
如果有人提问,问量子霍尔效应 (quantum Hall effect, QHE) 算不算是量子凝聚态的核心物理 (不是说唯一)?或者再干脆粗暴一点提问,问霍尔效应家族算不算是量子凝聚态的窗口?量子材料领域的物理人大概都能议论出一番道理来。但是,这样的问题,如果去问该领域之外的物理人,未必就能得到合理的答案。这里的原因,有一些是领域跨度所致。霍尔效应,在学过《普通物理》的芸芸大众脑海里,不就是一个横置的二维表面结构中纵向流过电流、横向测得电压么?再进一步,基于一些载流子输运模型,就可以将这一体系的载流子浓度求出,并推算出载流子迁移率。如果再发挥一下,就有了量子霍尔效应 QHE,如图 1 所示,其中物理马上就高大上起来。再走远一步,就是反常霍尔效应 (anomalous Hall effect, AHE):将霍尔电阻偏离线性关系的部分,归结为体系中的磁矩在作怪。

图 1. 量子霍尔效应 QHE 的表象 (上部) 和磁约束朗道能级填充 (下部)。
https://www.referatele.com/referate/fizica/online4/HALL-EFFECT---Explanation-of-the-Quantum-Hall-Effect-referatele-com.php
不过,对霍尔效应,特别是对 QHE,理论物理学者站得高、看得远、想象力也非凡一些,会给出更为深邃的解答。他们的基本立足点是:凝聚态物理,很少有令人倍觉神奇的“宏观”量子效应。数得出来的几个中,一个是超导 (宏观超流)、一个便是这 QHE (精度极高的宏观电阻或电导平台、堪作物理标准)。超导,乃库珀对玻色子的凝聚而“超流”,很“超牛”!而 QHE,被认为是体系能带的非平庸拓扑几何所表演的至高无上。这里,将拓扑与 QHE 结合起来,是神来之笔。图 2 所示即为当年 Robert Laughlin 科普给我们的图像。
但是,在拓扑绝缘体概念出现之前,真的感悟到 QHE 与非平庸拓扑之间有深刻的内在联系的物理人应该不多。即便想到了,要将其中的联系用浅显易懂的语言表达出来,也很有难度。Ising 既不够格去想到这种内在联系,也难以做到去正确地科普表达。但他却喜欢牵强附会,以求得对物理问题的粗浅理解。这里,不妨再一次班门弄斧,换一个角度去看这个问题,看看能不能有一些心得体会。

图 2. (上部) 拓扑绝缘体表面态霍尔输运的示意图。(下部) 好像是 Robert Laughlin 给学过电动力学的物理人科普拓扑与量子霍尔效应相互关系的图像:QHE 为什么是拓扑的表象?他的大概意思是这样:Increasing the flux Φ that threads the conducting loop by a single flux quantum constitutes a cycle of the pump, transferring a quantized amount of charge between the two reservoirs, A and B, connected to the two edges of the conducting loop. The loop is everywhere subjected to a perpendicular magnetic field B.
上图来自:https://physics.aps.org/articles/v3/62
下图来自:Joseph Avron et al, Physics Today 56, 8, 38 (2003); https://physicstoday.scitation.org/doi/10.1063/1.1611351
我们将视觉窗口放在整个“霍尔效应”家族上,以尽可能包罗万象,再以“宁可错括三千、而不放过一个”的态度下笔^_^。姑且从物理过程的能量尺度入手,去理解霍尔效应:
(1) 固体物理,主体是电磁相互作用。电磁学涉及的能量尺度,最基本的有两个:一是电荷能量,数量级上可用电子伏特 (eV) 来衡量。固体物理过程中,那些以电荷作为主角的效应,其能量尺度也大多在 eV 量级。这样说,应该不会引起太多反对。另一个是磁矩能量尺度。对固体而言,姑且将电子磁矩近似当成定值 (变化不大)。人类能够调用的磁场也就是特斯拉量级,因此磁矩能量尺度大概用 meV 来衡量,比电荷能量要小几个量级。
(2) 固体中的霍尔效应,是磁场或磁矩诱发出来的,其能量尺度落在 meV 量级。我们关注的 QHE,亦或其它霍尔效应,所需磁场大约在 10 T 量级,磁矩能量远远达不到 1.0 eV。
基于上述能量估计,回头看量子材料所关注的物理效应,包括关联量子态、磁学 / 自旋电子学、非常规超导、磁电物理等,大部分也都是 1 ~ 100 meV 尺度的物理过程,且大都与磁性相关。因此,霍尔效应家族的各个成员,包括反常霍尔、量子霍尔、自旋霍尔、分数霍尔等,覆盖的能量尺度与此类似。冒昧地推广,我们可以说,霍尔效应其实是彰显量子材料物理和性能的高度透明的窗口。
这样说,也许有牵强附会之处,但也方便去理解和体会霍尔效应的观测对研究量子材料很重要。这里,Ising 以“无知者无畏”的气概,认为霍尔效应家族其实是拓扑量子物理研究的重要窗口。这么说,当然也是有几点散乱的理由和动机的:
(1) 从空间几何约束角度看,QHE 本来就是半导体异质结界面处的二维电子气在垂直磁场作用下的行为。拓扑绝缘体的迷人表象,正好就在于窄带隙体态的二维半金属表面态。在磁场或磁矩作用下,这个表面态还可以被进一步局域化为手性边缘态,有类似于磁场下的二维电子气行为。因此,以 QHE 展示拓扑量子态,似乎是物理的必然。
(2) 从微观机制看,QHE 的出现,对应于磁场作用下离散朗道能级中载流子的填充进程。磁场越强,载流子越可能被约束到最低朗道能级,从而展现宏观局域化。当磁场足够大时,几乎所有载流子都被约束到最低朗道能级,载流子动能被冻结,此所谓“量子极限 (quantum limit)”。这种约束和局域化,既然能压制载流子动能,就能给其它量子关联效应登堂入室的机会。此番情形,有点类似于二维材料中的魔角物理:平带和强关联。
这一源于量子霍尔效应的物理,如果运用到拓扑量子材料,马上就有了新的视角:施加磁场,原本的各种拓扑表面态和拓扑体态中、位于费米面附近的狄拉克点 (包括节线、节面) 会被破坏,从而打开一个能隙 (当然是 ~ meV 量级),给一系列量子材料效应以展示的机会。诸如半金属输运、关联量子态 (电荷密度波、自旋密度波)、自旋波激发等,在霍尔效应上就能彰显出来。
正是基于这一图像,对各种拓扑量子体系,进行霍尔效应测量表征,就成为一种标准化的研究方案。有一些量子材料人,还将这一方案加了一个说辞,叫“磁场冻结下的关联量子态 (magnetic freeze-out effects)”。针对所谓“量子极限 (quantum limit)”下的拓扑量子霍尔效应观测,2019 年有一个重要的结果发表出来。此乃南方科技大学张立源老师和中国科技大学乔振华老师他们合作,针对非磁性、三维狄拉克半金属体系 ZrTe5 而开展的探索。基于这一极限条件,他们报道了第一个三维 3D 量子霍尔效应的观测结果。
这样的研究,所需要的手段只是较高的磁场,外加标准的量子输运测量平台。因此,霍尔效应的全方位 mapping,是不是就成为量子材料研究的一种有效手段?
最近,来自法国PSL Research Universities (看起来,这是法国围绕巴黎地区的一个大学研究联盟,officially Universite de recherche Paris Sciences et Lettres) 的量子材料名家 Benoit Fauque 及其团队,联合来自瑞士洛桑联邦高等学校 EPFL、美国 Stony Brook University 和布鲁克海文实验室、瑞士 University of Fribourg 的同行一起,似乎正是基于这一架构,开展了对 ZrTe5 的深入研究。Fauque 教授他们,具备了磁场强度 30 T 以上的量子材料研究平台,从而能够在接近磁场冻结的量子极限条件下开展实验。
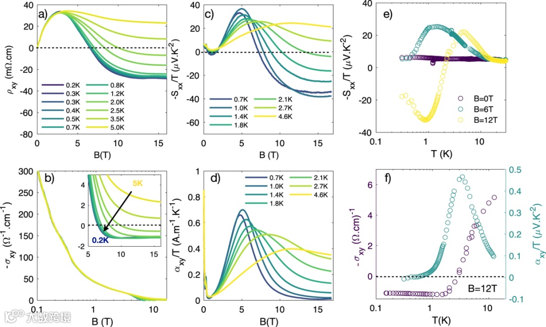
化合物 ZrTe5 虽然不含磁性离子,但通过控制晶体生长条件,能较为容易地实现载流子掺杂,有较宽的实验探索窗口。作为一个三维狄拉克半金属体系,其带隙很小、费米面形态具有很强的各向异性,被揭示出的关联量子效应包括量子化霍尔平台、大的热电霍尔电导、大的反常霍尔效应、高场下的金属绝缘体转变,等等。一种认识是,这些效应可能与其中存在的电荷密度波 CDW 相变有密切关系。Benoit Fauque 他们看起来对此认知颇有怀疑,就开始通过调控样品的载流子浓度,去揭示背后的物理根源。他们的结果显示:这些效应,实际上源于接近量子极限下的磁场冻结效应,CDW 特征并不明显。图 3 乃他们观测到的霍尔效应和热电 Seebeck 系数的结果:磁场约束下的量子态演化印记十分明显!

图 3. ZrTe5 在极低温下霍尔效应和 Seebeck 效应的观测结果 (部分)。
这样的工作,基于多方位表征和系统丰厚的实验数据,借助各种量子态模型,对数据多方解读、细致检验,而得出结论。虽然结论未必那么 strong,但这一工作体现了作者们对拓扑量子物理问题认真求证的精神。事实上,量子材料的各种物理效应,因为能量尺度较小,各种量子态都有机会粉墨登场、并“纠缠”在一起。这种“纠缠”,是复杂性的来源,也是未来量子科技应用的机会。对每一个 claim 或者结论,多方位、细致和相互印证模式下的检验与求证,是必要的。
雷打不动的结尾:Ising 是外行,如若理解错了,敬请谅解。各位有兴趣,还是请前往御览原文。原文链接信息如下:
Magnetic freeze-out and anomalous Hall effect in ZrTe5
Adrien Gourgout, Maxime Leroux, Jean-Loup Smirr, Maxime Massoudzadegan, Ricardo P. S. M. Lobo, David Vignolles, Cyril Proust, Helmuth Berger, Qiang Li, Genda Gu, Christopher C. Homes, Ana Akrap & Benoît Fauqué
npj Quantum Materials volume 7, Article number: 71 (2022)
https://www.nature.com/articles/s41535-022-00478-y
七律·初秋夏梦
锁定炎颜莫入秋,截停弱水向东流
晚霞翻转晨听旭,寞月平移远望眸
枯叶未思披褐彩,夏蝉无意呐离愁
难描西苑青花景,且唱天湖不系舟

备注:
(1) 编者 Ising,任职南京大学物理学院,兼职《npj Quantum Materials》编辑。
(2) 小文标题“ZrTe5 量子态的霍尔印记”乃是一种笔者学习所得的印象,表述霍尔效应是表征拓扑量子材料的一方良好平台。可能有误导之嫌。
(3) 文底图片乃拍摄于仲夏时节的荷塘景象 (20200718)。小词原描写夏天抵抗入秋、夏炎即便到了深秋依然不放弃的状态,借以描绘物理人的精神状态 (20200829)。
(4) 封面图片艺术展示了南方科技大学张立源老师他们的 3D 量子霍尔效应图像。解读和图片可参阅 http://newsletter.cas.cn/wap/Research_Progress/201908/t20190806_4552055.html。
免责声明:本文旨在传递更多科研资讯及分享,所有其他媒、网来源均注明出处,如涉及版权问题,请作者第一时间后台联系,我们将协调进行处理,所有来稿文责自负,两江仅作分享平台。转载请注明出处,如原创内容转载需授权,请联系下方微信号。


