
撰稿 |李凌志

近日,来自中国暨南大学的张杰君研究员,加拿大渥太华大学姚建平院士及他们的团队在国际顶尖期刊Nature子刊Light: Science & Applications发表论文,他们利用两个偏振态相互正交的光波在一个单光子腔内结合,实现单一光子腔中的偏振态宇称-时间(Parity-time,简称PT)对称系统,提出并验证了一种新型光纤激光器,可实现具有可调谐性的单纵模的激光输出。
得益于偏振态PT对称系统的模式选择作用,该激光器无需窄带光学滤波器,即可实现单纵模输出。这种单环谐振腔的设计为激光器提供了简便性和高度稳定性。这种新型光纤激光器有望在激光测距,激光雷达,微波光子信号产生等领域发挥重要作用。
单纵模振荡是高性能连续波激光器的基本特性,它决定了激光器输出的相干性和功率稳定性。对于相位噪声低、线宽窄、光功率高的长腔激光器,由于激光腔内增益介质的增益谱宽度通常比激光器的模间距大几个数量级,相邻两个模式之间的增益差值很小,很难通过控制激光阈值来实现单模振荡。在激光腔中加入一个光学滤波器,可以减少满足阈值条件模式的数量,是实现单模激光输出的常用手段。如果滤波器的通带足够窄,就可以保证单模激光。然而,对于长腔激光器,例如腔长在几十米左右的光纤激光器,需要一个高Q值滤波器,使得系统昂贵且稳定性差。
由于PT对称机理在模式选择方面具有显著特性,使得其近年来在光学系统和光电系统中被广泛研究。一个PT对称系统通常是由两个交叉耦合的空间子系统实现的,这两个子系统被设计成具有相同的几何形状和互补的增益和损失系数。在PT对称系统中,当PT对称破缺时,主模和边模之间的增益差明显增强,从而使单模振荡成为可能。但是,两个空间分布的子系统,使得系统总体的结构复杂性增加,成本高,对环境扰动的敏感性强。
在本工作中,研究人员提出并证明了一种可以在单一空间谐振腔内实现的基于偏振态多样化的PT对称系统,通过控制光的偏振态特性,调谐谐振腔的特征频率、增益、损耗和耦合系数,实现PT对称破缺。基于此概念设计的光纤环形激光器,无需高Q值光学滤波器,即可有效抑制激光边摸,获得稳定的单纵模输出。

图1 本研究提出的偏振态PT对称光子系统的原理图

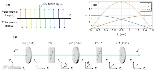
图2偏振态PT对称系统的实现过程
虽然两个偏振环的物理长度是相同的,但由于光纤弯曲和光学元件偏振模色散所产生的双折射,可能导致两个偏振环的本征模式不匹配,如图2(a)所示。为了实现PT对称,需要本征频率分裂值为零,这可以通过调整PC1中的等效四分之一波片,来对准偏振环的本征频率,以实现本征频率的实部之间的PT对称。另一方面,PC1中的等效二分之一波片与两个起偏器一起控制两个偏振环的增益、损耗和耦合系数,以实现本征频率的虚部之间的PT对称。除此之外,调谐PC2中的等效二分之一波片为两个偏振环引入相同的增益变化,因此只影响激光器的激光阈值。这种控制激光阈值的方法比改变EDFA中的泵浦电流更加的精准和方便。

图3 单纵模激光器的波长可调谐性
在腔长为41米的环形腔激光器中,对应的FSR为4.88MHz。TOF的带宽为0.1纳米,其中大约包含有超过两千个纵模。再利用PT对称的选模机制从这些纵模中选出增益最大的一个模式,从而实现稳定的单模激光输出。利用TOF的可调谐性,可以实现输出激光的波长调谐。图3展示了该激光器的最小调谐步长和最大调谐范围。
本工作中所提出的基于偏振态多样性的PT对称概念为研究非厄米光子系统的功能开辟了新的途径。通过在单一环路的光纤激光器中通过偏振控制建立两个相互耦合的子系统,实验验证了偏振态PT对称系统。并且利用PT对称系统的模式选择机制,实现了稳定的单纵模激光输出。由于只需要一个空间环,该激光器的实现得到了极大地简化,并且稳定性得到了极大地提高。因此,这种新型光纤激光器未来有望在激光测距,激光雷达,微波光子信号产生等领域发挥重要作用。
https://doi.org/10.1038/s41377-020-00407-3
文章来源:中科院长春光机所 Light学术出版中心
免责声明:本文旨在传递更多科研资讯及分享,所有其他媒、网来源均注明出处,如涉及版权问题,请作者第一时间后台联系,我们将协调进行处理(按照法规支付稿费或立即删除)。转载请注明出处,如原创内容转载需授权,请联系下方微信号。



