


光纤束内窥镜广泛应用于对人体内难达区域的可视化。然而由于尺寸限制,内窥镜常常不具备调焦能力,只能2维成像。记录3维信息对于内窥镜在精准的临床及生理演绎应用上有很重要的意义。
来自悉尼皇家理工大学的A. Orth, et al.利用光纤束多芯的芯内模式结构来提取光场的空间角信息。实现了对微场景的远端数字再聚焦、立体可视化、表面及深度映射。该工作为基于标准裸纤束的最小侵入式临床内窥镜开辟了新方法。不同于对弯曲异常敏感且不适用于非相干光(如荧光)的相干3维多模光纤成像技术、难以实现的微机电光学系统,该方法为单次、无惯性且弯曲不敏感,在临床应用上很有潜力。

当通过光纤束对一个理想荧光点光源进行成像时(图1 A,B),在轴向距离26 µm处的原始输出图像如图1 C所示,其径向对称源于模式耦合效率与入射光角度的直接相关。而在典型操作中,其角度信息会由于以去像素化为目的的下采样而丢失。由于高阶模式会在大入射角时激发,通过选择性去除芯层边缘的光场,即数字数值孔径滤波技术,我们可以实现合成式压缩的数值孔径(图1 G,H)。
由于芯模的方位角简并性,不能仅凭此观察就可以确定输入光的完整方向(图1 E)。为了克服这个问题,使用“光场矩成像”(LMI)来提取丢失的方位角信息。在LMI中,通过描述两个图像平面之间能量守恒的连续性方程式来计算图像I中给定点的平均射线方向。假设在该平均射线角附近的(角)uv空间中存在高斯分布,则可以构建光场。当改变视点时,所产生的光场会通过对象的横向运动揭示深度信息,并可将其处理为立体图,全视差动画,重新聚焦的图像和深度图。
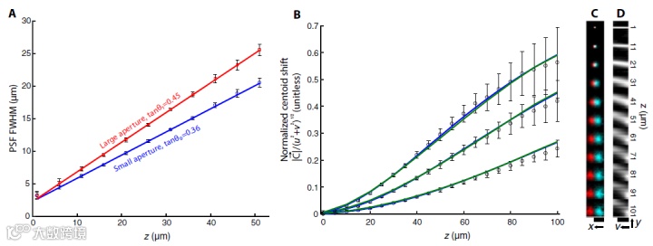
输出面点源的视在尺寸将随着光纤的数值孔径的增大而增大。当通过纤芯掩膜将光纤NA从大(完整)孔径(图1 E,红色)减小到较小孔径(图1 E,蓝色)时,由于景深增加,点扩散函数(PSF)的宽度也会减小(图1 G,H)。

通过将该系统的PSF建模为宽度与最大光线收集角直接相关的2D高斯分布。通过数字NA滤波计算其LMI方程,可以得到光场矩矢量的平移。将2D高斯拟合到一系列深度的大小NA孤立光源的图像上,可得到两最大光线收集角(图2 A)。图2 B显示了在距纤维刻面1至101微米处实验测量的荧光光源的C矢量值,以及仿真和理论结果。模拟和理论都与实验数据非常吻合。

光场中包含的视差可用于重新聚焦场景的图像。我们通过成像随机分布在玻璃片上的荧光珠的集合来证明这种能力(图3)。传统的大口径2D光纤图像(图3 A-C)的分辨率使用标准的“移相加”光场重聚焦技术(图3 D-I)得到增强,并使用3D反卷积进一步完善技术(图3 J-O)。 如图3 E,G,I(重新聚焦的光场焦点堆栈),图3 K,M,O中的xz平面最大强度投影(MIP)所示,焦距堆栈反褶积还显着增加了轴向定位(反卷积光场焦点堆栈)。

场景的3D结构可以通过立体图像和透视移动动画直接观察。对两个3D样品成像,PDMS中的荧光珠(图4 A,B)和带有荧光荧光笔的晶状体组织(图4 C,D)。图4 A,C显示了由完全相反的水平视点组成的红蓝立体图像。如图2 C中所示,视差表现为红色和青色图像中的结构之间的横向位移,从而在佩戴红色-青色眼镜时产生3D图像。尽管这些立体图仅使用两个视点,但光场包含沿任意方向具有视差的场景图像。使用该视点信息以及最小二乘深度映射方法来创建图4 B所示的深度图,其中深度由色调指示。或者,我们通过反卷积光场焦点堆栈的MIP构造图4 D中的深度图。色相对应于最大强度的深度。图4 C,D中的深度结构可以通过图5 E-H中所示的去卷积光场焦点堆栈的选定切片可视化。

细胞核在通过纤维束对原黄染色的大脑样本进行成像而获得的立体图像(图5 A)中可见。相应的深度图在图5 B中显示,指示位于距纤维表面约50微米的各种深度处的单元。
为了验证光场技术报告了组织中细胞的正确深度分布,记录了脑片顶部75微米的3D共焦叠层,用于与纤维束光场数据进行比较。由于在共聚焦和纤维束捕获匹配视场方面存在实验困难,因此我们比较了前黄素深度分布,这是有限的穿透深度和组织的物理结构的结果。我们发现,与台式共聚焦显微镜(图5 C,蓝色虚线)相比,通过我们的光场方法(图5 C,实心黑色曲线)测量的前黄酮深度分布之间存在极好的定量一致性。这证实了我们的荧光场成像技术返回了散射组织中的定量数据。
光场成像方法也可以访问表面形貌。为了证明这种能力,对靠近指关节的拇指背面的皮肤自发荧光成像。在图5 D的红青色立体图中很容易看到3D皮肤褶皱的微观结构。图5 E,F中的表面形貌是通过聚焦算法的简单形状计算得到的,其中聚焦度量是在光场焦点堆栈的每个切片的每个像素处计算的。包含最大焦点度量值的焦点位置会产生图像中给定位置的表面高度。
☞ 文献链接:
A. Orth, M. Ploschner, E.R. Wilson, I.S. Maksymov, B.C. Gibson. Optical fiber bundles: Ultra-slim light field imaging probes. Sci. Adv. 2019, 5, eaav1555.
DOI: 10.1126/sciadv.aav1555
☞ 本文来源 FibersHUST 华中科技大学先进功能纤维研究中心

长按二维码
关注我们吧


免责声明:本文旨在传递更多科研信息及分享,如涉及侵权,请联系下方邮箱,我们将及时进行修改或删除。转载请注明出处,如原创内容转载需授权,请联系下方微信号。
邮箱:janechou@imeta-center.com
微信号:18305163023er for Advanced Functional Fiber

