
模数哥定于本月17-18日做一次线上COMSOL培训,关于光学拓扑和超材料,欢迎关注:
本文导读:
1,杂货店相关链接;
2,COMSOL仿真陈绝缘体、陈数,WilsonLoop;
一、杂货店相关链接
二、COMSOL仿真电磁陈绝缘体
谈论经典波的拓扑,怎么都绕不开电磁陈绝缘体,即Zheng Wang, Yidong Chong等巨佬2008-2009年在MIT做的系统工作:Reflection-Free One-Way Edge Modes in a Gyromagnetic Photonic Crystal, PRL.100, 013905 (2008),还有Observation of unidirectional back scattering-immune topological electromagnetic states, Nature. 461, 772 (2009),即采用磁光材料(一般为钇铝石榴石YIG),通过采用外加磁场的方式,给磁导率张量permeability tensor引入不对称的非对角元,从而打破系统的时间反演对称性(time-reversal symmetry),类比电子的量子霍尔效应,获得非互易、强鲁棒、抗散射的边界态传输,其实验观测文章已有两千多次引用,称之为Milestone实至名归。

之前猫哥在拓扑不变量(1)的帖子中扼要介绍了如何使用COMSOL with Matlab,计算各类拓扑不变量(如Zak Phase, Berry Curvature, (valley) Chern Number, Wilson Loop等),其中关于陈数的计算,就提到了这篇经典的工作,但是很多地方语焉不详,模数哥今天班门弄斧,稍作全面的阐述。

上图所示即为其结构设计,即使用两个平型铜板形成微波波导(电场只有z分量),中间为采用YIG材料设计的二维光子晶体。因为铜板没有磁响应,犹如空气,所以外加稳态磁场可以轻松穿透,从而打破系统的时间反演对称性,获得单向传播的边界态:

在demon此边界态之前,我们首先使用COMSOL软件对该四方晶格光子晶体进行建模仿真。根据原文参数,我们分别得到有无磁场下的单胞的能带结构(2008原文Fig.2a-b):

可见由于磁场的存在,第二、三两带在布里渊区顶点M处的简并被打开,形成了一个global的band gap。通过计算其体带的陈数(Chern Number)以及Wilson Loop,我们可以证明其第二个带隙非平庸,即其下方所有能带的陈数之和非零:

需要说明的是体陈数和Wilson Loop是理解陈绝缘体的两个视角,二者相互关联:陈数的绝对值即对应Loop的圈数,而符号则对应Loop的方向。
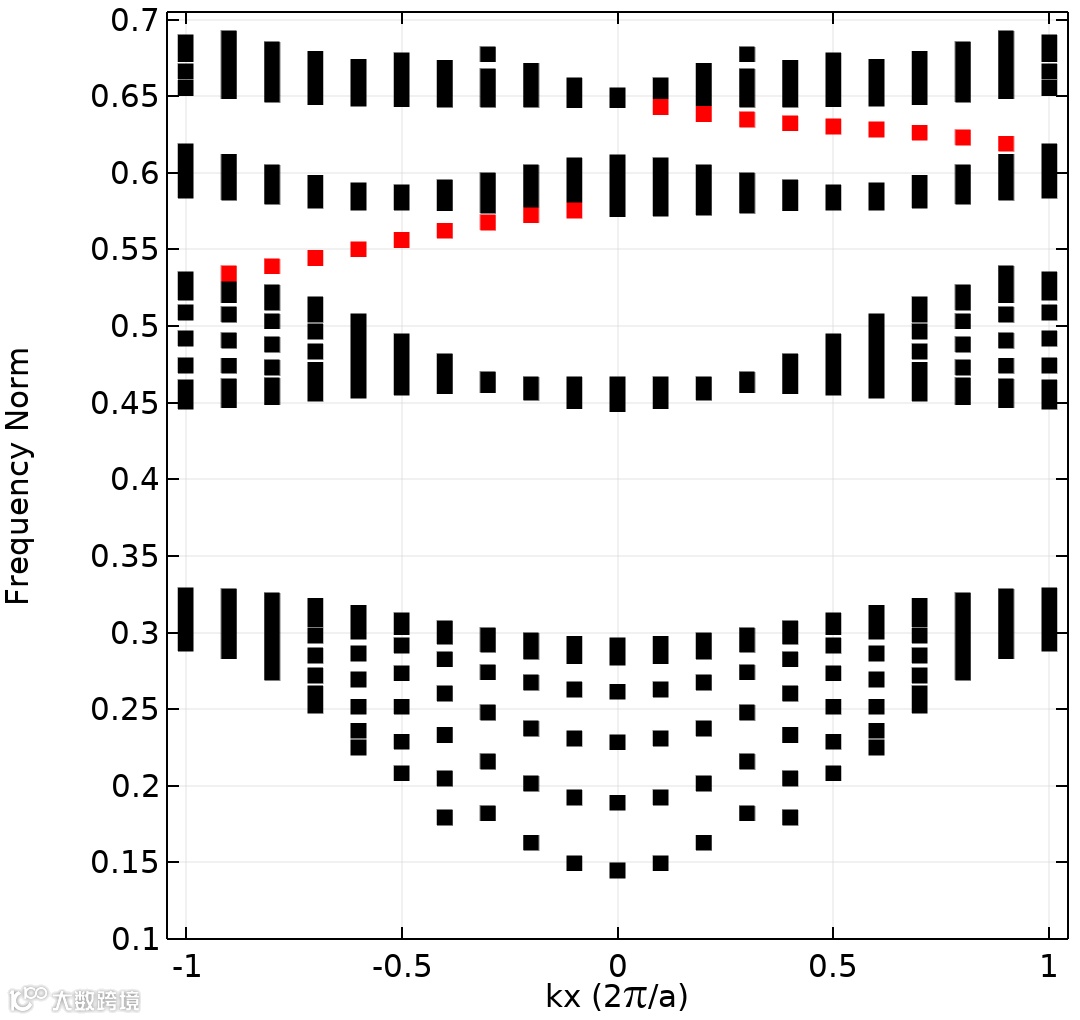
为了理论说明第二个gap支持拓扑边界态,我们仿真上图中超胞结构的投影能带,可以发现其在非平庸的带隙中确实存在拓扑边界态:

1,图中黑点即为超胞的体模式,即模场弥散在整个空间,而红点为超胞一侧所支持的边界态,带隙中边界态的条数,这和拓扑理论的体边对应关系(bulk-edge correspondence)是一致的。而且gap Chern number的正负,是和边界态的群速度方向相关的。
2,还有一点需要注意,此时的边界态处于光锥之内,所以如示意图所示,超胞的两侧需要使用完美电导体PEC边界条件等效为全带隙的拓扑平庸态。为了能够使用空气域作为平庸态来和YIG材料构造边界态,后来南京大学的蒲殷和伍瑞新老师换用了石墨烯晶格(graphene lattice),从而使得边界态处于光锥之外,详见PRL106, 093903 (2011), Experimental Realization of Self-Guiding Unidirectional Electromagnetic Edge States,这也是蒲殷老师的成名代表作,后面我们再找时间膜拜一番。
3,需要说明的是,YIG的磁光系数在微波波段是比较客观的,而到了红外或者可见光波导就非常小,所以传统的磁光隔离器件都非常的bulky,这也是这篇文章是采用微波波段做demon的原因。而对于声学而言,自然界并没有具有很好磁-声效应的材料,为了打破时间反演对称性,2014年Andrea Alu教授充分利用其机械波的特性,通过引入背景流场,获得了等效磁场的效果:声学非互易-2014 Science 基于环形气流的声隔离。虽然随后Alu教授、Yidong教授组还有南大卢明辉教授组都propose了声学陈绝缘体,但是在一个阵列中精确控制每个腔中的背景流速还是很具有挑战性的。一直到了2019年,声学陈绝缘体才由声学所梁彬教授组实验demon出来:PRL, 122, 014302 (2019)。
言归正传,现在我们来模拟该拓扑系统,并使用点源来激发该拓扑界面态。当我们选择边界态所对应的频率进行仿真时,确实可以获得很好的单向传输的效果(2009原文Fig. 2a-b):

至此,关于电磁陈绝缘体的仿真,就基本介绍完了。想要一起探究其中仿真细节的小伙伴,就请赶快报名参加我们的COMSOL培训吧:

免责声明:本文旨在传递更多科研资讯及分享,所有其他媒、网来源均注明出处,如涉及版权问题,请作者第一时间后台联系,我们将协调进行处理(按照法规支付稿费或立即删除),所有来稿文责自负,两江仅作分享平台。转载请注明出处,如原创内容转载需授权,请联系下方微信号。


