
撰稿 | 田禾
全文总览
今年是激光发明60周年,而代表目前激光科学和技术重要前沿之一的纳米激光及等离子激元激光也经历了第一个10年。2009年,Hill-甯存政团队,张翔团队,以及Shalaev-Noginov 团队等三个研究团队几乎同时独立发表了第一次实验实现等离子激元激光(或SPASER)运转的文章。
为了纪念激光发明和纳米激光的首次实现,我们邀请当时首次实验实现的三个团队的主要领导者和参与者,和spaser的最初发明者Mark Stockman等人一起为Light: Science & Applications 期刊特写此文,以资纪念和回顾。
作者包括普渡大学的Azzam, Kildishev和Shalaev, 北京大学的马仁敏, 清华大学的许嘉璐和甯存政,英国帝国理工的Oulton, 美国乔治亚州立大学的Stockman, 以及美国伯克利大学和香港大学的张翔。清华大学甯存政教授为论文通讯作者。(原文题目为:Ten years of spasers and plasmonic nanolasers,发表在Light: Science & Applications 期刊。论文地址:https://doi.org/10.1038/s41377-020-0319-7)
文章概述了过去10年来该领域取得的重大进展,同时对于该研究的原始背景和动机进行了梳理。引言部分首先总结了spaser的基本特性,并讨论了spaser和等离子体纳米激光的主要动机。
接下来对关键技术进展进行了概述,包括降低激光阈值、动态调制、室温、电注入、spaser的控制和改进以及阵列和单颗粒spaser的应用。
最后提出了与几个发展方向相关的研究前景,包括进一步的小型化与玻色-爱因斯坦凝聚的关系、新型基于spaser的互连以及spasers和等离子激光器的一些其他尚未实现或仍需克服的挑战。

全文背景介绍
60年前的激光发明在科学技术和整个文明发展历程中格外引人注目。
激光,以光学中可能存在的最小相空间体积提供了相干辐射和能量聚焦,从而形成以最小的发散角或聚焦到尺寸为半波长的斑点的相干光束辐射。
激光还可以使光在时域聚集到尽可能短的脉冲,持续时间以单个光学周期为单位,从而可用来研究100 阿秒量级的子周期现象。
过去人们一提到激光,首先想到的是其单色性,高强度和低光束发散。然而今天,受激辐射被用来精细控制光场从而获得可控的频率,统计分布,极化和空间轮廓等特性,具有广泛的应用场景。
器件小型化一直是光子学领域的前沿研究;继梅曼(Maiman)第一次发明激光后仅2年时间,就出现了体积缩小几个数量级的半导体激光器。
技术上,随着异质结构的出现,半导体激光可以在电注入下甚至用电池供电以较低的功率运转。在微电子学和计算机革命的推动下,随着晶体管规模化集成的发展,微电子学与光子学的融合由来已久,被认为是不可避免的。
90年代出现了当时最小具有波长尺寸的激光,然而仍比晶体管尺寸大好几个量级。
但是人们意识到,微米级和纳米级光学谐振器可以用于控制自发发射。因此,自发辐射的控制在纳米激光领域中成为现代研究课题。
图2 2009年首次报道的等离子纳米激光
十年前,三个科研团队从不同角度独立地展示了等离子纳米激光器,如图2所示。
这些等离子纳米激光为非常紧凑的相干光源,具有超快的动力学特性和广泛的应用前景。最初设计的spaser为基于纳米壳的局部表面等离子体激元(LSP)spaser,其中包含金属纳米球作为等离子体核心,并被包含增益材料(通常为染料分子)的介电壳包围。
自此之后,其他基于纳米壳的LSP也有报道。这种spasers是迄今为止最小的相干发生器,其大小在几纳米到几十纳米之间。
另一方面,最初被称为等离子纳米激光器的器件是基于半导体-金属等离子体间隙模式,并在一个维度以表面等离子体极化激元(SPP)模式传播。
在物理机制方面,这些SPP纳米激光和spasers基本相同,唯一的区别是是否局部化或传播等离子体模式。因此,在本综述中不会刻意区分SPP纳米激光和LSP纳米激光,两者是可以互换的。
后来,这种类型的纳米激光(SPP)得到了广泛的发展和完善。也有一些LSP纳米激光器,它们在设计上与SPP纳米激光器相似,但它们在所有维度上都达到纳米尺度,是真正的纳米粒子。
这种spaser以半导体纳米棒作为增益介质,将其沉积在等离子金属单晶纳米薄膜上形成spaser。这些spasers具有非常低的阈值,并且在保持几何形状固定的同时,通过改变半导体成分,证实了其跨可见光谱的波长。一个具有量子点增益介质的SPP也已经得到实验验证。
过去十年相关研究取得了巨大进展,从最初的概念验证到各种各样的等离子纳米激光器设计的快速发展(图3),其中包含了特定场景下的实用器件。例如,他们的本征能力表明他们在光学互联,近场光谱和传感,生物系统光学探测,通过近场本征模工程实现远场波束合成等方面具有应用潜力。
虽然关键的设计问题依然是学界所面临的挑战,但同时在提高增益、等离子体材料、人工智能(AI)驱动下的优化设计以及制造协议等方面也存在着前所未有的机遇,这些将使得实现更加紧凑、运行速度更快的新型激光器成为可能。
这篇综述文章回顾了过去十年有关spaser和等离子纳米激光的研究概况。我们的目标是把最近的研究进展与激光器小型化的目标结合起来。
这篇综述文章并没有试图把重点放在纳米激光的应用上而是对我们如何利用激光小型化提供的控制进行了评述。因此,本文基于我们目前的研究热点,对未来潜在的研究方向进行了展望。例如,纳米激光器对自发和受激发射过程提供了最高程度的控制。
一些有趣的问题出现了:如果我们能够有效地将自发辐射控制到一个单一模式,这样的LED是否能够不依靠驱动达到阈值进入激光的范围?纳米激光可以做到多小?是否需要最小的纳米尺寸,或者是否有一个最优的长度尺度来确保其他属性满足基本的应用要求,例如能源效率和信噪比?

图3 自2009年首次展示等离子纳米激光以来设计的纳米激光集锦
全文详解
作者回顾了过去10年中纳米激光和spasers领域的发展历程。
第一部分中,作者对spasers的基本属性进行了简要介绍。第二部分,在物理层面和技术层面对小型激光器发展的驱动力进行了介绍。第三部分,介绍了过去10年间纳米激光器取得的显著发展。包括阈值降低、电注入运转、提高工作温度、提高量子效率、改进最初开发的单粒子spaser的性能、等离子体发射器的阵列运转能力以及多物理建模和仿真等。第四部分,作者总结归纳,提出了对这一领域的看法,以及未来基础和应用研究的重要方向。
图4展示了spaser的几何结构和基本工作原理。
主体为一个核壳结构纳米颗粒,纳米核是金属,由块状半导体,半导体(胶体)量子点(QD)或染料分子构成的纳米壳可以作为增益介质。
文中以块状半导体纳米壳结构的spaser进行具体的讲解,其他两类情况类似。外部源将增益介质半导体中的电子泵入导带(CB),空穴泵入价带(VB),形成粒子数反转。这些载流子经过弛豫,在带隙处产生反转。
需要注意的是由于需要非常高的自由载流子注入,产生激子的可能性不太高。如图4c所示,增益介质中导带与价带之间的跃迁通过由哈密顿量中的耦合项引起的近场无辐射跃迁耦合到金属纳米结构的LSP激发/湮灭跃迁过程中。
在关于spasers的半经典理论中,对增益介质进行量子力学处理,而对表面等离子体SPs进行经典处理。纳米尺度的spaser(nanospaser)是一个深亚波长的准静态器件,因此具有许多独特的性质。
在这种情况下,spaser理论与波长,趋肤深度,衰减长度等电磁尺度是不相关的,而与金属纳米系统的尺寸直接相关。因此,spasers具有一系列常规属性,其中一些使它与微观/宏观激光器有独特的区别。

图4 Spaser的几何结构及工作原理示意图
(i) Spaser激射的条件由一个非常直接的增益不等式决定,即增益要大于等于阈值增益。而阈值增益由环境介质的辐射波矢和金属品质因子决定。对于一个好的等离子金属Q值一般在10-100左右,这一条件对于采用半导体或者染料作为增益介质来说非常容易实现。由于spaser激射不取决于器件尺寸,因此可以真正制成纳米级。这些纳米级spasers可用于生物医学,如细胞内标记物以及诊断试剂。此类应用包括癌症诊断治疗和超分辨率成像(受激发射损耗STED)。
(ii) Spaser的频率特性与传统激光器中具有失谐的频率牵引效应类似,不同之处在于腔频率被替换为等离子体频率。spaser频率不取决于器件尺寸或泵浦速率,通常与增益介质跃迁频率ω21和LSP频率ωp不同。因此可以在保证金属核的几何形状和组分不变的情况下通过改变半导体增益介质的带隙来将频率在整个可见光频段内进行调节。由于频率只取决于其形状和材料组分,因此可作为介电环境的频率传感器,并且由于其纳米级的模式体积,spaser对极少量的分析物敏感。
(iii)对于纳米尺度的spaser,等离子体激元增强了增益介质激发进入LSP激光模式的自发衰减率。该衰减速率超过增益介质中其他衰减通道的速率。这意味着将载流子注入到增益介质的CB中会导致金属芯中SP的自发发射,结果是Np ∝ Ip,其中Np是激射模式的SP粒子数,Ip是泵浦速率。在这种情况下,即使对于非常小的Ip(远低于泵浦阈值),激光器的辐射速率Ir与泵浦速率(所谓的L–L曲线)的关系也是线性的。高于激光阈值时,发射速率将增加Np倍,并且L–L曲线始终是Ip的线性函数。因此,在L–L曲线中看不到激光阈值。因为γ2∝ R-3,这种“超低阈值”或“无阈值”行为总是发生在足够小的纳米激光器上。在许多实验中已经证明了这种行为。
(iv)高于激光阈值时,会发生SP发射,并且可以估计其发射速率随泵浦强度而增加。理论上可以将纳米激光器用于直接调制,最大调制频率约为5 THz,随泵浦增加而增加。它也可以用来产生持续时间小于100 fs的超快脉冲。经过实验验证,spaser的直接调制速率可以超过1 THz,并且生成的脉冲可以短于0.8 ps。
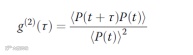
(v)L–L线中没有明显的激光阈值,并不意味着实际上没有相干生成的阈值。一个有限的阈值仍然存在,并且可以从spaser辐射的二阶自相关函数g(2)(τ)确定。该函数通常定义为

其中P(t)是在时间t从spaser中检测到光子的概率,而τ是检测到两个连续光子之间的时间延迟。将该函数归一化,使得对于τ→∞,g(2)(τ)→1。这种高阶相关函数通常用于表征各种源发出的光子的统计数据。
低于激光阈值时,spaser局域和发射场具有随机统计信息。在高斯统计的极限中,对于τ→0,g(2)(τ)→2。通常,低于阈值时,人们期望2≥g(2)(0)>1。一旦超过阈值,spaser产生的统计信息发生了变化,并且对于在阈值处及更高的泵浦强度,我们得到所有τ都有g(2)(τ)→1。这种阈值行为是激光器单模激射的特征。对于纳米激光器,这种行为已在实验中得到了充分的证明。注意,这种行为对应于一个非平衡相变,在此相变之上,spaser周围的局部场变得相干且较大,与自发辐射情况相反。
尽管激光技术在过去60年中取得了令人瞩目的进展,但由于光辐射中波的特性,激光辐射的空间局域仍然限于半波长~1μm的距离。
正如费曼所设想的那样,纳米尺度的物体和现象将会极大扩展重要的基础和应用领域范畴。因此,相应频率的相干光源具有重要的基础和应用意义。
即使对于高度极化的电介质,尺寸仍在数百纳米量级。使用等离子体纳米粒子和尖端探针通过等离子体共振增强和能量局域来聚集光场,在纳米光谱、纳米检测和传感取得了许多进展。
纳米尺度光源,即场中的量子态必须满足适用于相干量子产生,光子必须满足以下条件:(i)泊松分布,即大量的量子态在单一模式下的相干聚集;(ii)高线性度或高次谐波,这提供了累积这种量子的可能性,并且在没有明显非线性频移及谐振品质因子降低的情况下实现高场振幅;和(iii)电中性,否则N个量子的积累会引起他们的库仑能量成比例增加。
表面等离子体激元(SP),分为局域表面等离子体振荡LSP和表面等离子体激元SPP,满足以上所有条件。LSP从根本上说是到目前为止,局域最强的光频率量子,并且满足以上提到的三个条件。SPP也具有类似的属性,不同的是一种表面的传播场,相比于LSP,局域性不强。此外,SPs像光子一样通过其模式电场与电子进行耦合。因此可用SPs代替光子来进行量子放大和生成。
激光小型化的原始动机之一是为了减少功耗,这可以实现简单地通过缩小增益介质的物理尺寸来实现。
在90年代,通过各种减小激光尺寸的方法,利用Purcell效应控制自发辐射速率,从而控制自发辐射耦合因子β。通过光泵浦或电泵浦产生的一个激光光子,被多个光学模式共享,因此模式越多,达到激光阈值所需的泵浦速率越高。
因此,需要使用小光腔来减少光学模式,使得更高比例的自发发射进入激光模式。考虑一阶近似,假设每个光学模式平等竞争,那么进入单激光模式的β则正比于总模式数的倒数。这一概念激发了大量针对制造小尺寸激光的研究以实现几乎没有自发辐射的“无阈值”激光。
因为受激发射需要在激射状态下占主导,激射阈值有时可以直观地定义为进入激光模式的自发辐射和受激发射的速率相等。
根据爱因斯坦在1916年发表的关于自发辐射,受激辐射系数的文章,这一条件等同于激光模式应包含一个光子以达到阈值。总阈值功率还应包括泵浦并维持上能级粒子数反转的功率。在β趋近于1,而腔损耗γ相对于增益材料造成的损耗αg占主导的情况下,激光阈值会降低,即阈值泵浦速率趋近于腔损耗速率。根据此定义,无阈值激光在物理上是不可能的。
等离子体激元激光器的重要特征之一是其具有超快调制的潜力。纳米腔模式在空间和光谱上的局域由于增益介质和腔模之间增强的相互作用(Purcell效应)导致载流子动力学过程加快。
Purcell效应改变了自发辐射寿命。进入激光模式的加速的自发辐射使纳米激光具有超快的响应。理论研究和数值模拟结果表明纳米激光可以在100s GHz或甚至高达THz的频率下被调制。最近,具有亚皮秒级的激光脉冲输出的纳米激光已得到实验证明。
除了Purcell效应,加速的激光载流子动力学过程改变了增益材料和光学模式间的耦合。某些光学模式可能会优先与增益材料耦合,而其他模式则被抑制。对于第n个光学模式,对应模态自发发射寿命为τn。
总Purcell系数是各模式Purcell系数的总和。对于受激辐射的影响有两个方面:首先,增益介质内的所有光-物质相互作用都被加速;其次,模态自发辐射系数βn被修改,这会改变特定激光模式的激射阈值。β因子增加会进一步加快激光直接调制下的时间响应。当腔谐振比非均匀展宽辐射的线宽还要窄时,通过高质量腔来获得高Purcell因子则变得无效。此外,它不一定有利于激光性能。例如长光子寿命限制了激光器的调制带宽。
载流子寿命短的相关问题之一是速率方程近似的有效性。完整的描述半导体激光器的Maxwell–Bloch方程包含光子数、粒子数的耦合速率方程以及介质极化方程。由于典型的极化寿命(亚ps)与载流子寿命相比通常较短(~1 ns),只保留光子数和粒子数速率方程,极化方程可绝热地消除。
然而,这种近似对于等离子纳米激光器是有问题的,由于大大提高的自发辐射速率,使得载流子寿命与极化寿命接近。因此,等离子体纳米激光的超快调制通常无法用传统的速率方程进行分析。虽然有广泛的理论研究,等离子体纳米激光相关的直接调制方面系统实验研究仍然缺乏。
等离子体纳米激光器的重要问题之一是通过光学增益克服金属损耗。众所周知,典型的半导体材料增益为103–104 cm-1,而金属的吸收可能高达106cm-1,因此看起来当SPP模式在半导体金属界面传播时不可能克服金属吸收。
表面等离子模式的传播特征是能量通量急剧减慢及其对模式增益的影响。这导致模式限制因子比1大几个数量级。幸运的巧合是,在半导体和金属之间的界面,对于金属区的限制因子比半导体区约小两个数量级。
前者定义了模式损耗,而后者定义了模式增益。这使得尽管金属的材料损耗大于半导体的增益,但仍有可能实现总的净增益。等离子体的共振减慢能量传播导致金属共振附近的增强。
要注意的是限制因子的定义在具有强限制的波导或光腔中需要修改,如等离子纳米激光器。光腔的总品质因子Q由内部吸收和远场辐射损耗所决定。对于小型激光器,减少远场辐射可以克服增加的金属损耗使得Q更大或阈值较低。
Spasers和等离子纳米激光器的发展
等离子体器件利用自由电子振荡来存储电磁能,从而可以操纵超出光学衍射极限的光。然而,等离子体必要的场约束能力总是伴随着寄生欧姆损耗,在大多数情况下,寄生欧姆损耗会严重降低器件性能。
这促使了等离子放大器的提出。实现这种器件的技术挑战很大。尽管最初人们普遍持怀疑态度,但是有关等离子体激光器的第一批报道还是在6年后出现了。第一个基于半导体的等离子纳米激光器可在低温下运行,并具有10-200MW cm-2的高阈值。第一个具有分子增益的spaser,室温下运行具有接近10GW cm-2的阈值。
在2011年,研究人员使用单晶半导体纳米方块和表面等离子体的全内反射,实现了半导体基的室温等离子纳米激光器;然而,等离子体纳米激光器的高阈值问题仍然没有得到解决。Ma等人用飞秒激光泵浦,其阈值在GW cm-2数量级。
在这些早期的实验之后,器件固有的欧姆损耗和高阈值引发了一场关于金属是否真的能提高激光器性能的辩论。通过不断优化材料和激光器结构,等离子体纳米激光的阈值在低温下降低到~KW cm-2,在室温下达到1-100MW cm-2。然而室温下的阈值仍然比商用的二极管高2-4个数量级。
2014年,人们开始关注金属腔能否在激光结构中提供任何优势。有研究者指出,在实际可用的等离子体材料中,spaser的阈值密度不能降低到MW cm-2以下。值得注意的是,这个极限大约是直径仅为10nm的激光器的阈值密度。
尽管损耗很高,但当β和ζ达到较好的值时,合理的激光阈值是有可能实现的。较高的β值来自于较小的等离子激光器。然而,ζ∝ V-1增大也可能使增益材料的体积减少。
2017年报道了约为10KW cm-2的低阈值室温等离子体纳米激光器,相当于现代激光二极管的泵浦密度。
更重要的是,在同一工作中还报道了等离子和光子纳米激光器关键参数的缩放定律,包括物理尺寸、阈值、功耗和寿命。研究人员对这些参数进行分析,以找出一组定律,确定这些参数如何相互影响。
这些缩放定律表明,当腔尺寸接近或者超过衍射极限时,等离子体激光器可以比光子纳米激光更紧凑、更快、功耗更低。这些结果澄清了长期以来关于等离子体在激光技术中的可行性的争论,并确定了等离子体激光具有明显的优势。最近,一项实验表明,等离子体激光器的阈值可以通过晶格等离子体腔和上转换纳米颗粒增益材料的组合降低到70W cm-2.
对于β远小于1的激光,阈值可以很容易地定义为一个线性刻度下L-L曲线的扭结。但是,随着β的趋向于1,这种扭结将消失。随着β~1的纳米激光器的出现,激光阈值问题再次成为讨论的焦点。
从早期有关激光的讨论开始,激光阈值就一直是一个重要的问题。最初的问题是,这个阈值是否仅仅意味着激光强度或光子数量的急剧增加。很快问题就清楚了,从理论研究到后来的实验证明,激光阈值更明显的特征不在于激光强度,而在于光子统计量。
激光阈值更基本的特征是二阶相关函数的变化。尽管有了这种清晰的认识,后来问题再次出现,首先是在微腔激光器发展的过程中。当β真正接近1时,等离子纳米激光器为这一辩论提供了第二次复兴的机会。这次复兴促使人们重新对激光阈值问题进行研究。发现了激光阈值的各种有趣的方面,特别是自发辐射因子接近1的器件。
现在很清楚,自发辐射因子为1的发光器件在零泵浦时不会变成激光器。没有强度扭结并不意味着纳米激光器的阈值为零,正如我们在本文前面所讨论的那样。即使自发辐射因子是1,也总是需要有限的泵浦。
事实上,g2(0)从大于1到1的过渡变得更平缓,并且当β= 1时,g2(0)最终接近于1可能需要更高的泵浦。随着泵浦的增加LED变得更像激光器。在较大的激光器中看到的突变阈值现在变成了一个泵浦范围,其中g2(0)缓慢地接近于1。
纳米激光器可能是没有尖锐的扭结而表现出无阈值,但它肯定不会成为零泵浦的激光器。这种情况下有一个有趣的问题:激光的定量定义是什么,或者一个器件要符合激光的条件,g2(0)必须有多接近于1.
光泵浦在概念验证和揭示基本物理效应方面发挥了重要作用。然而,对于某些应用,电注入是必要的,特别是基于半导体的纳米激光器在集成光子电路中的应用。等离子体纳米激光器中的电注入面临着有趣的机遇和挑战。
与最初的设计一样,使用相同的金属进行等离子体限制和电注入接触既方便又实用。这些挑战包括制造小尺寸、高质量金属结构的难度增加。对于较小的结构,也存在与接触电阻增大相关的问题。对于电注入等离子体激光器,采用传统的III-V制造技术似乎更可行。
图5展示了电注入金属腔纳米激光器的主要进展,从在介电模式下工作的金属封装腔的首次演示(图5a)和等离子体间隙模式下的首次运转(图5b),到随后为提高电注入纳米激光器工作温度所作出的努力。要注意,除了图5b,所有这些激光器工作在介电模式。在现有方法的基础上,需要对电注入器件进行更广泛的研究和优化。对于最终的高速应用,电注入的另一个挑战是尽量减少RC延迟,这将需要精心设计,以避免由于等离子体或接触金属而产生大电容。

图5 电注入等离子体金属腔纳米激光器的发展
室温操作是许多实际应用的要求,通常是任何新型激光器发展中的一个里程碑。对于等离子体纳米激光器而言,由于严峻的等离激元加热,室温操作是一个更大的挑战。从一开始,我们就完全不清楚等离子体纳米激光器是否能够在室温下工作。
最早的室温操作实验演示之一是由Ma等人提出的,他们在光泵浦下将银膜与半导体纳米正方形耦合。对于一个在电注入下工作的器件,从最初的10 K到260 K的演示再到最终的室温,过程要相对长得多。
值得注意的是,已经证明的电注入下的室温工作是针对介质模式,而非等离子体模式。因此,严格说电注入等离子体纳米激光器在室温下尚未实现。要在室温下电注入的等离子模式下实现激光,需要有创新的设计和系统的工作。
等离子体中不可避免的金属吸收损耗将输入功率转化为热量而非辐射,导致低的外量子效率(EQE)和器件退化。任何对等离子体纳米激光器量子效率的描述都应该考虑到它的近场表面等离子体发射、发散发射特性和有限的发射功率。
2018年,将实验测量和理论计算相结合,提出了一种表征等离子体纳米激光器外量子效率的方法。通过系统的器件优化,在室温下实现了外量子效率超过10%的高性能等离子体纳米激光器。
等离子体纳米激光器的EQE可以进一步提高,其方法是通过使用辐射品质因子较低的更小的腔来加速其辐射速率,对此,在腔结构和金属质量方面的优化是至关重要的。通过将等离子体纳米激光器与嵌入式或相邻集成的波导耦合,还可以实现更高的EQE。通过波导耦合,还可以恢复等离子体纳米激光器的发射方向性。
与传统激光器相比,等离子体纳米激光器(spaser)放大表面等离子体激元而不是传播光子,提供了比衍射极限更小范围的光放大。因此,如果等离子体纳米激光器的表面等离子体“发射”不耦合到远场,则被认为是“暗的”。
2017年,利用泄漏辐射显微镜,等离子体纳米激光器的表面等离子体发射被同时在空间、动量和频率空间直接成像。结果表明,等离子体纳米激光器可以作为纯表面等离子体激元发生器,其发射的近100%辐射到腔外的传播表面等离子体模式。实验制备了纳米线等离子体纳米激光器,其总发射量的约74%辐射到腔外的传播表面等离子体模式。
纳米激光器固有模式的高β可以以可控的方式改造新型激光腔内部场和/或发射波束合成。最近,一种新的基于量子力学中的宇称时间对称概念的激光器出现了。
最近的一项研究表明,宇称时间对称可以使用合成的等离子体纳米腔来构建涡流纳米激光器。当单个偶极子发射极与这种纳米腔相互作用时,就会出现反直觉的现象,其中偶极子的辐射场可以在特殊点上显示与系统的合并本征态相反的惯性,这违背了发射器辐射到光子环境并与光子环境的本征态相互作用的常理。
此外,整体协同运转的纳米激光器可以产生宏观响应,这在常规激光器中是不可能的。在这种情况下,正是纳米级的结构决定了激光的操作特性,其方式类似于超材料。
在近场中,可以通过耦合、相对相位、本征模式对称性和拓扑结构对纳米激光器整体进行额外的控制,从而控制每个纳米激光器本征模式的偏振和轮廓。这种协同本征模工程不同于以周期性为主要控制参数的光子晶体激光器,可以实现对宏观激光场的前所未有的控制,具有广泛的远场应用。

图6 紧凑型单粒子纳米激光器
图6描述了这种紧凑等离子系统,其金芯直径为14 nm,壳层直径为44 nm。最初的实验之后,其他人则着眼于改进设计并解决最初的局限性,例如缺乏方向性,缺乏spaser波长可调性以及需要高阈值来克服可见光中的材料损耗。

图7 单粒子方向性纳米激光器
因此,通过打破核-壳结构的对称性,实现了单粒子的方向性(图7a)。使用金属半壳覆盖的spaser而不是封闭的金属外壳设计,可使发射光朝向优选方向(图7b),而与泵浦的极化和入射角无关。这种金属半壳层谐振腔spaser还可以通过减少不必要的辐射来提高原设计的功率效率。
图8 波长可调的单粒子纳米激光器
图8描述了一种用于实现波长可调谐的不同的spaser结构。该结构由金纳米棒和有机激光染料组成,金纳米棒表面涂有一层多孔二氧化硅作为单粒子等离子体纳米腔,有机激光染料作为光学增益介质。这种设计实现了从增益材料到金纳米棒的更有效的能量转移,因为它能够将光学增益控制在二氧化硅壳的孔隙中。通过调节染料的掺杂水平,可以将激光器的激射波长从562 nm调整到627 nm。

图9 三能级的纳米激光器
其他的限制,例如补偿材料损耗所需的的高阈值和较短的激光寿命,已经通过构造三能级系统中的三重态得到了解决。这个三能级spaser采用了与原始单粒子spaser非常相似的结构,如图9所示。
此外,新的spaser中的激光阈值和动态可以通过设计增益介质的能级和能量传输过程进行调整。三能级spaser显示出较低的阈值1mJ cm-2。通过具有增益饱和的依赖于场和位置的介电函数来包括平均场发色团相互作用。然而,更复杂的协同效应被有意省略,因为它们应该被强移相和随机偶极取向所抹掉。最近的一项研究证实,对于成千上万随机取向的分子,整体平均偶极-偶极耦合将消失,共振模式应该不受影响。
单粒子等离子激光器遇到一些固有的限制,因此需要一个不同的等离子激光系统来克服这些挑战。
单粒子等离子激光器只有一个反馈源,这限制了谐振器的品质因子。等离子体谐振器阵列的结构工程已被应用于解决等离子体激光高辐射损耗和方向性差的问题。
2008年有人提出,等离子体粒子在二维阵列中的排列将导致单个等离子体元素之间的相互作用,从而产生高品质因子的集体SPP共振。这种类型的量子发生器被称为激光spaser。这种spaser是单个spaser的周期性阵列,它们在近场中相互作用,形成一个相干的集体模式。这种激光spasers是由含有增益介质的等离子晶体构成的。
激光spaser的一种类型是沉积在半导体增益介质上的等离子金属薄膜上的周期性孔阵列,另一种类型是被染料分子溶液包围的周期性金属纳米颗粒阵列。这样的阵列一旦接触到增益介质,辐射损耗和金属中的焦耳损耗就可以得到补偿,超过一定的增益阈值,阵列就会开始发射激光。

图10 二维谐振器定向激光阵列
在阵列平面内,等离子体谐振腔内的强俘获电流模式发生相位振荡,导致向法线方向发射激光,如图10所示。Spaser阵列的实验中的关键一步,是将增益材料加入到负折射率超材料的高局部场区域(NIM)。该增益材料的局部嵌入使得在可见波长722到738纳米范围内的极低损耗有源光学NIM实验成为可能。采用损耗补偿后,原来的损耗限制负折射率有了明显的改善。因此,在波长为737nm时,负折射率从- 0.66增加到- 1.017。

图11 耦合等离子纳米颗粒激光阵列

图12 等离子纳米孔激光阵列
随后的进一步实验展示了耦合等离子体纳米颗粒(图11)和等离子体纳米孔(图12)阵列中的激射。正如预测的那样,由于共振的高品质因子,spaser纳米颗粒和纳米孔阵列显示出了比单粒子spasers更低的阈值和定向发射特性。
等离子体阵列的超晶格结构可以存在多个带边模式,从而在任意波长产生多模态激光。Spaser阵列的其他激动人心的发展还包括新的材料平台。例如,一种高损耗的铁磁等离子体材料已被用于多模态可调激光spaser阵列,而宽带激光反馈则是通过依赖于大光子态密度的双曲超材料实现的。
此外,使用可拉伸的spaser阵列对spaser反馈进行机械调制,同时通过调节增益材料的折射率实时调整spaser波长,激光波长的可调性也得到了证明。

图13 低阈值等离子-激子-极化激元spaser阵列
通过等离子体阵列中染料激子和等离子体模之间的强耦合,spaser概念最近被扩展到极化激子激光器(图13)。由此产生的等离子-激子-极化激元spaser阵列在泵浦阈值上显著低于传统激光阵列。
我们预期spasers将在未来的芯片集成技术中发挥核心作用,因为它们能够在纳米尺度上产生相干场。未来spaser的发展将包括电驱动spaser,该spaser可以将其发射耦合到等离子体波导模式中。此外,与CMOS材料兼容的spasers的优化将是其在更多应用中被采用以及商业化的关键。
单粒子spasers的优异性能对许多应用,特别是传感和成像具有潜在的关键作用。单粒子spasers作为发光探针有很大的优势。Spasers可作为超亮的生物相容性生物探针。利用金芯二氧化硅外壳单粒子spaser,直接在活细胞内产生受激发射的能力已经得到了实现,并且比传统的探针要亮得多。降低激光阈值和提高激射寿命将使spasers成为更高效的发光探针。
在原理性已经证明的应用中,我们特别提到了传感和检测中的应用,这些应用基本上是基于激光频率取决于spaser的几何形状和组成,泵浦和环境温度方面的影响都比较弱。Spaser的频移表明由于分析物的存在,附近的纳米环境发生了变化。已经表明,由金属上的纳米棒构建的纳米激光器对微量浓度的分析物非常敏感,从而实现了前所未有的检测灵敏度。

图14癌症诊断与治疗纳米激光器
重要的是,真正的纳米激光器,在所有尺寸上都是纳米的,具有与生物分子和晶体管大小相同数量级的显著优势。这个属性为应用开辟了独特而重要的途径。一个应用是在癌症治疗和诊断学中。
为了简要讨论这一应用,我们从图14开始,图14显示了所研究的纳米激光器的光谱和几何结构。由于spasing的特性,spaser的发射光谱非常窄,大约1nm的宽度。癌症治疗及诊断实验中使用的是20nm金芯纳米壳spaser,表面被功能化,使其粘附在表现出大浓度叶酸的癌细胞表面。Spaser发射的窄谱和极高的光谱强度使人们对癌症细胞的检测有了前所未有的信心。


Spaser癌症诊断与治疗的用法如图15所示。Spasers的表面被功能化并与活的癌细胞相结合一起培养。在这个过程中,癌细胞吸收了这些等离子纳米激光器,有泵浦时会在细胞内产生辐射。根据它们的浓度和培养时间癌细胞会以这种方式内化不同数量的spasers:从单个spaser(如图15a)到大量spasers(如图15b)。用电子显微镜观察细胞内的spasers,如图15c所示:可以看到一个孤立的spaser,spasers的二聚体,以及许多spasers的聚集。
被泵浦的spasers会对癌细胞的造成损害,细胞膜产生多处断裂,在显微镜下可以看见明显的膜碎片。这将导致癌细胞在一次或多次激光脉冲后死亡。
Spasers的超高效率并非偶然:它是基于其作为不饱和吸收和发射体的基本光子物理学原理。在泵浦光强足够高的情况下,SP的发射本质上由受激辐射占主导,这意味着载流子数目与泵浦光强成正比。因此,饱和是不存在的,任何偏离直L-L线的偏差都只与组成材料的变化有关。在很宽的泵浦光强范围内,Spasers呈现线性L-L线和不饱和行为,使其作为荧光标记显示出前所未有的亮度,极窄的光谱发射线,以及作为光热和光声媒介的高效率。
最近发表了spasers作为受激发射损耗(STED)超分辨率显微镜的有效媒介的原理证明。STED超分辨显微镜适用于荧光染料标记的物体。同时STED的这一思想也适用于spasers。使用spasers实现的STED超分辨率成像效果显著。通过将孤立的单个spaser的共焦图像与相应的STED图像进行比较,超分辨率的实现更为明显。这些结果显示了基于spaser的STED在生物医学等领域中远场纳米显微的巨大应用潜力。
等离子体纳米激光器最吸引人的一个方面是它们能显著减小尺寸,这远远超过了纯介质或半导体激光结构所能达到的效果。这样的激光器代表最终有可能使激光器的大小与电子器件兼容。最初的spasers直径约为40nm。
此类spasers通常是在溶液中制备,非常适合基于溶液的传感和检测中的应用。对于其他应用,如集成光子中传输信息,需要在固体衬底上制作器件,并在电注入下运转。这类器件通常要大得多,尤其是包含电注入结构的矩形器件。以连续波模式在室温下工作的器件尺寸在真空波长量级。
设计和仿真研究表明,基于传统III-V半导体材料和制作工艺的多层结构可使SPP激光器尺寸小至万分之一真空波长的立方。正如最近所论述的,这种设计可以用传统的半导体晶片与膜转移技术相结合来实现。最近的两个关于单个发射器与等离子体蝴蝶结结构或金属球与表面之间的有效耦合的演示提出了一个关于激光最终尺寸的有趣问题。
在这两种情况下,均观察到强耦合和SPPs,Rabi分裂高达300 meV。是否可以驱动这样的结构进入激光状态,并代表激光器的最终尺寸微型化方向将是非常有趣的。这种器件在电注入下的室温操作将更加令人兴奋,但目前可能面临重大挑战。
金属质量差仍然是制造低门槛、高效率的小型纳米激光器的最严峻挑战之一。理想的长期解决方案是半导体以及用于等离子体限制和触点的等离子体结构(以高掺杂半导体或金属的形式)的全外延生长。这种方法将带来简化的制造工艺和高质量的整体器件结构。
另一种有潜力的方法与当前新兴的二维平面材料有关,包括半导体增益材料和金属材料。这些二维平面材料是等离子体耦合的理想选择,增益层和金属层之间的间距可控,可提高2D金属的单晶质量。
目前已经证明了等离子耦合和增强的2D发射,以及基于此类2D材料的使用常规纳米光子腔体的光学增益和激光发射。完全基于2D材料(包括2D半导体,介电层和金属层)的集成SPP激光器结构可能会导致可能的最小等离子激光器,具有许多优势。
为了降低阈值和功耗,非常需要仅具有少数光学模式的小型器件。在这些条件下,自发和受激发射被限制在与增益材料强烈耦合的一小部分模式下。在强耦合的情况下,这可以导致光和物质的混合状态,即前面讨论过的极化子。
由于这些混合激子态相互作用强烈,可以达到近热平衡状态;因此,在受激散射作用下,极化子可能发生凝聚,类似于玻色-爱因斯坦凝聚体(BEC)的形成。在受激发射过程中热平衡的出现使得对光学模式有了额外的控制程度。
即使在光与物质的弱耦合状态下,热平衡也是可以实现的。这种现象自然发生在ζ≤1的光腔中:这自然促进了光子的吸收和再发射,并且通过增益材料的声子,腔内的光可以达到热平衡。当腔内的光被驱动到临界光子数时,类似激光的响应会以最低能量模式出现,该模式与增益材料的光谱响应重叠。已经表明,该响应紧密地遵循玻色-爱因斯坦分布,激光跃迁类似于空腔光子的凝聚。
尽管激光作用和BEC之间的相似性令人信服,但它们的主要用途在于能够利用非常成功的热力学和统计力学机制来理解激光模式的相互作用。这两个领域可以互相提供很多东西:统计力学可以用来描述激光器中的复杂模式竞争,而光子BEC的产生速度要比原子BEC快得多,而且在室温下也是如此。一种令人兴奋的可能性来自减小光子BEC的尺寸:就像通过小型化降低纳米激光的阈值一样,光子BEC的阈值也是如此。在统计机制方面,这也导致BEC中光子数量的减少。迄今为止,仅7个光子就证明了光子BEC。
如果要将常规的光学腔与不需要的光学模式隔离开,则它们需要所需的光学模式受激发射。实际上,对于大于光波长的激光器,这是可以进行这种模式控制的唯一方法,因为所有模式均近似共享自发发射。
然而,纳米腔可以利用Purcell效应,完全改变各模态间自发辐射的均匀分布。确实,这是纳米腔可能实现β→1的方法。这就提出了一个问题,即究竟是否需要受激发射。有人可能会说激光比LED快,但是Purcell效应也改善了这种情况。
实际上,从能量转换的角度来看,纳米LED可能与纳米激光一样有效。但是,纳米LED和纳米激光仍将具有不同的光子统计和噪声特性。对于噪音不是问题的应用,纳米LED就足够了。由于增益材料的激发水平较低,纳米LED值得关注的另一个问题可能是发射功率受到限制。
最后,spaser的最有前途的应用之一是它们在片上光学互连中的新颖用途,超越了常规光学互连中已经讨论过的用途。这个尚未被实验证明的应用可以解决电子信息处理的最重要的问题:处理器有限的时钟速率(实际上,不超过几GHz)和高热量问题。
这两种缺陷都源于相同的基本物理原理:处理器芯片上晶体管之间的耦合是静电的。当晶体管发生状态翻转时,互连线必须通过单个晶体管的电流进行充电,这需要很长时间,并以热能的形式释放静电能量。
然而,基于使用SPP将信号从一个晶体管传递到另一个晶体管,人们提出了一个完全不同的原理。在这种情况下,一个发射晶体管电泵浦一个与晶体管具有~10 nm相同大小的等离子纳米激光器。等离子纳米激光器由SPP波导加载(为此,可以使用与当前电气互连相同的铜互连类型)。
另一方面,SPP脉冲被锗纳米晶体转换成电荷并被送入接收晶体管。已有证据表明,一个纳米级晶体管可以产生足够的驱动电流来驱动spaser。因此,这种由spaser介导的SPP互连原理从根本上是现实的,并且确实非常有前途。
结 论 和 展 望
在这篇综述评论文章中,作者概述了纳米激光器在过去十年间的发展。论文首先简要回顾了激光小型化的历史,其最终导致了等离子体纳米激光器的设计与首次演示。接着对等离子体纳米激光器的基本特性进行了总结。然后概述了物理和技术驱动的小型激光器的动机,这些动机包括开发一个纳米级的相干光源,控制和降低激光阈值,加速激光在信息传输中的时间动力学,以及增益-损耗的权衡。
在过去的10年里,spaser和纳米激光的发展取得了显著的进展。关键的改进包括阈值降低、电注入运转、提高工作温度、提高量子效率、改进最初开发的单粒子spaser的性能、等离子体发射器的阵列运转能力以及多物理建模和仿真。
论文的最后一部分提出了作者对这一领域的看法,并强调了未来基础研究和应用研究的几个重要方向。这些方向包括解决等离子体纳米激光器的终极尺寸的关键问题,在理论上和实践中,特别是考虑到电注入的可能性;使玻色-爱因斯坦凝聚物小型化的一种新可能性;控制自发辐射与受激辐射;最后,在最终的小尺度上激光的相对优点。其中一些问题以及有关的未解决问题和未来前景最近也在其他地方提出。我们相信未来为了达到这些目标和解决这些基本问题的研究将进一步加深我们对光子、等离子和物质相互作用的物理学的全面理解,并拓宽等离子体纳米激光器的应用。
原文题目为:Ten years of spasers and plasmonic nanolasers,发表在Light: Science & Applications 期刊。
论文地址:
https://doi.org/10.1038/s41377-020-0319-7
作者包括普渡大学的Azzam, Kildishev和Shalaev, 北京大学的马仁敏, 清华大学的许嘉璐和甯存政,英国帝国理工的Oulton, 美国乔治亚州立大学的Stockman, 以及美国伯克利大学和香港大学的张翔。清华大学甯存政教授为论文通讯作者。
欢迎课题组投递成果宣传稿

文章来源:中科院长春光机所 Light学术出版中心
免责声明:本文旨在传递更多科研资讯及分享,所有其他媒、网来源均注明出处,如涉及版权问题,请作者第一时间后台联系,我们将协调进行处理(按照法规支付稿费或立即删除)。转载请注明出处,如原创内容转载需授权,请联系下方微信号。



