
今天我们继续为大家带来本周的超材料前沿研究精选,内容涉及离散力学超构材料的逆向设计、短腔量子级联VECSEL宽带连续单模调谐激光器、空间光谱采样的远场亚波长分辨率成像、收缩光子晶体实现彩色结构三维打印、单片纳米光子近场成像等敬请期待!
索引
1.离散力学超构材料的逆向设计
2.短腔量子级联VECSEL宽带
连续单模调谐激光器
3.空间光谱采样的远场亚波长分辨率成像
4.收缩光子晶体实现彩色结构三维打印
5.基于亚波长光栅超材料的超紧凑型
GRIN透镜用于光斑尺寸转换
6.单片纳米光子近场成像
7.SCAPE 2.0:活体大视野实时体成像技术
8.超声成像研究哺乳动物
编辑基因的表达情况
9.低成本高性能热电材料SnS0.91Se0.09晶体
01
声学超构材料可以精确控制声波的传播,从声学掩蔽和透镜到艺术方面。通常,这种材料的反直觉特性产生于其振动光谱中的间隙,这些间隙会阻止或减弱特定频率范围内的声音传导。增材制造技术(如三维印刷和光刻)的最新进展使得现在能够组装和实验描述几何复杂的力学超构材料。同时,富有洞察力的理论研究也大大提高了我们对晶格几何和破碎对称性对声学超构材料的能带结构、模式定位和拓扑保护的影响的理解。尽管取得了如此重要的进展,但在具有任意可编程光谱和模式的力学超构材料逆向设计方面仍然存在重大挑战。特别是,系统设计高度无定形、动态可调的结构,允许在间隙状态和未附着状态之间进行受控切换,这仍然是一个重要问题。
来自Massachusetts Institute of Technology的Jörn Dunkel研究小组介绍并演示了一个理论和计算框架,以解决各种离散力学超构材料的静态和动态逆向设计任务。一个灵活的计算逆向设计框架,它允许在离散声电子结构谱中几乎任意位置有效地调整一个或多个间隙。基础算法直接优化了弹性网络的线性响应,适用于有序和无序的结构,在二维和三维中有效扩展,并可与广泛的数值优化方案相结合。通过设计机械带隙开关来打开和关闭预编程的光谱间隙,以响应外部应用的刺激(如剪切或压缩)。进一步表明,设计的结构可以承载拓扑保护的边缘模式,并通过显式三维有限元模拟连续弹性与实验相关材料验证数值预测参数。总的来说,这种基于网络的逆向设计范式为制造声超构材料、DNA折纸结构和拓扑电路提供了一条直接途径,这些电路可以实现广泛的静态和动态目标功能。相关文章发表在杂志《Physical Review Materials》上。

文章链接:
https://doi.org/10.1103/ PhysRevMaterials.3.095201
02
宽调谐范围的单模激光光源具有广泛的应用前景,包括宽带光谱学、频率灵敏外差接收机和光学相干层析成像等。尽管有各种各样的优化激光光谱调谐技术,但一直没有取得突破性的进展。我们知道,改变激光腔的长度是一种简单的连续调谐激光波长的技术,但除了垂直腔面发射激光器(VCSEL),却很少用于宽分数调谐。这是因为,为了避免模跳,腔必须要短,以确保相比于高增益带宽的材料而言有一个大的自由光谱范围。太赫兹的量子级联激光器是这种短腔结构的理想候选器件,因为它们具有优越的增益带宽,并且可以与宽带放大超表面集成。
近日,美国加州大学洛杉矶分校Benjamin S.Williams 等人提出了一种基于量子级联超表面的垂直-外腔表面发射激光器(QC-VECSEL),它对单个激光模式的连续分数调谐超过20%。之所以能实现宽谱调谐是因为超表面有亚波长厚度,这允许激光存在于低阶法布里佩罗腔模式下。同时获得了良好的光束质量和高的输出功率。该工作关键的技术是由高效的反射阵列组成的超表面;它不仅回避了防反射面涂层的问题,而且它的光学薄剖面允许激光照射在非常低阶纵向模式(低至m= 2)的外部腔。调谐范围的主要限制因素是超表面的相位响应。实现更宽谱的调谐可行性方案包括超表面和输出耦合器的相位调控工程,以及设计更薄的超表面,以突破在m=1模式下腔长调谐极限。此外,作者表示,要进一步提高设备性能和可靠性可以通过MEMS技术制备出宽带、频谱稳定的输出耦合器。相关研究近日发表在《Nature Photonics》上。

文章链接:
Christopher A. Curwen et al, Broadband continuous single-mode tuning of a short-cavity quantum-cascade VECSEL,Nature Photonics(2019).
doi.org/10.1038/s41566-019-0518-z
03
由于成像的广泛应用,在不受工作波长限制的情况下实现空间分辨率始终受到极大的关注。然而,衍射极限表明小于半波长的精细特征由倏逝谐波携带,其振幅随传播距离呈指数衰减。当成像距离大于波长时,这些谐波的贡献可以忽略不计。为了规避固有的限制,光学元件应有能力捕获空间信息的倏逝部分。通过机械扫描敏感探头,近场显微镜(NFSM)可以超过衍射极限一千倍,但成像操作非常耗时。为了在一次拍摄中获得超分辨率的图像,Pendry从理论上利用了完美透镜的概念,利用材料中的等离激元效应来增强倏逝波。不久之后,这种成像方法通过惰性金属和介电等质子板在光学波长上进行了实验验证。虽然这种透镜的成像能力可以通过其他方法得到进一步提高,但工作距离仍受近场的影响。一个非凡的装置,被称为超透镜,能够转换的倏逝谐波通过弯曲的几何或光栅传播波,通过这种方式,超高分辨率图片在远场中形成。超透镜可以通过等离激元和普通介电材料的周期性排列来构造。
来自北京大学的Pu-Kun Liu研究小组介绍了空间频谱采样方法,一种微波和太赫兹区域的远场超分辨率成像方法。强色散和动量守恒使表面等离激元(SSP)结构成为空间谐波的敏感探针。这允许通过调谐和记录远场的 SSP 提取目标的空间信息,包括行波和倏逝波成分。然后,通过采样空间光谱的逆傅立叶变换构造具有亚波长分辨率的图像,用调节过的亚波长金属光栅为探针,对0.17倍波长的远场分辨率进行了数值和实验验证,并充分讨论了二维成像能力。通过优化 SSP 结构,可以进一步提高成像能力和灵活性。该工作机制在微波和太赫兹频率范围内的超分辨率成像应用中将具有巨大的潜力。相关研究发表在杂志《Physical Review Applied》上。

文章链接:
https://doi.org/10.1103/PhysRevApplied.12.034046
04
一些蝴蝶、厚纹象鼻虫和许多变色龙的颜色是自然生物利用光子晶体产生彩色图案的显著例子。尽管纳米技术取得了突飞猛进的进步,但我们仍然缺乏以这种微观尺度在所有三维空间中打印任意颜色和形状的能力。要充分发挥三维光子晶体结构在集成光学元件、三维光子集成电路、防伪防伪标签、无染料结构彩印等领域的广泛应用潜力,需要具备对这些晶体进行精确图案设计和定位的能力。然而,迄今为止,这种随意定位结构颜色的能力一直未能实现。这种三维结构的制造仍然是一个挑战,其中包括手工堆砌具有严格对齐要求的二维结构。通过3D打印的增材制造消除了这种繁琐的组装过程,从而实现了复杂三维光子结构的精确制造。这些结构使我们能够在亚显微尺度上控制光的光程、偏振和振幅,从而获得在普通的材料中无法观察到的增强的或新的光学特性。
近日,新加坡科技设计大学Joel K.W.Yang等人设计了一种热收缩的方法来制备3d打印的光子晶体,晶格常数降低了5倍,可获得100纳米以下所有颜色特征。研究人员将这些晶格结构作为三维彩色体单元,打印出了三维微观尺度的物体,其中包括第一个只有39微米高、彩色像素大小为1.45微米的埃菲尔铁塔多色微观模型。热收缩法使人们能够很容易地突破三维TPL系统的分辨率。在没有拟合参数的情况下,光子带隙结构计算与实验结果很好地吻合,使得能够清晰地识别出慢光模式和阻带作为光谱峰值的来源,从而产生全范围的颜色。作者表示,虽然已经证明这一过程可以在交联光刻胶中,在单个物体上重复创建均一图案颜色的打印样品,但这一方法也很可能拓展到折射率更高的无机光刻胶中,如二氧化钛。该工作展示了在复杂的三维物体中随意创建结构颜色的能力,并可以扩展到紧凑的光学元件和集成的三维光子电路的开发。相关研究工作近日发表在《Nature Communications》上。

文章链接:
Yejing Liu et al, Structural color three-dimensional printing by shrinking photonic crystals, Nature Communications, (2019) 10:4340.
doi.org/10.1038/s41467-019-12360-w.
05
基于亚波长光栅超材料的超紧凑型
GRIN透镜用于光斑尺寸转换
光学渐变折射率(GRIN)材料能够应用于光准直、波导交叉、多模波导弯曲或光学隐形等方面,因而引起了人们越来越多的关注。渐变折射率材料可以通过复杂的灰度光刻或通过使用亚波长光栅(SWG)来实现。亚波长光栅是一种周期性介电结构,其周期小于通过它传播的波长,从而可以使用单个蚀刻步骤加工具有可控等效折射率的超材料。高性能SWG已经在硅绝缘体(SOI)平台上成功实现,包括集成生物传感器、超宽带波导耦合器和窄带布拉格滤波器等。这种均匀的SWG的各向异性最近已被用来实现更先进的功能,例如宽带、倏逝场调控和高性能偏振调控。但是,在梯度指数超材料中,这种固有各向异性的优势仍未得到充分的研究。
近日,来自西班牙工业大学的研究人员展示了使用基于SWG的各向异性GRIN材料来实现超紧凑、鲁棒且高效的光斑尺寸转换器。通过连续改变SWG结构的占空比(DC)能够在横向方向实现GRIN结构。研究人员开发了各向异性等效材料模型,该模型表明各向异性可以缩短器件的长度,并提供一种快速而准确的方法来设计基于SWG的GRIN材料。这种转换器实现了将基本TE模式从0.5 µm宽的光斑到15 µm宽的尺寸转换。器件总长度为14 µm,比常规器件短十倍。相比状态的最先进的斑点尺寸转换器,研究人员实现了空前的130 nm带宽,测得的插入损耗低于1 dB。

文章链接:
J.M. Luque-González, R. Halir, J.G. Wangüemert-Pérez, J. de-Oliva-Rubio, J.H. Schmid, P. Cheben, Í. Molina-Fernández, A. Ortega-Moñux, An Ultracompact GRIN-Lens-Based Spot Size Converter using Subwavelength Grating Metamaterials, Laser & Photonics Reviews, 0 1900172 https://onlinelibrary.wiley.com/doi/full/10.1002/lpor.201900172
06
单片纳米光子近场成像
超宽带(UWB)近场和远场成像器已经成功应用于近场雷达、透壁成像、跟踪和定位、物联网低功率通信以及深度分辨率成像。在医学领域,超宽带成像器已经被用于癌细胞的检测、脑成像、心脏运动成像和呼吸率监视等。以往UWB近场成像器往往通过大体积的台式系统实现,通过一列窄时域脉冲(通常为单周期脉冲)照亮目标对象,并使用宽带天线阵列接收反射脉冲并进行处理以形成图像。尽管具有出色的性能,但这些台式系统体积庞大、价格昂贵、功耗高并且容易受到电磁干扰的影响。
近日,来自宾夕法尼亚大学的研究团队报导了第一台集成纳米光子近场成像器,研究人员使用UWB天线接收来自目标物体的反射宽带微波信号,并使用电光环形调制器将其变频到光域。使用光学延迟线并结合11×11光电二极管矩阵进行光检测,从而进一步放大光电流并检测能量,以形成目标物体的近场图像。利用先进的金属堆叠工艺,光子延迟线的芯片面积比同类等效电子延迟线面积减小约44倍,并且其传输损耗要低16倍以上。此外,光子延迟线及相关装置在微波状态下不受杂散信号磁耦合和电磁干扰的影响。该成像器芯片能够同时接收121条光束,其延迟分辨率为9.8 ps,能够用于形成不同物体的近场图像。

文章链接:
Farshid Ashtiani, Angelina Risi, and Firooz Aflatouni, "Single-chip nanophotonic near-field imager," Optica 6, 1255-1260 (2019) https://www.osapublishing.org/optica/fulltext.cfm?uri=optica-6-10-1255&id=421720
07
SCAPE 2.0:
一种活体大视野实时体成像技术
在过去的二十年里,对承细胞结构和功能的分子或者基因的标记技术有了显著改进。然而,对活体样本进行三维实时成像仍然是一个相当大的挑战。尽管组织清除(Tissue Clearing)和扩张(Tissue Expansion)技术为细胞结构和连接提供了更丰富的新视角,但对大样品的实时,大视野的高通量观察仍然是极大的挑战。大多数显微成像技术在视野、采样密度和成像速度之间进行折衷,权衡。这种局限性限制了对复杂运动的观察和对细胞短暂,快速信号的研究,极大限制了高通量成像技术的发展。
最近,来自哥伦比亚大学(Columbia University),名古屋城市大学(Nagoya City University)等单位的研究人员提出了一种共焦对准平面激发(SCAPE)显微成像技术。研究人员将高速增强型摄像机技术与多功能、可重构和显著改进的扫描技术相结合,可以通过一个静止的物镜,以每秒100个体积(vps)的速度提供深度分辨率的高速成像。SCAPE 2.0可在每秒300多个体积和1.2 GHz像素速率下实现高分辨率体积成像。对自由运动的秀丽隐杆线虫进行了近各向同性采样,以细胞分辨率观察了动态神经活动,分析了斑马鱼搏动心脏的实时血流和钙动力学。该系统还允许对已安装、完整、清除和扩展的样品进行高通量结构成像。论文以Real-time volumetric microscopy of in vivo dynamics and large-scale samples with SCAPE 2.0为题发表在Nature Methods上。

a:SCAPE成像几何:一个倾斜的光片沿着yz'照亮样品,而产生的荧光通过同一个物镜收集,振镜沿x扫描。
b:实验样品放置图,(i)用玻璃盖玻片盖住的秀丽线虫;(ii)用玻璃培养皿倒置的斑马鱼心脏;(iii)组织清除的扩张脑;(iv)平贴的视网膜标本。
c:SCAPE2.0结构组成示意图。
文章链接:https://www.nature.com/articles/s41592-019-0579-4
DOI:10.1038/s41592-019-0579-4
08
超声成像研究哺乳动物
编辑基因的表达情况
超声波可以显示出心脏瓣膜的渗漏,肌腱的撕裂,子宫内的婴儿的早期快照。现在,研究人员已经证明,超声波还可以测量动物体内某些基因是否被打开,这项壮举有朝一日可以帮助研究人员了解肿瘤生长,神经细胞功能。我们都知道在完整的生物体中研究细胞功能是生物学研究和合成生物学中的一个十分吸引人的课题。最常见的细胞过程成像方法,如基因表达决定荧光蛋白的发光,但是光在生物组织中的穿透性差,在完整动物组织中观察深度有限。相比之下,超声很容易穿透大多数组织,具有良好的空间和时间分辨率(分别约100μm和约1 ms),且超声成像是非侵入无创成像。这些功能,加上它的安全性、便携性和低成本,使得超声波在生物医学中得到了广泛的应用。
自然界中,某些水性细菌和古细菌中形成的气体囊泡、充满空气的蛋白质纳米结构包括一个2纳米厚的蛋白质外壳,包围一个尺寸约为100纳米的气室。它们的气体内部和周围水介质之间的声阻抗不匹配允许气体囊泡强烈散射声波,从而使其成为超声造影剂成为可能。最近,一项基因工程的研究成功地在共生细菌中表达了作为声学报告基因(ARGs)的气体囊泡,使得它们可以在小鼠胃肠道成像。如果可以为哺乳动物细胞开发ARGs,那么这将有助于研究这些细胞在生物体内的发育、功能。
最近,来自加利福尼亚理工学院帕萨迪纳分校(California Institute of Technology, Pasadena)和宾夕法尼亚大学(University of Pennsylvania)的研究人员引入了哺乳动物声学报告基因。首先从一个来自细菌的基因簇开始,设计了一个真核基因程序,随后被引入哺乳动物细胞,引导细胞内充满空气的蛋白质纳米结构(称为气体囊泡)的表达,产生超声造影。哺乳动物的声学报告基因允许细胞在低于0.5%的体积密度下可视化,并允许对活体动物的基因表达进行高分辨率成像。论文以Ultrasound imaging of gene expression in mammalian cells为题发表在Science上。

(A)用于鉴定哺乳动物细胞中能够产生气泡的基因组合的瞬时共转移示意图;(B)九个巨大芽孢杆菌基因在哺乳动物细胞中编码气囊泡表达的示意图;(C)HEK293T细胞表达的纯化气泡的典型透射电镜图像;(D)包含哺乳动物ARG结构物和mARG的基因盒;(E)从瞬时转染mARG的HEK293T细胞中纯化的气泡的典型透射电镜图像。所有刻度尺均为500纳米。
文章链接:
https://science.sciencemag.org/content/365/6460/1469 DOI:10.1126/science.aax4804
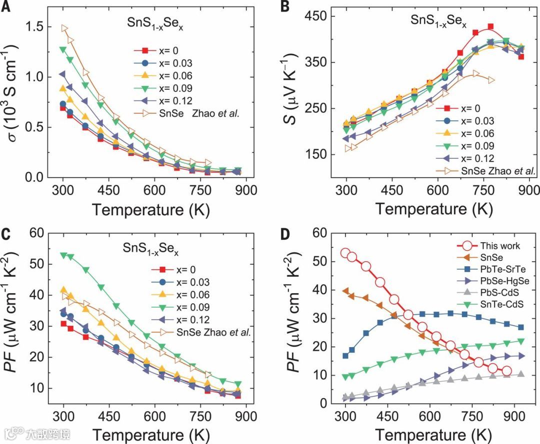
09
低成本、高性能热电材料
——SnS0.91Se0.09晶体
热电技术实现了热能和电能之间的可逆转换,为收集废热发电以及固态冷却进行制冷提供了一条环保途径。许多优质的热电材料包含稀有或有毒元素,因此开发低成本和高性能的热电材料至关重要。对于给定的热电材料,热电技术的转换效率取决于品质因数(ZT),ZT =S2σT/(κlat+κele),其中S为塞贝克系数,σ为电导率,T为温度(以开尔文为单位)以及κlat和κele分别是声子和电子对热导率的贡献。这些热电参数相互影响,所以我们很难通过操纵单一参数来改善整体的热电性能。目前已有的几种改善ZT的策略包括通过频带收敛、频带平坦化或态密度(DOS)失真来优化功率因数(PF =S2σ);通过引入纳米结构或全方位的分层体系结构来降低热导率;通过嵌入磁性纳米粒子解耦热电参数。最后,还可以开发出本质上具有低导热率或大功率因数的全新材料,或者通过可靠的高通量材料筛选寻求高性能的热电材料。
对于给定的热电材料,操纵电子能带结构需要优化无量纲品质因数(β),β∝(m *)3 /2μ,其中m *和μ分别为有效质量和载流子迁移率。众所周知,两波段会聚和发散相反,对于热电材料,m *和μ的行为通常是反相关的,协同优化它们具有挑战性。在这项研究中,北京航空航天大学赵立东教授团队采用温度梯度法和2%的Na掺杂合成了SnS1-xSex晶体。在SnS0.91Se0.09晶体中,300 K下实现功率因数从30 μW/(cm•K2)提高到53 μW/(cm•K2),同时降低了Se合金化后的导热系数;873 K时获得了最高品质因数ZTmax为1.6,在300至873 K间获得的平均ZT值为1.25。他们研究了三个独立电子带的温度依赖性演化和相互作用,涉及两带会聚,两带发散和两带交叉的相互作用。随着温度的升高,三个相互影响的频段变得更加清晰。通过密度泛函理论(DFT)计算和角度分辨光发射光谱(ARPES)测量证实了谱带相互作用。将S替换为Se,可以促进三个独立的电子带的相互作用,从而成功优化m *和μ。该频带操纵策略为优化热电性能提供了另一条途径,高性能SnS晶体为向低成本、环保热电迈出了重要一步。该工作于近日发表在《Science》上。

文章链接:
https://science.sciencemag.org/content/365/6460/1418 DOI: 10.1126/science.aax5123
长按二维码
关注我们吧

免责声明:本文旨在传递更多科研信息及分享,如涉及侵权,请联系下方邮箱,我们将及时进行修改或删除。转载请注明出处,如原创内容转载需授权,请联系下方微信号。
邮箱:janechou@imeta-center.com
微信号:18305163023

