
撰稿|王成立 林家杰
近日,日本电报电话公司(NTT)与东京工业大学科学技术创成研究院未来产业技术研究所合作,在磷化铟(InP)与碳化硅(SiC)异质集成衬底上制备出世界上第一台3dB带宽超100GHz的直调半导体激光器。10月19日,Nature Photonics 在线刊发了这项研究【1】。

研究背景
研究内容

图1. DML的俯视示意图、截面示意图。
研究亮点
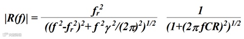
DML的带宽主要与弛豫振荡频率fr、阻尼系数r和RC时间常数有关,如上式【2】。目前DML的带宽主要受限于弛豫振荡频率fr。弛豫振荡频率fr与激光器差分增益dg/dN、光模式限制因子Γ、光模式体积V等参数相关。
1990年代,由于激光活性层性能的改善,DML的3dB带宽提升至30GHz左右。近30年以来,提高3dB带宽发展方向大致分为两个方向。一是集中在优化量子阱结构以增大差分增益dg/dN;二是引入失谐加载效应(detuned-loading effect)以及光子谐振效应(photon-photon resonance)来增大调制强度,但如图2(a)和(b)图列出的DML的3dB带宽值的发展历程,过去30年以来DML的3dB带宽值均未取得较大突破。其中一个重要的限制因素在于,当获得的光学模式取得高限制因子(Γ,optical confinement factor)和低腔模体积(active volume,V)时,在大偏置电压下,器件产生的热量(由自加热效应引起)无法及时散去,这导致DML差分增益dg/dN降低。


研究人员在2 km距离做了传输实验,信号进入2 km单模光纤的传输损耗在O波段为0.8 dB,所需发射功率粗略估计约为8.7dBm,与预测的8.8dBm的光输出功率相当。该研究成果是全球第一实现3dB带宽超过100GHz的DML,并且其能够以低成本和低功耗的解决方案来应对目前预期的通信量增长,将有助于实现NTT 此前提出的Innovative Optical&Wireless Network(IOWN)概念。未来将看到能够处理具有4或8个阵列的传输容量超过1 TB的下一代以太网标准的发射机的实现。

图4. DML的小信号带宽测试。(不同颜色曲线代表注入电流不同)

图5. 短距离传输误码率性能表征
[1] Yamaoka S, Diamantopoulos N P, Nishi H, et al.Directly modulated membrane lasers with 108 GHz bandwidth on ahigh-thermal-conductivity silicon carbide substrate[J]. Nature Photonics, 2020:1-8.
[2] https://pdfs.semanticscholar.org/bf52/566fcf24d68d9ac01352af1138f7f13ce906.pdf
[3] Yamaoka S, Diamantopoulos N P, Nishi H, et al.239.3-Gbit/s net rate PAM-4 transmission using directly modulated membranelasers on high-thermal-conductivity SiC[C]//45th European Conference on OpticalCommunication (ECOC 2019). IET, 2019: 1-4.
异质集成XOI课题组
免责声明:本文旨在传递更多科研资讯及分享,所有其他媒、网来源均注明出处,如涉及版权问题,请作者第一时间后台联系,我们将协调进行处理(按照法规支付稿费或立即删除),所有来稿文责自负,两江仅作分享平台。转载请注明出处,如原创内容转载需授权,请联系下方微信号。



