

撰稿|由课题组供稿

近日,来自浙大城市学院、吉林大学、深圳大学、香港大学、杭州电子科技大学、浙江大学等的研究团队通过将横向自旋属性引入到光子自旋体系,建立了横向自旋光子束在媒质界面上的反射与透射模型,刻画了反射光子束的位移机制,揭示了横向自旋光子束不依赖于界面疏逝波(evanescent wave)的波束位移现象,即横向自旋光的自旋霍尔效应。相关工作建立了横向自旋光的自旋霍尔效应与光子自旋角动量(SAM)的优雅关联,实验展示了仅由光子内赋几何动态(geometrodynamics)决定的自旋霍尔效应现象。本研究工作以Spin-Hall Effect of Transversely Spinning Light为题于2022年8月26日在线发表在Science Advances上(DOI:10.1126/sciadv.abo6033)。
自旋是光子的基本属性之一,其表现为电磁波的电场或磁场量随时间发生旋转。光子的自旋霍尔效应则代表一种物理现象,具体为具有自旋属性的光子束在经历界面反射或者折射时发生波束中心的侧向位移。通过研究和操控光子自旋霍尔效应,可以实现光子定性检测、光子筛选、光子相位调控、实现光子分路器、光子边缘成像等,因而在光子器件、光子系统等方面具有潜在的广泛应用。
普通情况下,光子在自由空间中其自旋角动量(spin angular momentum,SAM)沿着或反向其传播方向k。这是因为空间光波是横波,即k · E=0 / k · H=0,旋转的E (或H)为横向场,其仅能存在于与k垂直的平面内。相应地,当圆极化光束在媒质界面处发生反射时,将发生由自旋霍尔效应导致的侧向位移,即Imbert-Fedorov(I-F)位移。非常有意思的是,I-F位移的偏移方向是受光束的自旋属性决定。左旋圆极化波与右旋圆极化波的I-F位移方向截然不同,完全取决于光束的左旋或右旋属性。
在双各向异性媒质中,电磁波可以具有横向自旋属性,其场量的自旋平面包含k, 而SAM则垂直于传播方向k。参照传统I-F位移的物理图景,横向自旋光束也应因自旋属性的存在而发生波束位移。想象中,该波束应处于入射平面内,类似于线性极化光的Goos-Hänchen(G-H)位移,但其受控条件将截然不同。探索横向自旋光束的自旋霍尔效应,有助于科学上理解横向自旋、掌握横向自旋光性质、实现新颖器件等均有重要科学意义。

图1. A-B 自由空间圆极化波的I-F位移;C-D 横向自旋极化波的自旋霍尔位移。
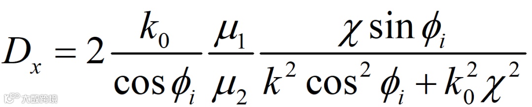
在本项工作中,研究团队首先建立双各向异性媒质表面的反射与透射模型,指出在与横向自旋场量相同属性的媒质边界条件下,电磁波的反射系数完全取决于其本征函数的几何状态改变。假定入射波横向自旋场量为
,媒质边界为理想磁导体边界(PMC),则反射波横向自旋场量为
,反射系数为
,表现出完全取决于极化态的几何相位改变。考虑到当k 不同时,横向自旋光子的内赋自旋极化也不同,因而反射系数将随入射波角度不同而发生改变。对于具有横向自旋属性的波束而言,这一原则将直接导致反射波束发生波束移位。通过理论推演可获得该横向自旋光束的位移,即
. 很有意思的是,该波束移位受控于电磁波的横向自旋角动量,且与之成正比例关系
,体现出优雅的物理因果关系。
图2.横向自旋电磁波在PMC表面的反射与透射,波束移位现象。
作为直接实验验证,研究团队运用变形的开口环(SRR)制备了具有磁电耦合特性的电磁超构材料(metamaterial),将该超构材料设计为具有各向同性的空间色散(图3);利用该超构材料制备了两个四分之一圆形状的样品,测量了电磁波在该样品与人工磁导体反射体(AMR)界面处发生的波束位移现象(图4);通过拟合实验数据,并与理论计算结果相比较,验证了横向自旋属性光学霍尔效应这一新现象。

图3.变形的SRR谐振环超构媒质及其空间色散与电磁参量。


图4.横向自旋电磁波束位移测量实验装置及结果。
光子的自旋性质及其应用是当前光子学与光量子体系的前沿课题,其必将随着纳米科技的进步而逐步进入到光学器件与系统的多个方面。本研究从理论和实验两方面论证了横向自旋光子自旋霍尔效应的光学内赋属性,其完全不同于传统意义下的纵向光子自旋的Imbert-Fedorov侧向位移,可通过改变光子的自旋角动量来加以有效操控。本研究发现和实验验证不仅丰富了自旋光子学、自旋电磁学的内涵,亦为精准控制光子束的微小进动、探索奇异光学行为等提供了新的思路和方案。

文章链接
https://www.science.org/doi/10.1126/sciadv.abo6033
免责声明:本文旨在传递更多科研资讯及分享,所有其他媒、网来源均注明出处,如涉及版权问题,请作者第一时间后台联系,我们将协调进行处理,所有来稿文责自负,两江仅作分享平台。转载请注明出处,如原创内容转载需授权,请联系下方微信号。



