

自从石墨烯被发现之后,基于二维材料的光电探测器就引起人们巨大的兴趣和研究热情,这是因为二维材料具有原子层的厚度、强的光与物质相互作用以及层数调控的电学和光学性质等优点。各种超高响应度、超高增益、超高比探测率的高性能光电探测器被先后制备出来,从过渡金属硫族化合物TMDCs、III-V族层状半导体,到窄禁带的黑磷等等,覆盖了从紫外、可见到红外的波段范围。到目前为止,这些拥有超高响应度的基于二维材料的光电探测器大部分都工作在光电导模式(包括光诱导栅压模式),尽管具有高的增益,但器件的暗电流很大,响应时间也很慢。此外,光电导模式的探测器需要外加偏压才能工作,因此会有静态功率损耗,不适用于自驱动、便携式电池供电的器件应用领域。高性能探测器应该同时拥有高的响应度、快的响应速度、高的信噪比以及低功耗或者无功耗。光电二极管探测器可以满足以上这些需求,而二维材料由于其具有表面无悬挂键特点,特别擅长构建界面无位错的范德华异质结,从而实现异质结光伏探测。至目前为止,许多基于范德华异质结的光伏探测器和太阳能电池通过机械堆叠或者范德瓦尔斯外延的方法被制备出来,如WSe2/MoS2、BP/MoS2、MoTe2/MoS2、GaTe/MoS2、GaTe/InSe、GaSe/GaSb和AsP/InSe等。然而,这些光电二极管的外量子效率和光电转换效率仍然较低,分别不超过55%和5%。究其原因,主要有两点,一是在原子层薄的双边耗尽区中光生电子空穴对的遂穿辅助界面复合非常严重,二是二维材料与金属界面通常存在肖特基势垒,导致电极的载流子收集效率很低。除了量子效率低以外,在这些异质结光电二极管中,光生电子和空穴都需要穿过异质结界面而容易被界面缺陷态束缚,导致器件的响应速度变慢。
近日,中国科学院上海技术物理研究所胡伟达、陈效双、陆卫等设计了一种不同于常规pn结的单边耗尽/单边积累的Pp+结。提出了单边耗尽区和单边积累区联合调控内建电场分布的概念,利用p型二维半导体MoS2和AsP的层间范德华力构建异质结。在内建电场作用下,P区的光生电子穿过异质界面与p+的多子空穴复合,被AsP快速收集。单边耗尽区结构通过巧妙地让耗尽层远离界面,避免了界面处缺陷复合中心导致的光生载流子的复合,克服了长期以来困扰二维材料界面光生载流子复合几率大和传输效率低的瓶颈问题;同时由于单边耗尽区结构只有光生电子穿过界面且迅速与p+的多子空穴复合,大大降低了光生载流子被界面缺陷态捕获的几率,解决了二维材料长期以来因光诱导栅压效应导致响应速度慢的难题。该成果从物理上大幅改进了二维异质结界面复合和接触层传输机制,有效提高器件量子效率和响应速度,从而实现高性能光电探测。
图1:MoS2/AsP范德华异质结器件结构示意图、形貌和电学表征
(a)MoS2/AsP范德华异质结器件的结构示意图;
(b)AFM高度图,插图为异质结器件的AFM表面形貌图;
(c)MoS2/AsP范德华异质结器件(反向整流特性)在Vg=0 V时的输出曲线,插图为对数坐标下的输出曲线;
(d)MoS2/AsP范德华异质结器件在不同栅压下的输出曲线,插图为器件的整流比与栅压的关系曲线。
图2:MoS2/AsP范德华异质结表面势测试和不同偏压下的能带示意图
(a)MoS2/AsP范德华异质结的表面势mapping图;
(b)对应的异质结表面势高度图,不同偏压下MoS2/AsP范德华异质结的能带示意图;
(c)Vds =0 V, (d)-0.5 V<Vds <0 V, (e)Vds <-0.5 V 和(f)Vds >0 V。
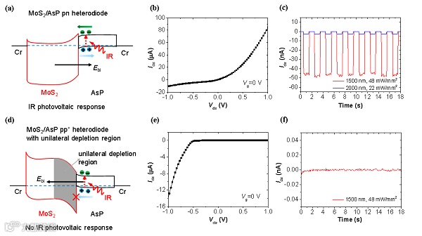
图3:MoS2/AsP范德华pn异质结和单边耗尽区的MoS2/AsP范德华pp异质结的对比
(a)MoS2/AsP范德华pn异质结在红外光入射下的能带示意图;
(b)MoS2/AsP范德华pn异质结的输出曲线;
(c)MoS2/AsP范德华pn异质结在零偏压和红外光入射下的光开关响应;
(d)单边耗尽区的MoS2/AsP范德华pp异质结在红外光入射下的能带示意图;
(b)单边耗尽区的MoS2/AsP范德华pp异质结的输出曲线;
(c)单边耗尽区的MoS2/AsP范德华pp异质结在零偏压和红外光入射下的光开关响应。
图4:单边耗尽区的MoS2/AsP范德华pp异质结器件的光伏响应
(a)器件在无光照和520 nm激光照射下的输出曲线;
(b)器件在520 nm不同功率激光照射下的输出曲线;
(c)器件在520 nm不同功率激光照射下的输出电功率曲线;
(d)器件的短路电流和开路电压与入射光功率之间的关系曲线;
(e)器件的填充因子和光电转换效率与入射光功率之间的关系曲线;
(f)器件的响应度和外量子效率与入射光功率之间的关系曲线。
图5:单边耗尽区的MoS2/AsP范德华pp异质结器件的光伏响应机制和时间响应
(a)单边耗尽区的MoS2/AsP范德华pp异质结器件在零偏压和520 nm光照下的能带示意图;
(b)器件的光电流mapping图;
(c)器件在1000个周期性光脉冲下的光开关响应;
(d)器件的时间分辨光电流响应。
本文由中国科学院上海技术物理研究所胡伟达研究员供稿。
文献链接:

https://www.nature.com/articles/s41467-019-12707-3
长按二维码
关注我们吧

免责声明:本文旨在传递更多科研信息及分享,如涉及侵权,请联系下方邮箱,我们将及时进行修改或删除。转载请注明出处,如原创内容转载需授权,请联系下方微信号。
邮箱:janechou@imeta-center.com
微信号:18305163023

