进行了实验研究,使用偏振成像的方法消除了背景的影响。研究发现,目标的表面粗糙度是决定目标偏振特性的重要因素。Wolff指出,由粗糙度表面发射的是部分偏振辐射,其发射的偏振度也是较大的。在具有相同粗糙度的表面,不同材料的长波红外偏振特性各不相同。
(4)综合因素:Zhao等通过理论和实验研究,得出了绝缘体和金属材料的偏振度和偏振相角随观测角的变化规律,同时通过图像融合,有效地检测出了目标。
03
3.1 偏振特征对提升探测性能的作用
相关实验研究结果证明,偏振成像技术能够有效抑制背景噪声,提高目标与背景的对比度,减小红外偏振特性较弱背景的干扰,从而在杂乱的背景中增强对目标的识别效果;针对小温差或低热对比度目标的探测识别,目标与背景红外偏振特性的差别将导致偏振对比度的明显差异,利用红外偏振成像技术能够增加对物体的识别距离。
3.2 红外偏振成像应用
根据已有的红外偏振成像探测的应用领域及实验分析可以获悉,在如下三种情况下,应用红外偏振成像可大幅度提高所获取图像的信杂比/信背比,相关数据均由西北工业大学所研制的长波红外分焦平面成像装置采集,成像装置如图5所示。

图5 分焦平面偏振成像系统
3.2.1 处于杂乱自然背景中的目标检测
自然背景(如草丛、树木等)具有非常弱的偏振特性,而车及其他人造目标通常具有较强的偏振特性。在无偏图像中,对于树木后面的车这个检测目标而言,由于其距离较远,目标在图中并不明显。通过红外偏振滤波能够弱化自然背景的亮度,进而凸显出目标。因此,对于处于杂乱背景中的目标,利用偏振红外成像技术能够有效地提高信杂比,提高目标检测的可靠性。
如图6所示,在高温天气下,人和背景树的温度差异很小,处于树林中的车在无偏红外图像图6 (a)中很难被辨别。但是,由于车与树的热辐射在偏振特性方面具有较大差异,通过红外偏振成像图6 (b)可以有效地辨别出目标。
3.2.2 水面目标检测
水面小目标在红外成像过程中,往往会受到水杂波的影响。同时,在红外波段,太阳耀光依然对水体的发射辐射有影响,而这种影响主要是在镜面反射中体现的,进而产生由水面特征决定的偏振光。偏振成像可以有效抑制水体杂波,准确区分海天线。如图7所示,由于杂波的影响及目标与水体温度相近,很难从无偏红外图像中判别出目标。水体的红外偏振特性与目标的红外偏振特性有很大的差异,体现在红外偏振图像中,表现为目标与背景的信背比很高,目标很容易被辨别。


图6 于自然背景中的目标红外偏振图像


图7 水面目标的红外偏振图像
3.2.3 道路检测
在道路检测过程中,道路周边的草丛、树木等自然场景具有非常弱的偏振特性,但是道路为人造目标,其表面光滑平整,表现出了很强的偏振特性。利用不同物体对辐射偏振特征影响的差别,可以凸显出偏振特性明显的目标。如图8所示,由于道路周边环境的影响及道路与路边草丛温度接近,从图8 (a)红外强度图像中很难区分出道路与周围草丛。但是,草丛的红外偏振特性与道路的红外偏振特性存在很大差异,通过图8 (b)的红外偏振图像,可以很容易辨别出道路。


图8 道路的红外偏振图像
04
作为一种新型的光电探测技术,红外偏振成像探测在军事和民用领域中均展现出了广阔的应用前景,受到了国内外众多学者和有关部门的高度关注。本文对近几年红外偏振成像探测技术的理论、系统、应用等方面进行了总结,通过实验仿真和实际拍摄的红外偏振图像对红外偏振成像探测技术的发展动向、存在问题和解决思路给出了系统的综述。尽管红外偏振成像技术已被成功应用于多个领域,但其目前在理论上尚未形成统一的框架,而在实际系统设计中则缺乏有效的指导原则。
文章来源:《飞控与探测》2019年第3期

长按二维码
关注我们吧


免责声明:本文旨在传递更多科研信息及分享,提供志同道合者的交流平台。如涉及侵权,请联系下方邮箱,我们将及时进行修改或删除。转载请注明出处,如原创内容转载需授权,请联系下方微信号。
邮箱:janechou@imeta-center.com
微信号:18305163023

