
分辨率的光纵向相位测量在现代光学的很多领域都扮演着重要角色。
早在1887年,Michelson利用光学干涉仪测量地球在假想的以太中的绝对移动,即著名的Michelson-Morley实验, 从而促进了狭义相对论的产生。激光干涉测量引力波和潜艇光纤陀螺导航仪都是光纵向相位精密测量成功应用的范例。通过把光的纵向相位和其他物理量进行结合,就可以对不同的物理量进行精密测量。比如通过磁光效应把磁场强度和光的不同偏振分量之间的相位差结合起来,就可以利用弱测量方法精确测量磁场强度。
我国学者在基于弱测量的光学精密测量领域已经取得了一系列具有国际影响力的重要进展。2013年,中国科学技术大学李传锋课题组利用LED灯作为光源,通过观察弱值的虚部(宽带光谱平均位置的移动),对光的两个偏振分量的相位差进行了精密测量。相比于传统相位估计方法,弱测量方法把光的相位差放大了5个数量级。
弱测量中的放大效应可以产生远大于观测量本征值的探针移动,从而可以用来提升精密测量中信噪比,达到更高的测量精度。

图1 实施弱测量的三个步骤:
1.前选择;2.弱耦合;3.后选择
标准弱测量方法最初是由Aharonov ,Albert, 和Vaidman在1988年提出,其带弱值放大效应是放大微弱信号的一个有效手段,它在消耗大量测量资源的代价下可以带来更高的灵敏度,具有传统测量方法无法达到的分辨能力。
不同于普通的量子正交投影测量,标准弱测量包含了以下三个步骤:量子初态的制备,弱的耦合,后选择到某个量子态上。
由于后选择态相对于初态是几乎正交的,而很弱的相互作用对初态改变很小,所以后选择概率都很低。这导致了许多有趣的结果,比如利用后选择态探测到的系统的可观测量的弱值可以不在该可观测量的本征值范围内。这意味着弱测量可以有效放大测量探针的移动幅度,也就是增强了测量探针的灵敏度。
这样的弱值放大效应可以被用于各种光学测量实验中用来提升光束的横向位移和纵向相位的测量精度,也可以用来观测光子的自旋霍尔效应等微观现象。弱测量还可以帮助我们理解很多非直观的量子物理现象,比如可以用来测试量子力学中的宏观实在隐变量理论,Hardy佯谬等等。
近日,中国科学技术大学郭光灿院士团队的李传锋、陈耕等人利用自主发展的新型偏置弱测量技术在实验上大幅度提升了磁场探测的精度。
图源:中国科学技术大学李传锋、陈耕等人
该成果以 Improving the Precision of Optical Metrology by Detecting Fewer Photons with Biased Weak Measurement 为题发表在 Light: Science & Applications。
这种新方法一方面通过改变实验装置的工作区间获得了更强的信号放大,另一方面通过光学干涉相消降低了到达探测器的光子数量,从而解决了探测器饱和效应对于精度提升的限制。这两种特性的结合使得这种新型的弱测量方法在磁场探测中的精度远优于传统方法和标准弱测量方法。
光学精密测量中,一个简单有效的提升测量精度的方法是增加与系统耦合的光子数量,从而以n1/2速度提升测量的信噪比。
然而,提升光子数量同时也会带来损害测量精度的因素,最典型的是光电探测器响应会偏离线性区间,甚至饱和到不能读出任何有效信息。
弱测量可以在后选择很小一部分光子进行探测的同时,几乎提取所有光子中所包含的Fisher信息量。这一特性可以有效的减轻探测器饱和效应对于精度提升的限制。
在标准弱测量方法的基础上,李传锋、陈耕等人提出了一种新型的偏置弱测量方法。这种新的方法通过预先引入一个偏置相位,改变了实验装置的工作点,从而在进一步降低探测光子数的同时,极大的增加了光谱移动对于相位变化的灵敏度。
如图2所示,偏置型弱测量方法可以在光谱分布上生成一个干涉相消点,并且该消光点的位置会随着相位的变化快速移动。
图2 偏置型弱测量(BWM)具有比传统方法(CM)和标准弱测量方法(SWM)具有更高的灵敏度和探测动态范围
在初始入射光子数很大的情况下,传统测量方法和标准弱测量方法都会产生探测器饱和; 与之对比,偏置弱测量方法产生的干涉相消点难以彻底饱和,从而可以持续提供很高的Fisher信息量。
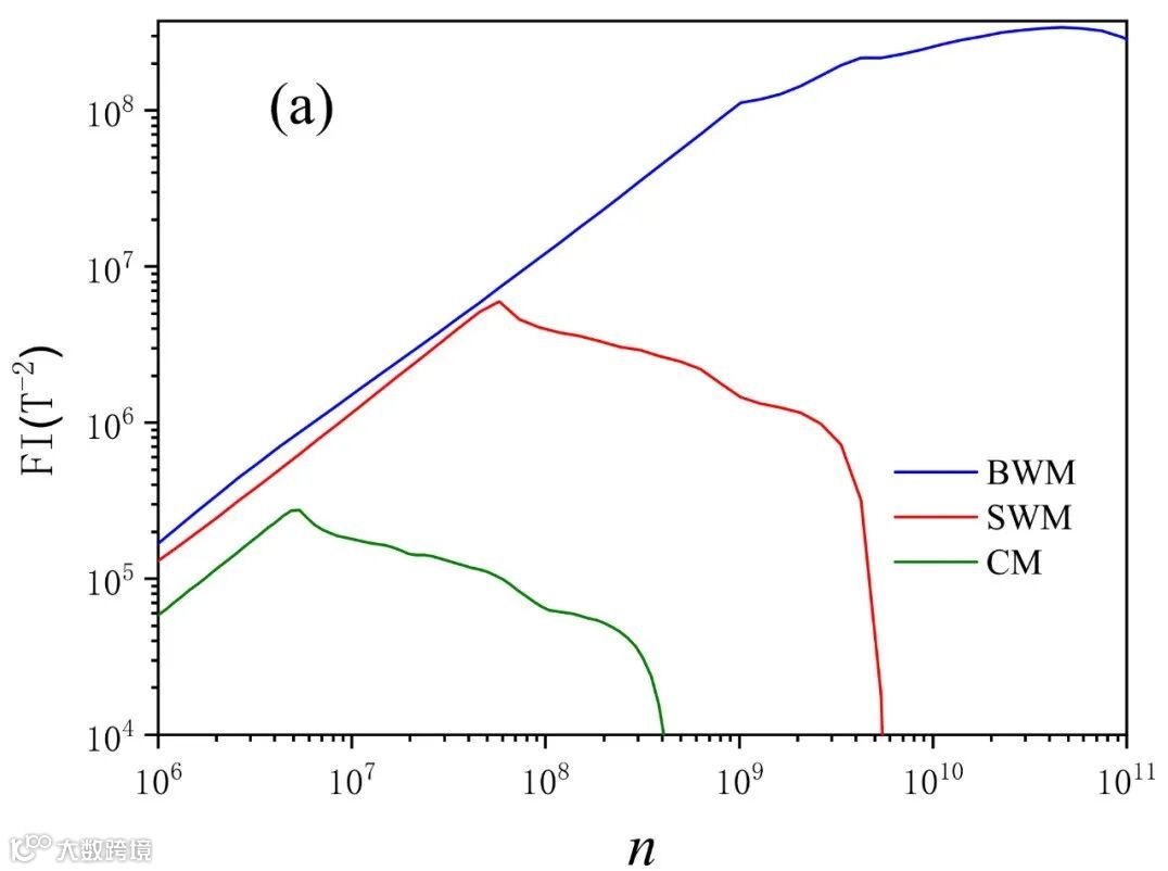
通过对探测器的响应模型数学建模,可以计算三种方法提取Fisher信息量随初始入射光子数的变化,计算结果如图3所示。

图3 偏置弱测量(BWM)、标准弱测量(SWM)和传统测量(CM)提取的Fisher信息量随入射光子数n的变化
可以看到传统测量(CM)和标准弱测量(SWM)随光子数增加先后饱和,之后Fisher信息量会快速下降,而偏置弱测量(BWM)的饱和点光子数提升了接近三个数量级,对应的Fisher信息量可以持续增加到远超过前两种方法。
为了实验证实偏置弱测量(BWM)的优势,研究团队搭建了一个如图4所示的光学磁力计。左旋和右旋偏振的光经过磁光晶体后会产生一个与磁场强度成正比的光学相位差,通过测量这个相位差就可以估计磁场强度的大小。

图4 光学磁力计装置图
在实验中, 科研组利用如图4所示的磁力计装置比较了三种测量方法的精度。在使用足够多光子数的情况下,由于高灵敏度和探测更少光子的特性, 偏置弱测量的精度比标准弱测量方法和传统测量方法提高了大约一个数量级。
偏置弱测量方法相对于标准弱测量方法仅增加了一个预先耦合的步骤,在实验上通过引入一个偏置相位即可实现。其实现的超高灵敏度和干涉相消不仅提升了测量中的信噪比,也大幅增强了光电探测的动态响应范围。这些特点使得偏置弱测量方法将弱测量的优势推进到一个新的高度,可以广泛应用于各种光学精密测量方案中。
论文信息
https://doi.org/10.1038/s41377-021-00543-4
免责声明:本文旨在传递更多科研资讯及分享,所有其他媒、网来源均注明出处,如涉及版权问题,请作者第一时间后台联系,我们将协调进行处理,所有来稿文责自负,两江仅作分享平台。转载请注明出处,如原创内容转载需授权,请联系下方微信号。



