

撰稿| 由课题组供稿
导读


我们所熟知的存在于自然界中的三种物质状态包括固体,液体以及气体。这三种状态可随着温度发生互相转变,例如在冬天的房间玻璃上可见到由水蒸气凝聚成的水珠。实际上,生活中还存在第四种物质状态——在固态及液态之间的液晶态,而且该物质已广泛应用于随处可见的液晶显示屏(LCD,Liquid Crystal Display),比如手表,手机,电脑等电子设备的屏幕。液晶既具有类似于液体的可流动性也有类似于晶体的方向性,这使其可在不同温度或者不同浓度下呈现出不同的相态。在层列相液晶中,粒子排列成等间距、具有周期性的层状结构且其在每层均具有一定方向上的流动性。这些特殊的周期性层状结构因此吸引了大量学者进行数学、物理或材料方面的研究,同时也在一个多世纪的发展中遗留为层列型液晶理论的重点、难点之一。尤其是在此项研究之前,关于存在于层列型液晶中的多种缺陷结构(比如三维焦锥结构以及二维油性条纹结构)进行可行且有效数值实验方面的研究少之又少,基本空白。
因此如何构造数学模型来有效捕捉层列型液晶中的缺陷结构并实现可反复实验的数值模拟已成为研究层列型液晶性质结构中的重要一环。
本项工作提出了新的层列型液晶数学模型并利用有限元方法数值检验了三种由边界条件引入的几何型受阻情形(即因给定的边界条件与等距层状性质不符而形成了缺陷)下的有效性,首次数值捕捉到了两种典型缺陷(焦锥结构和油性条纹结构),也对形成缺陷的条件加深了理解。
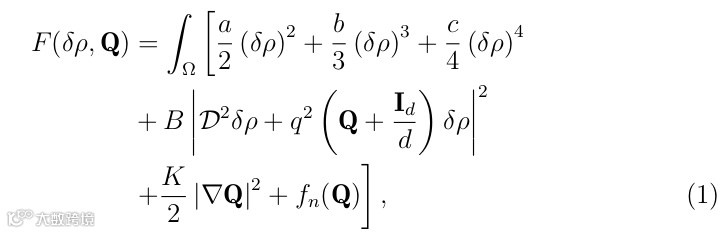
本研究提出的模型本质上为一个无限制条件的能量最小化问题,其自由能的形式为
其中,

在这里,

a,b,c,B,q,K,I为参数,D2 为 Hessian 算子。显然,该模型的未知变量有两个:实的层状密度变量 δρ 以及粒子的方向矩阵Q。
此类无限制条件的优化问题在数值实验方面具有简单性、方便性,且不需考虑复杂的算法结构来满足限制条件。然而由于 Hessian 算子的作用,这要求 δρ 至少属于 H2 希尔伯特空间(即二次可积函数且其一阶导、二阶导均二次可积)。一般来讲,这意味着符合 H2 条件的有限元需要至少有一阶连续可导性,但(尤其在三维情况下)符合此要求的有限元都具有相当的复杂度,从而影响了数值实验的简便性。本研究因此采用普通且简单可行的拉格朗日有限元来逼近真实解,同时弱惩罚内部元边界上的一阶导数来近似所要求的一阶连续可导性,也就是说,在自由能(1)中加入了如下惩罚项:

其中,γ 为惩罚系数,EI 为网格中的所有内部边界,he 为元边界 e 的大小,同时定义在两个相邻元 K− 和 K+ 的交界 e 处的关于向量
的跳跃算子为

在这里 ν− 和 ν+ 分别是单元 K− 和 K+ 上的单位法向量。接下来,可将模型(1)及有限元格式应用到三个场景中来检验模型的有效性。
3.1 情形一:弯曲形变
此情形是用一个简单的二维例子,可用于检验层列型液晶中弯曲形变的作用。将一个长方形装满层列型液晶,并对其上下两边界的方向矩阵变量 Q 施加狄利克雷条件从而使得上下边界的粒子关于水平轴呈 θ0(取值在0到π/2之间)角度的的镜面对称排列。因此改变 θ0 的大小可影响此液晶对弯曲形变的不同程度及反应方式。
数值实验结果显示:当 θ0 = 0(即无外界施加弯曲形变条件),该液晶呈现出“书架”状几何形式(可见图 1 中最后一行的第一张图);而随着 θ0 变大,施加于液晶上的弯曲形变将增加且引出了三种反应状况:液晶可将形变作用均匀分散在垂直方向上(如图 1 中最后一行的第二张图);将弯曲形变集中于中心区域(如图 1 中最后一行的第三四张图);或者引入边缘位错来减少更多弹性形变的影响(如图 1 中最后一行的后三张图)。

图1: 不同 θ0 取值下的各种由弯曲变形影响的解。此图展示了 δρ 变量的层状结构。在每个解上面该图标注了单位面积的能量计算值并且用星号来表示稳定解。最后一行给出了通过多解算法 [1] 找出的不同 θ0 取值下的最低能量解。
更多相关结果及视频展示可见文末原文链接。
3.2 情形二:焦锥结构
层列型液晶中的一个典型的缺陷为三维焦锥结构,因此此情形现验证焦锥结构确是(1)的平衡解并给出形成此缺陷的实验边界条件。给定一个长方体,本数值实验发现,如果在其上下两边界面上的方向矩阵 Q 施加狄利克雷条件从而使得上边界粒子排列与 z-轴呈 θc(取值在0到π/2之间)角度以及下边界粒子始终排列在 xy 平面内,那么所提出的数学模型可模拟出焦锥结构。同时,随着倾斜角 θc 的增加,其中的双曲型线缺陷的偏心率也逐渐增大。另外,此数值实验还发现了此条件下的两种特殊的缺陷结构:单螺旋位错以及双螺旋位错,这也展示了因几何受阻情况下产生的缺陷可以如何排列的更多可能性。

图2: 在带有不同倾斜角 θc 边界条件下的焦锥结构。A 单螺旋位错结构解θc = π/12)。B 双螺旋位错结构解(θc = π/12)。C 不同 θc 取值下的稳定解。关于 θc = π/12 取值下所展示的三个解中,焦锥解具有最低能量值而双螺旋位错结构解具有最高能量。
更多视频结果展示可见文末原文链接。
3.3 情形三:油性条纹结构
层列型液晶还有可由几何受阻引起的另一种典型缺陷结构——“油性条纹”结构,它不同于前面的焦锥结构(在缺陷处改变了整个层面的弯曲度),其在平行于双基片方向上表现出层状的周期性同时在与基片垂直的方向上具有层状的空间一致性。为此,该情形用所提出的数学模型来研究、模拟油性条纹的形成并通过改变区域的长宽比来对比可产生最低能量的薄片比例,从而可与相关物理实验结果进行比较。同样地,在四边形的上下边界的方向矩阵 Q 施加狄利克雷条件从而使得上边界粒子呈垂直排列以及下边界粒子呈水平排列。事实上,该情景设置下的大部分数值实验结果与由 Michel 等人 [2] 所提出的结构具有高度相似性,这再一次验证了此模型的有效性。另一方面,此类数值实验还发现了此情形中其他的结构可能性(比如图 3E 的最后一行),其中垂直排列的层状结构占据相当一部分比例。这促进了对于油性条状结构的更深层次理解。

图3: 油性条状结构. A-C 由 Michel 等人 [2] 提出的与 X-光射线衍射实验相吻合的几种结构。D 关于区域长宽比 L/τ 的分支图。E 不同长宽比 L/τ 取值下的几个平衡解。其中最上面一行展示了所找到的最低能量解。此图在每个解上面标注了单位面积下的能量值以及用星号来代表稳定解。
更多视频展示可见文末原文链接。
本研究所提出的关于层列型液晶的数学模型以及简单可行的有限元数值格式成功首次捕捉了几种典型的缺陷结构并验证了实际物理观测现象。这为研究层状系统或层列型液晶的多种拓扑、缺陷结构提供了有效的数学模型及计算格式,可与实际物理实验相结合展开更多、更深层次的结构研究,具有广阔的数学、物理、材料等方面的拓展研究前景。
文章信息:该研究成果以“Structural Landscapes in Geometrically Frustrated Smectics”为题在线发表在《物理评论快报》(Physics Review Letters),并被编辑部选为“编辑推荐文章”。
本文第一作者为牛津大学数学系博士生夏静敏,通讯作者为牛津大学教授Patrick Farrell,合作者为美国塔夫茨大学Tim Atherton和加拿大纽芬兰纪念大学Scott MacLachlan。
[1] P. E. Farrell, Á. Birkisson, and S. Funke. Deflation techniques for finding distinct solutions of nonlinear partial differential equations. SIAM Journal on Scientific Computing, 37(4):A2026–A2045, 2015.
[2] Emmanuelle Lacaze, Jean-Philippe Michel, Michel Alba, and Michel Goldmann. Planar anchoring and surface melting in the smectic-A phase. Physical Review E, 76(4):041702, 2007.

https://journals.aps.org/prl/abstract/10.1103/PhysRevLett.126.177801
免责声明:本文旨在传递更多科研资讯及分享,所有其他媒、网来源均注明出处,如涉及版权问题,请作者第一时间后台联系,我们将协调进行处理(按照法规支付稿费或立即删除),所有来稿文责自负,两江仅作分享平台。转载请注明出处,如原创内容转载需授权,请联系下方微信号。



