

撰稿|由课题组供稿
近日,北京计算科学研究中心薛鹏教授团队及合作者在非厄米拓扑量子系统的研究中取得重要进展, 首次在量子行走体系中观测到了非厄米准晶中的多重相变与迁移率边。研究成果以“Topological phase transitions and mobility edges in non-Hermitian quasicrystals”为题,于2022年9月8日发表于Physical Review Letter。
当考虑开放系统时, 非厄米能够带来许多有趣性质, 例如PT对称性, 趋肤效应, 非布洛赫体边对应关系等等, 而这些性质是不能在厄米体系中找到对应的。对于在封闭系统中一维准晶模型而言, 人们已经开展了广泛的研究, 包括整数量子霍尔效应, 准周期结构导致的波函数局域化等等。同样, 在开放体系中考虑准晶模型, 更多新奇的物性将会出现, 例如在图.1中展示的包括局域化, PT对称性, 趋肤效应的三重相变, 以及局域化过程中所出现的迁移率边等。

图.1. 实验装置与拓扑相变
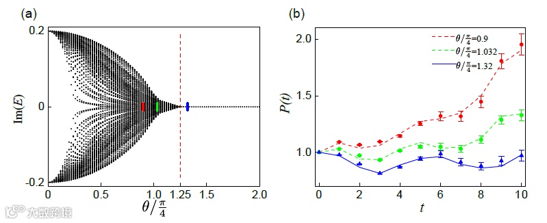
薛鹏团队及合作者通过时间域光量子实验平台, 实验上模拟了非厄米且具有PT对称的Aubry-André-Harper (AAH)模型, 通过添加依赖于位置和偏振的无序相位来实现准周期势场, 并在此基础上通过设计动力学可观测量例如李雅普诺夫指数(图.2), 动力学逆参与比(dIPR)(图.3),时间演化的光子总几率(图.4), 在实验上观测到多重相变的过程。
图.2. 非厄米趋肤效应的观测
迁移率边作为研究安德森局域化问题的一个重要物理现象在近年来得到了广泛的研究。在传统的AAH模型中,由于模型的自对偶性, 一般情况下并不具有迁移率边, 而在我们的体系中, 由于非厄米的引入,我们发现体系中存在区分出拓展和局域态的临界能量(迁移率边), 且这一现象能够很好地被dIPR所衡量, 我们通过这一点首次在实验上观测到了在准晶体中由非厄米性所引起的迁移率边(图.3)。

图.3. 迁移率边的观测

图.4. PT对称相变的观测
这一实验工作揭示了在厄米准晶中所不具有的非平凡现象, 奠定了拓扑相变中临界行为的研究方法, 利用高度灵活且可控的实验体系为未来的研究拓宽了道路。
这项研究是该团队继观测新型非厄米拓扑体边对应关系[Nat. Phys. 16,761–766 (2020)],非布洛赫宇称时间对称相变的观测[Phys. Rev. Lett. 126,230402 (2021)],非布洛赫拓扑不变量的直接测量[Phys. Rev. Lett. 127,270602 (2021)],非厄米拓扑安德森绝缘体的观测[Nat. Commun. 13 (1), 1-8 (2022).]之后,在非厄米系统新奇物性研究方面取得的又一重要成果。
该论文的理论合作者为中国科学技术大学易为教授, 第一作者为薛鹏教授指导的北京计算科学研究中心博士生林泉。该成果得到了国家自然科学基金的支持。

文章链接
https://journals.aps.org/prl/abstract/10.1103/PhysRevLett.129.113601
免责声明:本文旨在传递更多科研资讯及分享,所有其他媒、网来源均注明出处,如涉及版权问题,请作者第一时间后台联系,我们将协调进行处理,所有来稿文责自负,两江仅作分享平台。转载请注明出处,如原创内容转载需授权,请联系下方微信号。



