



由于高电磁约束和强光子态密度,双曲表面等离子激元(HSPPs)为热光子学的应用提供了一个迷人的前景。近日,哈尔滨工业大学Hong-Liang Yi团队从理论上预测了利用单轴双曲衬底来调整双曲超表面的电磁状态,从而改善近场辐射换热的可能性。利用光子隧穿系数和极化激元色散,全面地研究了双曲衬底对热spp的混合效应。研究发现,由于双曲基底的混合效应,双曲超表面的各向异性表面态会发生显著的变形,甚至发生拓扑跃迁。此外,系统地展示了这种混合双曲模随双曲衬底厚度不同的演化过程,并分析了厚度对混合系统辐射特性的影响。结果表明,在相同的真空间隙下,通过优化衬底参数得到的混合双曲模式的换热比单层双曲超表面的换热强很多倍。综上所述,该研究的结果提供了一个平台来定制二维双曲等离子体作为近场传热被动或主动控制的潜在策略,这里提出的混合双曲模式可能有助于近场能量收集、热成像和辐射冷却应用的系统设计。成果以题为“Enhancement and Manipulation of Near-Field Thermal Radiation Using Hybrid Hyperbolic Polaritons”发表在《Langmuir》上。
图1。

(a)两个异质结构之间的NFRHT示意图。每个异质结构包含一个单轴双曲衬底,由单层双曲超表面覆盖。单轴双曲基底的厚度记为t。本文以石墨烯光栅作为双曲超表面的例子。石墨烯光栅的单位胞周期和带宽度分别为P和W。(b)计算反射系数和透射系数的区域示意图。
图2。

(a)发射端和接收端四种配置在d为200nm处的RHFs。考虑四种构型:(I)单个双曲超表面(石墨烯光栅),(II)由单层双曲超表面和非极性介质衬底组成的异质结构,(III)由单层双曲超表面和I型双曲材料衬底组成的异质结构,以及(IV)由单层双曲超表面和II型双曲材料衬底组成的异质结构。(b)不同构型的RHFs谱。所有衬底的厚度都固定在80纳米。
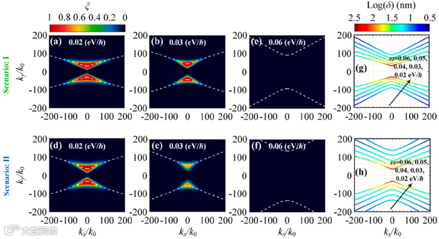
图3。

场景i在(a)0.02、(b)0.03和(c)0.06eV/ℏ频率下的PTC。场景ii在(d)0.02、(e)0.03和(f)0.06eV/ℏ频率下的PTC。虚线表示不同构型的色散关系。(g)场景i和(h)场景ii沿z方向双曲表面态在不同频率下的衰减长度。
文章信息:
Cheng-Long Zhou, Yong Zhang, and Hong-Liang Yi. Enhancement and Manipulation of Near-Field Thermal Radiation Using Hybrid Hyperbolic Polaritons, Langmuir Article ASAP, 2022.
https://doi.org/10.1021/acs.langmuir.2c00467
免责声明:本文旨在传递更多科研资讯及分享,所有其他媒、网来源均注明出处,如涉及版权问题,请作者第一时间后台联系,我们将协调进行处理,所有来稿文责自负,两江仅作分享平台。转载请注明出处,如原创内容转载需授权,请联系下方微信号。


