

导读
反演对称性破缺和三重旋转对称性赋予过渡金属二硫化物(TMDC)单层材料激子一个额外的谷自由度(valley degree of freedom),有望发展谷电子学应用。然而,亮激子的寿命非常短,极大地限制了其应用潜能。相反,暗激子因为自旋禁闭,不能弛豫到较低的能级,因而具有更长的寿命,使其在作为量子比特方面更有应用前景。近日,美国伦斯勒理工学院史夙飞教授及其合作者在ACS Nano发表了题为“Momentum-Dark Intervalley Exciton in Monolayer Tungsten Diselenide Brightened via Chiral Phonon”的研究论文 (ACS Nano, doi.org/10.1021/acsnano.9b06682)。

在高质量的BN/WSe2/BN三明治结构器件中,通过低温光致发光光谱 (PL),研究人员发现谷间激子(电子和空穴分别位于不同能谷),可以通过与位于K点手性LO(E')声子的相互作用,电子可以通过发射一个手性声子跃迁到位于K的一个虚拟态 ,然后与空穴复合,手性声子的赝角动量传递到了发射的光子从而发出圆偏光,因此可以读出谷信息(如图1所示)。谷间激子不仅具有暗激子的长寿命,同时还有亮激子的量子性质,为开发下一代量子信息处理和存储器件提供坚实基础。

图 1 谷间激子和手性声子LO(E')相互作用示意图
首先,研究人员发现在不同批次器件中发现同一个特征峰(
),它与暗激子的能量差恒定为~16 meV。通过PL随静电掺杂的变化发现(图2),它与暗激子一样,都只出现在电中性区域,从而排除它是带电暗激子以及Q-K激子的可能性。

图2 BN/WSe2/BN三明治结构器件在不同静电掺杂下的PL特性
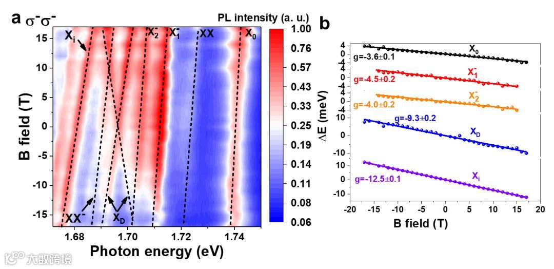
其次,通过考察PL随磁场变化趋势发现,由于塞曼效应,谷间激子
展现与暗激子
不同的变化趋势,暗激子呈现一个X型图案,而谷间激子则表现出与亮激子
一样的特征,说明谷间激子具有与亮激子一样的谷极化特性。同时可以通过线性拟合得到谷间激子的g值为-12.5,与理论计算结果相当。

图3 BN/WSe2/BN三明治结构器件随磁场变化的PL性质

图4 谷间激子的谷极化特性和寿命
最后,研究者分别测量了谷间激子的谷极化特性和寿命。结果表明,估计暗激子具有比亮激子更大的谷极化度,达到了36%;同时,其寿命为200 ps,远大于亮激子的5 ps,而与暗激子的250 ps相当。
本研究揭示了谷间激子不仅具有暗激子长寿命,同时还有亮激子的谷自旋特性,为开发基于TMDC的新型量子光电器件提供有力平台。论文的共同一作是李志鹏博士,博士生王天盟和金晨皓博士。共同通讯作者是史夙飞教授,任天辉教授和张力发教授。其他合作者还包括FSU的博士生陆正光,华盛顿大学的曹霆教授,日本的Taniguchi和Watanabe博士,亚利桑那州立大学的Tongay教授和美国国家高磁实验室的Smirnov博士。
文章信息
Momentum-Dark Intervalley Exciton in Monolayer Tungsten Diselenide Brightened via Chiral Phonon
Zhipeng Li, Tianmeng Wang, Chenhao Jin, Zhengguang Lu, Zhen Lian, Yuze Meng, Mark Blei, Mengnan Gao, Takashi Taniguchi, Kenji Watanabe, Tianhui Ren, Ting Cao, Sefaattin Tongay, Dmitry Smirnov, Lifa Zhang, Su-Fei Shi

https://pubs.acs.org/doi/10.1021/acsnano.9b06682
长按二维码
关注我们吧
免责声明:本文旨在传递更多科研信息及分享,如涉及侵权,请联系下方邮箱,我们将及时进行修改或删除。转载请注明出处,如原创内容转载需授权,请联系下方微信号。
邮箱:janechou@imeta-center.com
微信号:18305163023

