压电材料Piezoelectrics,是响应于所施加电场而线性变形的材料。作为基本前提,压电材料必须具有非中心对称的晶体结构。一个多世纪以来,这一直是寻找压电材料的主要障碍。
近日,瑞士洛桑联邦理工学院D.-S. Park,D. Damjanovic团队在Science上发文,报道通过打破晶体对称性,并通过电场诱导的氧空位重排,在中心对称材料中诱导巨大且可持续的压电效应,从而有力地跨越了过去压电材料必须是非中心对称晶体结构的这一限制。研究结果显示,在立方萤石钆掺杂cubic fluorite gadolinium-doped CeO2−x薄膜中,产生了超大压电响应[在毫赫兹频率下,压电应变系数(d33)约为200,000皮米每伏],这比目前最著名铅基压电弛豫-铁电氧化物在千赫兹频率下观察到的响应超过两个数量级。这些发现,为设计环境友好无铅的中心对称压电材料,提供了机遇。
Induced giant piezoelectricity in centrosymmetric oxides。
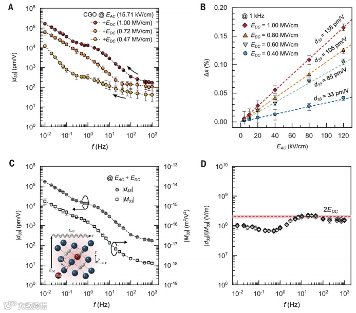
图1. Gd掺杂CeO2−x, CGO薄膜的电场诱导电致伸缩响应
图4. 氧空位oxygen vacancies,Vo在中心对称萤石CGO薄膜中再分布效应
压电材料,通常仅依靠其晶体结构来响应于应变而产生电荷。这使得该材料对于各种传感应用具有吸引力。该项研究通过将钆gadolinium引入非压电二氧化铈cerium dioxide,提出了一种不同的研发策略。这种方法还会产生氧空位,使材料在静电场下具有频率相关的压电效应。该效应大小类似于商业压电材料,并且该策略应该更普遍地适用于广泛类别的材料。
该项研究展示了,在本质上中心对称的非化学计量氧化物(萤石fluorites),通过电场诱导移动氧空位oxygen vacancies,Vo,重新分布产生非常高压电效应。在Gd-doped CeO2−x,CGO薄膜的巨大低频压电效应(高达d33~200,000pm/V),这是因为同时施加交变电场和静电场引起的。此外,这种在中心对称材料中,实现了可供选择性机电转换的直接方法,即纯且较大的电致伸缩,纯且较大的压电,或者在受控电场下的混合响应。通过电场控制中心对称离子材料中可移动离子的化学膨胀、相变、扩散和重新分布是一个唯象概念,其目的是诱导大的机电转换,这一概念,可以推广到其他材料系统。该项研究发现,通过利用具有较大离子迁移率的中心对称材料,提供了压电效应的范式转变,这为机电、环境友好和生物相容性材料,在致动器和传感器中的潜在广泛应用,开辟了道路。
文献链接:https://www.science.org/doi/10.1126/science.abm7497
DOI: 10.1126/science.abm7497
本文译自Science。
免责声明:本文旨在传递更多科研资讯及分享,所有其他媒、网来源均注明出处,如涉及版权问题,请作者第一时间后台联系,我们将协调进行处理,所有来稿文责自负,两江仅作分享平台。转载请注明出处,如原创内容转载需授权,请联系下方微信号
