

论文链接:https://doi.org/10.1038/s41377-019-0227-x
导读
近日,荷兰阿姆斯特丹大学纳米光子学中心的Kévin G. Cognée,Hugo M. Doeleman和A. F. Koenderink与法国波尔多大学的Philippe Lalanne合作在《Light: Science & Applications》(中文名称《光:科学与应用》)期刊上发表了题为“Cooperative interactions between nano-antennas in a high-Q cavity for unidirectional light sources”的文章。他们设计并实验制造了一种高品质因子的等离子体—光子混合模式谐振腔,该混合模式谐振腔是在氮化硅微盘上布置成对的等离子体天线(铝天线二聚体)实现的。该系统利用谐振腔模式能够实现谐振偶极—偶极相互作用,通过预测和测量谐振线宽和频移可以明显观察到这种相互作用。同时,他们把“相控阵”天线的物理概念引入到等离子体—光子混合谐振腔中,预测到相比于单个天线,该系统能够构造出显著增强的局域态密度,联系到向腔内单向注入荧光的意义上来,这种增强是“手性的”。并且实验结果直接验证了所预测的偶极天线耦合的协作效应,该效应是天线间距对混合模式品质因数和谐振条件的函数。
研究背景
创新研究
文章中的工作考虑的是多个金属纳米粒子与光学微腔的杂化混合,这种体系具有三个创新点。第一点是它实现了谐振腔中偶极—偶极相互作用导致的协同散射,为量子光学中重要的协同辐射问题提供了一种经典的初级形式。第二点是从天线的角度来看,将相控阵天线的概念引入到杂化混合系统中,不仅实现了对Purcell因子的增强,还对远场辐射通道进行了分配。第三点是研究杂交混合系统的腔模式,实现了Wiersig观点中的等离子体实现的第一步,该观点提出回音壁模式微腔上的介电散射体能够支持与特殊点(exceptional point)相关的手性本征模式。
图片速览


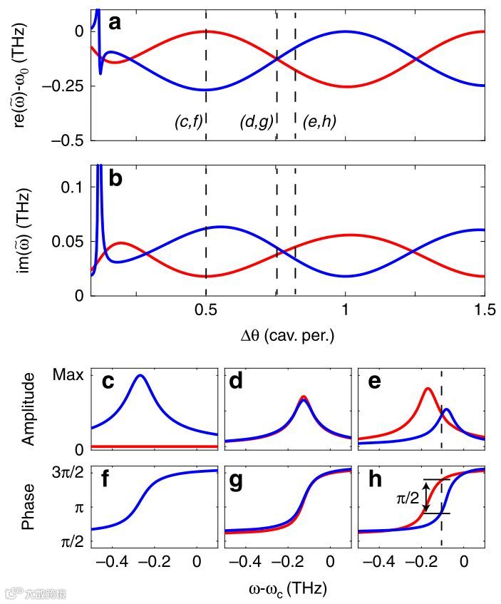
图3 天线二聚体微盘腔系统的复本征频率 (a)本征频率的实部;(b)本征频率的虚部,对称模式(蓝色),反对称模式(红色);(c, d, e) 振幅;(f, g, h)相位

图4 实验装置示意图,使用窄带宽可调谐二极管激光器和锥形光纤激励微盘腔,同时将物镜收集到的锥型光纤的反射,透射和向外散射记录到相机或光电二极管上

图5 天线二聚体微盘腔系统的散射特性和本征频率 (a)偶极图解释对称简并准正规模式的远场辐射;(b, c)预测对称和反对称简并准正规模式的近似角辐射模式;(d)锥型光纤的透射(红色)和反射(蓝色)的二极管信号;(e)记录到的辐射图像;(f)谐振频率;(g)线宽,对称模式(蓝色),反对称模式(红色)
图6 模式劈裂与天线间距之间的关系 (a)对称模式与反对称模式的谐振频率差;(b)对称与反对称模式的线宽之差;(c)很强蓝失谐天线的谐振频率差(蓝色)和线宽之差(红色);(d)对称与反对称模式的独立线宽;(e)方位角模式数;(f)极坐标表示下的测量值
文献链接:https://doi.org/10.1038/s41377-019-0227-x

长按二维码
关注我们吧


免责声明:本文旨在传递更多科研信息及分享,如涉及侵权,请联系下方邮箱,我们将及时进行修改或删除。转载请注明出处,如原创内容转载需授权,请联系下方微信号。
邮箱:janechou@imeta-center.com
微信号:18305163023

