
今天我们继续为大家带来本周的超材料前沿研究精选,内容涉及光子芯片助力结构照明显微术、具有动态超表面孔径的无源微波光谱成像、无反射超表面的弹性波能量捕获等敬请期待!
索 引
1.基于编码超声调制散斑的动态散射介质荧光相关成像
2.光子芯片助力结构照明显微术
3.具有动态超表面孔径的无源微波光谱成像
4.超带宽集成纳米光机位移传感器
5.基于高阶偶极子的可切换全介电磁电镜
6.虚拟的时空对称
7.随机共振超材料用于弹性振动的单传感器探测
8.无反射超表面的弹性波能量捕获
基于编码超声调制散斑的
动态散射介质荧光相关成像
得益于广泛的光与物之间的相互作用,和大量存在的内源性和外源性造影衬度,光学成像对许多研究领域都是不可或缺的。然而通过生物组织等不透明散射介质的光学成像一直是一个极具挑战性的问题。散射引起的波前随机性扰乱了光在空间中的相干性。虽然波前调控等方法已经开始解决这一挑战,但其中一些散射介质的动态特性(如活体组织的动态变化就是一个突出的例子)为这一挑战增添了另一个维度。相比之下,软组织对超声的散射比光小得多,因此被广泛用于组织内部的成像。然而,通过超声成像生物组织并不能展现出丰富的对比特征,因此显示的功能信息较少。因此,能够协同地结合声和光的优点的方法是非常可取的。光声成像就是一个例子,它依靠光吸收物体的热膨胀来产生超声波信号。虽然光声学在图像中提供了良好的吸收对比度,但它不太适合获得荧光对比度。
最近,来自美国加州理工学院(California Institute of Technology)的研究人员报道了一种在高动态散射介质中工作的超声荧光成像方法。在这种方法中,时变散射样品中散斑图案的不断变化,与动态散射介质中的超声焦点相关联的超声调制光信号与该位置处的波动散斑强度直接相关。同样,来自同一位置的荧光信号与波动的散斑强度相关。因此,通过测量和关联超声调制光信号和样品中的荧光信号,我们可以分离出由超声焦点定义的目标位置发出的荧光信号。通过扫描超声焦点并重复上述过程,研究人员获得了散射介质中荧光物体的图像,分辨率提高到≤75 μm(相比之下直接光学成像仅仅1.3 mm)。这种新的成像方式为高散射组织的荧光成像铺平了道路。文章以Fluorescence imaging through dynamic scattering media with speckle-encoded ultrasound-modulated light correlation为题发表在nature photonics上。(鲁强兵)

a、简化设置。激光束在动态散射样品中激发荧光物体。同时,聚焦超声束调制通过超声焦点的光子。荧光光和超声调制光分别用二色镜分离,用光电探测器和照相机同时测量。在位置1,超声焦点与荧光物体重叠;在位置2,超声焦点远离物体。b、位于散斑A处的荧光物体发射与时变散斑强度同步的波动荧光信号。同样,位于散斑A处的超声焦点产生与散斑强度同步的波动超声调制光信号。因此,荧光和超声调制光信号的相关性很高。如果超声焦点位于不同的散斑(散斑B),则两个信号的相关性将很低。
文章链接:
https://www.nature.com/articles/s41566-020-0630-0
doi: 10.1038/s41566-020-0630-0
光子芯片助力结构照明显微术
结构照明显微术(SIM)能够对亚细胞结构进行实时高速超分辨率成像。目前,线性SIM采用自由空间光来照明特定光学图案的样品;然而,该方法很容易出现偏差,并增加实验成本和显微镜的复杂度。
近日,挪威北极大学物理与技术系Balpreet Singh Ahluwalia等人提出了一种新的基于光子芯片的二维SIM方法(cSIM),在该方法中,传统的在显微镜中滑动的玻璃样品被一个平面光子芯片所取代,该芯片对于支撑和照亮样品十分重要。该光子芯片将SIM光照明路径的足迹减少到大约4.4 cm2。此外,芯片上的光波导阵列以不同的角度产生驻波干涉图样,通过倏逝场照亮样品。高折射率氮化硅波导使成像的空间分辨率提高了2.3倍。总的来说,其主要思想是利用光子集成电路(PICs)来生成SIM所需的照明模式,而不是使用传统的物镜方法。该技术具有以下几个方面优势。第一,光子芯片很容易生成用户定义的、高度稳定的芯片上的照明模式,可在距离芯片表面100~150纳米的地方使用,而不需要任何自由空间光学组件。第二,通过使用光子芯片,导模的有效折射率导致将光局域在波导内,从而提高成像效率。第三,由介电材料制成的光子芯片可以在任意大的区域内产生均匀的照明。cSIM提供了一种简单、稳定和廉价的方法,用于大视场二维超分辨率成像。相关研究工作发表在《Nature Photonics》上。(丁雷)

文章链接:
Balpreet Singh Ahluwalia et al, Structured illumination microscopy using a photonic chip. Nature Photonics(2020).
https://doi.org/10.1038/s41566-020-0620-2.
具有动态超表面孔径的无源微波光谱成像
传统的成像系统使用透镜,通过物理操作任意相干的场来实现物体和其图像之间的直接映射。在这样的系统中,光场或电磁场相干性可显著影响成像质量。例如,表现为散斑或有限的焦点深度。尽管如此,由于不同程度的相干性,物理成像的操控在很大程度上保持不变。相比之下,无透镜成像和相关的计算方法对场相干特性非常敏感。全息图像的形成通常需要具有足够相干场的主动照明来产生可测量的干涉效应。类似的要求也适用于计算“鬼成像”和基于阵列的方法,这些方法利用复杂的电场关系通过反向传播和相关技术形成图像。
近日,美国杜克大学电子与计算机工程系Aaron V. Diebold等人提出了一种利用动态超表面实现编码孔径的新技术路径。研究人员证明该器件可以通过一系列单端口光谱幅度测量和调制模式的复杂表征来实现对光谱源分布的评估判断。在这种情况下,图像估计问题可表示为一组标准线性矩阵方程的压缩反演问题。此外,研究人员还证明离散超表面设计可直接实现光谱编码,为频率集成多路测量的光谱成像提供了可能性。微波动态超表面孔径作为一种编码结构,与常用的无源微波成像系统相比,它包含了一个极大简化的硬件结构,廉价且简易。该技术可以用于大规模微波成像应用,而类似的原理可以很容易地应用于太赫兹、红外和光学频率。相关工作发表在《Optica》上。(丁雷)

文章链接:
Aaron V. Diebold et al, Passive microwave spectral imaging with dynamic metasurface apertures.Optica(2020).
https://doi.org/10.1364/OPTICA.386516.
微/纳米光机系统(NOMS)已被广泛研究用于位移、力学和质量的传感,并在原子力显微镜(AFM)、光声光谱、加速度测量和质量传感中得到应用。它们的光学读出具有高分辨率、高工作频率和相对抗噪声的优点。作为一个典型的例子,传统的AFM读出方法,基于悬臂挠度的位置敏感检测,具有较高的分辨率和动态范围,但相对笨重,不容易集成在芯片上。对尺寸和成本的需求正在推动集成读取解决方案的发展。最近,纳米光子腔显示出在集成晶片上实现高分辨率位移传感的潜力。灵敏度由微环、微碟和光子晶体子结构实现,光学Q值可达数十万。然而,谐振腔响应的谐振特性在本质上限制了动态范围和光带宽,对读出系统提出了严格的要求。
近日,荷兰艾恩德霍芬科技大学Tianran Liu等人报告了纳米机械传感器的实际应用的一个步骤。提出了一个集成传感器,以满足基于芯片的位移测量的所有要求。它采用了纳米力学传感器,一个三维定向耦合器,可以将垂直位移转换为两个输出波导的相对传输。同时,该传感器具有45fm /Hz1/2的低位移不精密度,具有较大的位移动态范围(>30 nm)和超宽光学线宽(>80 nm)。这种灵敏度是通过晶片上约0.3 mW的功率实现的。此外,两个用于读出的磷化铟(InP)光电二极管和一个集成了传感器的静电致动器,使得机械谐振器能够实现静态控制和动态电激励。InP平台的使用进一步打开了集成激光读取的道路,为完全集成的光学传感器的设计带来了巨大的潜力。相关研究工作发表在《Nature Communications》上。(丁雷)

文章链接:
Tianran Liu et al, Integrated nano-optomechanical displacement sensor with ultrawide optical bandwidth. Nature Communications, (2020) 11:2407.doi.org/10.1038/s41467-020-16269-7.
基于高阶偶极子的可切换全介电磁电镜
由位移电流引起的磁共振产生的人工磁性与许多奇特的光学和光子效应密切相关,并且在超构材料的高级领域中起着至关重要的作用。相较于等离子体替代物(即复杂几何结构的金属结构单元),基于Mie共振的高折射率介电粒子具有形状更简单,损耗更低的优点。此外,亚波长介电粒子同时支持电和磁偶极响应,最近发现磁也可以通过激发单独的电子共振来实现,这提供了对多极子及其干涉更灵活的控制。此外,通过设计介电颗粒的几何尺寸,可以获得各向异性的磁性,并且这种几何各向异性甚至可以进一步用于同时控制电和磁响应。因此,全电介质超构单元的出现为控制电磁波提供了更大的自由度,并极大地促进了光子学和超构材料器件的发展。
磁镜和电镜都具有电磁特性,因此在军事,医疗和信号传输技术中都具有很高的应用价值。尽管已证明许多种人工磁导体(例如,基于Mie共振的介电立方体或磁盘阵列)可以近似磁镜,但是,大多数磁导体都在狭窄且恒定的频带内工作,最关注的是一阶磁偶极子共振。近日,来自清华大学的研究小组研究介电长方体的共振机制,并采用更高阶的偶极子共振来获得一个双功能且可重构的受温度控制的全介电电镜和磁镜。设计并制造了以Ca-La2O3-TiO2铁电长方体为构件的原型设备,并成功证明了其反射效果以及随温度变化的工作频率可调性。此外,事实证明,高阶电和磁偶极子谐振具有比初级谐振更好的谐振特性,可以有效地抑制相邻磁谐振和电谐振之间的频谱重叠,从而使这种全介电反射器可以在磁镜和电镜切换。此外,所提出的铁电长方体有可能扩展到有源相控超构表面设备和具有更好的阻抗匹配的惠更斯源。我们的工作揭示了高阶偶极共振的特定光学特性,并为实现可调谐和可重构的磁电镜打开了大门。相关研究发表在杂志《Physical Review Applied》上。(刘乐)

文章链接:
https://doi.org/10.1103/PhysRevApplied.13.054031
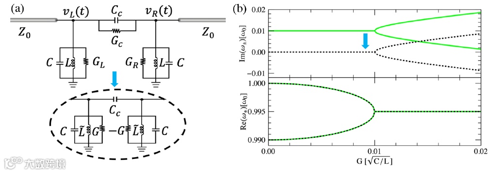
自从发现和证明非厄密现象以来,非厄密波物理学一直受到越来越多的关注,例如单模激光,单向隐形,时空对称激光吸收体对,各向异性传输共振(ATRs),和奇异点(EPs)。 这些现象是在时空(PT)对称性的背景下发现的,这种特殊类型的对称性满足了时空反转的要求,源于理论量子物理学的开创性工作。 PT对称性后来在光子学,电子学,等离激元学,声学和超材构料等经典设置中得到了成功应用。经典的波物理系统中实现PT对称需要增益存在,例如在光学中,PT对称意味着折射率需要实部偶对称,虚部奇对称,也就是复折射率共轭的条件来实现增益-损耗平衡的状态。在光子学中实现足够的增益以及增益引起的不稳定性的产生阻碍在实际设备中实施和验证这些概念的可能性。为了克服这些问题,可以考虑在纯损耗系统中构建一种弱形式的PT对称性。
时空对称性最近在光子学中开辟了令人兴奋的方向,然而,所要求严格的损益平衡已经阻碍了它的广泛应用。近日,来自纽约城市大学的研究小组通过将其扩展到可以模拟无源系统中增益的复频激励,提出了一条无增益途径来实现PT对称性。基于虚拟吸收的概念(这里扩展为实现虚拟增益),研究者在复频平面中实现了PT对称性,并实现了其标志性效应,例如相变破缺,各向异性传输共振和激光吸收体对,由于完全被动的系统而具有固有的稳定性。这些结果为在被动平台中建立PT对称性和非厄密物理学开辟了道路。相关研究发表在杂志《Physical Review Letters》上。(刘乐)

文章链接:
https://doi.org/ 10.1103/PhysRevLett.124.193901
随机共振超材料用于弹性振动的单传感器探测
振动携带了丰富的有用物理信息,它的识别对地震监测、医疗检测、智能设备等多个领域具有重要的意义。但在大多数情况下,振动识别的准确性取决于传感器的数量和位置,还往往依赖复杂的数据采集系统和控制电路。压缩感知测量可以规避传统的测量要求,其与空间编码结构结合在一起,激发了一系列电磁场、声场的单像素相机的研究。然而,由于振动的复杂性,空间振动的编码和单像素测量尚待研究。
近日,来自上海交通大学的研究团队提出了一种随机共振超材料,可以实现单个传感器对弹性振动的识别探测。该超材料由带有随机耦合的局域共振单元构成,其随机的等效质量可以引起高度不相关的振动传输模式。因此,基于这种非相干的传输可以对振动信息进行物理编码。研究人员通过压缩感知的算法进行重构,实现了单个传感器识别不同的振动信息。该工作为单传感器的振动探测提供了新的思路,相关研究于近日发表在《Nature Communications》上。(田源)

随机共振超材料及其结构单元示意图

单传感器对振动信息的探测
文章链接:
https://doi.org/10.1038/s41467-020-15950-1
无反射超表面的弹性波能量捕获
过去几年中,超表面由于其具有亚波长尺度和良好的波调制能力而受到广泛关注,能实现传统材料或器件无法实现的波的全调控。在声学领域,利用超表面实现了许多特殊的波传播现象,比如反常反射和折射、传播波与表面波之间的转换、声聚焦、非对称传输等。此外,“无回声”声超表面可以在耗散介质中捕获声波能量,以实现极高的损耗并防止任何反射,是经典波物理学的一个巨大突破。尽管声学超表面的研究取得一定进展,但关于弹性波超表面地研究较少,也没有研究探索过弹性波的无回声超表面。这主要是由于物理性质的不同,弹性是基于张量物理,而声学是基于矢量物理,利用弹性超表面实现弹性波能量捕获会导致在声学超表面研究中没有考虑到的问题。
近日,韩国蔚山科学技术研究院与首尔大学的研究团队合作设计了一种弹性超表面,由五个不同长度的杆状单元组成,能将纵波和横波模态的弹性波能量捕获在一个有损耗的区域内,且几乎无反射,我们称之为无反射超表面。该超表面具有极高的相位梯度,可以将广角范围内的入射纵波转换为表面波,因此,来自入射纵波的弹性波能量由于元胞的局域共振而在超表面高度集中,如果在超表面区域施加阻尼,可以使能量耗散显著增加。这种无反射的弹性超表面有望对超声器件产生影响。相关研究发表在杂志《Physical Review Applied》上。(赵涵)


文章链接:
https://doi.org/10.1103/PhysRevApplied.13.054036
免责声明:本文旨在传递更多科研资讯及分享,所有其他媒、网来源均注明出处,如涉及版权问题,请作者第一时间后台联系,我们将协调进行处理(按照法规支付稿费或立即删除)。转载请注明出处,如原创内容转载需授权,请联系下方微信号。




