
大数据传输、云计算、人工智能技术、物联网等各种现代信息技术的快速发展,对网络传输速度和容量提出了更高的要求,需要进一步发展更高功率、更高速度的电子设备。随之而来的就是纳米器件中强烈的焦耳热效应会增加通道温度并严重降低器件性能。解决这些问题的关键是更好的热管理技术:一方面需要使用更好的散热材料如石墨烯、金刚石等,另一方面需要降低接触界面热阻。对于小尺寸的高功率器件,界面的导热能力实际上已经成为制约器件性能提升的瓶颈,因此研究它们的界面导热机制尤其重要。在这些半导体器件中,界面热导主要是由异质结界面附近的几个原子层产生的界面声子决定的。但目前人们对于界面声子如何影响界面热导知之甚少,主要原因是缺乏有效实验测量界面热导或声子的手段。
近日,北京大学高鹏课题组与清华大学罗毅院士团队、清华大学和南方科技大学薛其坤院士团队合作,利用兼具空间分辨和动量分辨能力的四维电子能量损失谱技术(专利:ZL202011448013.7)测量了第三代半导体AlN与Si衬底、金属Al电极等界面的声子模式,并探索了不同界面的声子传输行为以及界面声子对热导的贡献。相关成果以“Atomic-scale probing of heterointerface phonon bridges in nitride semiconductor”为题,于2022年2月18日在线发表于PNAS。

图 1 AlN/Si 界面的原子结构和声子谱。 (A) AlN/Si界面的原子HAADF图像和结构。比例尺,0.5 nm。(B) AlN/Si界面处的EELS谱。(C) Si和AlN的面内布里渊区、声子色散和态密度的面内分量。
研究者首先利用原子分辨高角环形暗场像(HAADF)图像确定了AlN/Si的界面原子结构,又测量了界面处的电子能量损失谱(EELS),并结合分子动力学模拟计算的声子色散和态密度确定了EELS各个特征峰对应的声子模式。他们发现Si-TA1(TA:横声学支)模式能够穿过界面渗透到AlN层,Si-LA1/LO1(LA:纵声学支;LO:纵光学支)模式和AlN-TA2模式在界面处相连,Si-TO1(TO:横光学支)模式也在界面处连接到AlN-TO3模式,形成跨界面的桥梁,将Si和AlN的体声子连接起来。AlN-LOs/TOs模式穿透到Si层,但在~1 nm内迅速衰减。

图 2 AlN/Si界面处的界面声子。(A) 实验测量的EELS谱和(B)模拟计算的体态AlN、AlN/Si界面和体态Si 的投影态密度的面内分量。箭头表示界面处Si-TA1模式和AlN-TA2模式发生了蓝移。在AlN/Si界面高斯拟合分峰得到峰的位置(C)和强度(D)。(E)不同声子模式的强度分布图。(F) 计算的声子模式的本征振动矢量。
图2A和2B箭头分别显示了Si-TA1模式和AlN-TA2模式在界面的能量移动。实验上:Si-TA1模式的蓝移约为3.4 meV,AlN-TA2模式的蓝移约为1.5 meV;模拟结果为:Si-TA1模式的蓝移约为4.4 meV,AlN-TA2模式的蓝移约为1.8 meV,实验结果和模拟结果具有合理的一致性。如图2C和2D所示为高斯拟合分峰得到各支声子的能量和强度。Si-TA1模式穿透到AlN层并具有轻微的蓝移;Si-LA1/LO1模式靠近界面能量降低,AlN-TA2靠近界面能量升高,并在界面处连接起来,形成“声子桥”;Si-TO1模式和AlN-TO3模式也有轻微的能量偏移,并且也相互连接形成了“声子桥”。这些“声子桥”将界面两侧Si和AlN的不同能量的声子连接起来,能促进不同声子在界面处的转化,进而促进声子跨界面传输以贡献热导。图2E和2F分别为典型能量窗口的EELS强度分布图和相应的计算的振动本征矢,包含了四类界面声子:扩展模式、局域模式、部分扩展模式和孤立模式。

图 3 AlN/Al 的原子结构和界面声子。(A) AlN/Al界面的原子HAADF图像和结构。比例尺,0.5 nm。(B) AlN/Al界面声子EELS谱。(C)Al和AlN的面内布里渊区、声子色散和态密度的面内分量。(D) 体态AlN、AlN/Al界面和体态Al的 EELS谱。(E) AlN/Al界面的不同子声子的能量变化。(F)不同声子模式的强度分布图。
研究者又用同样的方法研究了AlN/Al异质结界面声子结构。与AlN/Si界面不同,没有观察到明显的“声子桥”将两侧不同能量的声子连接起来(如图3B)。高斯拟合分峰(图3E)也表明Al-TA3模式和Al-LA3模式在界面处终止,AlN-TO3模式在界面处突然消失,仅AlN-LOs/TOs模式穿透到Al层约1.5nm。图3F中22-24 meV、61-63 meV和81-83 meV的强度图表明这些模式中的大多数是部分扩展模式,这意味着极少部分声子可以穿过界面。

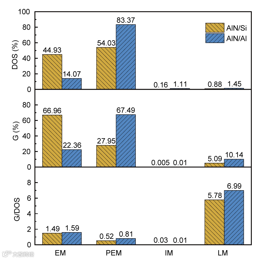
图 4 AlN/Si界面和AlN/Al界面四类界面声子对声子态密度和界面热导的贡献。 上、中、下三幅图分别代表不同类声子占总声子态密度的比例、占总界面热导的比列、平均每个声子对界面热导的贡献。
研究者进一步计算了AlN/Si和AlN/Al体系每类界面声子对热导G的贡献。扩展模式因为在界面及两侧都有振动分量,可以充当连接两侧声子的桥梁,因此每个模式对界面热导的贡献(G/DOS)比部分扩展模式更大。事实上,在Si/AlN系统中扩展模式数目占总DOS的约45%,但在AlN/Al系统中仅占总DOS的约22%,这意味着AlN/Si的界面热导要大于AlN/Al的界面热导。孤立模式对界面热导的贡献很小,因为界面附近没有原子振动,热能无法随声子传递过去。局域模式的声子每支具有最高的贡献,但它们的数目太低使它们总的贡献不超过总界面热导的10%。
总结与展望
研究团队在AlN/Si异质结界面上观测到了界面模式具有明显的桥效应:界面存在原子尺度局域的声子模式,和两侧AlN和Si的不同能量的体声子有很强的关联作用,通过多次非弹性散射一侧声子可以把能量先传递给界面局域声子再传递给另一侧声子,从而交换能量;此外,也观察到了明显的界面扩展模式,能够通过弹性与非弹性传递能量。这两种模式都能作为散射通道有效促进界面热量的传输。而在AlN/Al界面,局域模式和扩展模式占比较少,对界面热导贡献较小的部分扩展模式占比很大,所以并没有观察到明显的声子桥。这些结果解释了为什么AlN/Al的界面热导要远小于AlN/Si。该工作深化了我们对界面声子传输和热输运的理解,尤其为基于氮化物的高功率、高电子迁移率晶体管和大功率发光二极管等半导体器件的热管理提供了有用的信息。
上述研究工作得到国家自然科学基金、量子物质科学协同创新中心、轻元素量子材料交叉平台、北京大学电子显微镜实验室、北京大学高性能计算平台等支持。

论文链接:
https://www.pnas.org/content/119/8/e2117027119
免责声明:本文旨在传递更多科研资讯及分享,所有其他媒、网来源均注明出处,如涉及版权问题,请作者第一时间后台联系,我们将协调进行处理,所有来稿文责自负,两江仅作分享平台。转载请注明出处,如原创内容转载需授权,请联系下方微信号


