


撰稿:由课题组供稿
近日,电子科技大学王曾晖和国防科技大学吴学忠、肖定邦团队合作,在一款国产MEMS传感器中深入探索了非线性状态下模态耦合带来的独特效应,并基于此成功实现了模拟传感信号的“自放大”与“数字化”,为进一步提升传感器性能提出了新的思路。文章在线发表于《自然通讯》。

微机电(MEMS)传感器技术近年来迅猛发展,被广泛应用于无人驾驶汽车、智能机器人、装备智能运维系统、国防安全等领域。随着现代社会生产生活和国防工业对MEMS传感器的需求日益提升:例如无人驾驶汽车自主导航需要高精度的MEMS陀螺和MEMS加速度计,轨道交通装备和风电装备的健康状况监测需要大带宽低噪声MEMS振动传感器,这些不断涌现的新应用对MEMS传感器的灵敏度等提出了极其严苛的要求。
针对这些挑战,论文作者们对国防科大开发的一款MEMS传感器核心谐振器部分进行了深入研究。该MEMS传感器目前已完成成果转化实现批量生产,并在多种国产设备中得到广泛应用,部分实现了对国外产品的国产替代。研究者们通过对MEMS传感器在非线性区域的精密测量,发现了一系列独特的模态耦合效应;进一步,研究者们提出运用谐振腔光力学(cavity optomechanics)的研究思路来分析这一谐振体系,揭示并阐明了其中独特的非线性模态耦合效应,进而提出了基于该效应的传感信号自放大(amplification)和数字化(digitization)原理,并实验验证了这些效应能够大幅提升MEMS传感器的性能。

图1 MEMS谐振器及不同模态的非线性响应。图片来源及版权:Nature Communications及论文作者

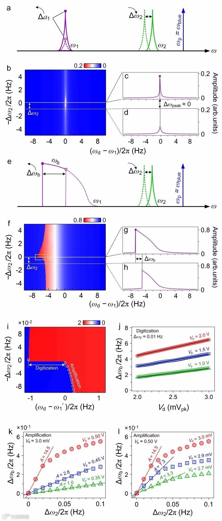
图2 MEMS谐振式传感器通过非线性模态耦合实现的信号自放大(amplification)和数字化(digitization)效应。图片来源及版权:Nature Communications及论文作者
这项研究成果对如何利用非线性效应和模态耦合进一步提升MEMS传感器的性能提供了新的思路和参考,对进一步发掘现有MEMS传感器的潜力,以及开发新型高精度高性能MEMS传感器都具有积极意义。

文章链接:
https://www.nature.com/articles/s41467-022-29995-x
免责声明:本文旨在传递更多科研资讯及分享,所有其他媒、网来源均注明出处,如涉及版权问题,请作者第一时间后台联系,我们将协调进行处理,所有来稿文责自负,两江仅作分享平台。转载请注明出处,如原创内容转载需授权,请联系下方微信号。