

撰稿| 由课题组供稿
能量传输领域广泛,涉及电、声与光,与人类生产、生活密切相关,设计高效的能量传输器件意义重大。
20世纪初,贝尔实验室发现了阻抗匹配对于提高能量传输的重要性,从而使跨大陆通信成为可能。此后,四分之一波长的阻抗匹配器被广泛应用到电、声和光等能量传输中。然而常规的匀质阻抗匹配器存在着基本的厚度-波长限制,即匹配层厚度严格由波长决定,能量只能窄带传输。因此,如何实现能量在宽带范围内的高效亟待解决。
针对上述能量传输限制问题,近日,厦门大学张宇教授课题组与美国麻省理工学院(MIT)的方绚莱教授和赵选贺教授课题组合作,结合海豚声学结构、超构材料设计以及水凝胶柔性材料,提出了一种全新的“超凝胶阻抗变换器”(BMIT)设计。相关成果以“Bioinspired metagel with broadband tunable impedance matching”为题发表在国际综合性Top期刊《Science Advances》杂志上。
海豚生物组织具有复杂介质特性。历经长期的自然选择,海豚进化出多相的回声定位系统,包括气囊、声速-密度渐变组织、头骨与上颌骨等(见下文图1A,1B),能够将宽带脉冲高效地传输到水中(图1C, 1D,1E),其原理可为宽带阻抗匹配设计提供新思路(图1F)。

图1 A. 海豚头部的三维重建和组织样本;B. 海豚声主轴方向的阻抗分布函数;C. BMIT阵列示意图和尺寸分布;D-E. BMIT(凝胶-阻抗匹配结构)与QIT(四分之一波长阻抗匹配器)传输性能对比;F. BMIT与QIT频率响应的理论-模拟结果对比;
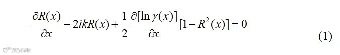
研究团队参考海豚声学系统的阻抗渐变特性,提出了BMIT的不均匀介质声传输线理论:

其中R为反射系数,i为虚数单位,
为匹配层的阻抗分布。对于传统的阻抗匹配器而言,匹配层为均匀介质层,为实现能量在不同介质层之间的高效传输,匹配层的厚度L与声波波长
要满足:

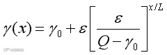
式(2)决定了阻抗匹配器有波长-长度依赖性,只能在某些特定的频率点实现高效传输,而无法实现宽带传输。而对于BMIT声阻抗梯度分布函数
而言,式(1)可变换为:

当L/λ >>1时,
会趋近1。此外,研究团队应用阻抗微扰、小反射系数等近似理论研究了BMIT的声传输机制,揭示了BMIT的工作波长独立于厚度,从而克服阻抗匹配器的窄带传输限制,从而实现宽带传输。
进一步,研究团队开展水下超声探测实验,将超构结构嵌入至水凝胶基体中,实现BMIT的阻抗渐变特性与柔性可调。测量结果表明该人工结构能够实现宽带声传输与探测(图2)。BMIT结合生物仿生、超构材料可编程与水凝胶可调的优势,突破传统阻抗匹配器的波长-长度依赖性,为下一代宽带器件设计开辟了新的途径。

图2 A. BMIT实验示意图;B. 凝胶-阻抗变换器的压缩比和填充率与声阻抗变换关系;C. 四分之一波长匹配器和凝胶-阻抗变换器的模拟-实验结果对比图;
厦门大学海洋与地球学院海洋仿生声学与技术(MBAT)实验室致力于生物声学与仿生研究。本研究工作首次结合海洋声学仿生与软物质新材料,开展交叉学科合作研究,提出基于海豚生物声纳宽带声传输原理的仿生设计,能为声学、力学、电子学和电磁学等领域实现宽带能量传输提供新思路,在多个领域有潜在应用前景。
厦门大学博士研究生董尔谦、宋忠长博士为该论文的共同第一作者。张宇教授、方绚莱教授为该工作的共同通讯作者。研究工作获得国家重点研发项目课题(2018YFC1407504)、国家自然科学基金(41676023;41276040;41422604;11604128)等资助。
文章链接

https://advances.sciencemag.org/content/6/44/eabb3641?rss=1
免责声明:本文旨在传递更多科研资讯及分享,所有其他媒、网来源均注明出处,如涉及版权问题,请作者第一时间后台联系,我们将协调进行处理(按照法规支付稿费或立即删除),所有来稿文责自负,两江仅作分享平台。转载请注明出处,如原创内容转载需授权,请联系下方微信号。

好看你就
点点
我

