

撰稿|由课题组供稿

在波动系统中,威利斯耦合通常源于手性或双各向异性,使二维的本构矩阵中出现了不为零的非对角元,为调控机械波(例如:声波、弹性波、水波)提供了新思路。然而,这些要素在扩散系统中并不天然存在,特别是宏观热传导由单一的本构关系描述(即:傅里叶定律),所以在扩散系统中揭示威利斯耦合困难重重。近日,新加坡国立大学仇成伟教授课题组与复旦大学黄吉平教授课题组合作,通过参数在空间和时间上的周期调制,设计了时空扩散超构材料并揭示了热威利斯耦合,实现了温度场的非对称调控。相关成果以“Thermal Willis Coupling in Spatiotemporal Diffusive Metamaterials”为题发表于Physical Review Letters。
自适用于扩散系统的变换热学于2008年被提出以来[Appl. Phys. Lett. 92, 251907 (2008)],研究者基于参数的空间分布设计了各种热超构材料来实现热隐身和伪装。然而,这些方案不足以打破热传导固有的空间反演对称性。随着时间维度在电磁学和声学等波动系统中的兴起,时空调制也被引入了扩散系统,为实现非对称扩散提供了新范式。然而,由于质量守恒的要求,热扩散系统在对材料密度进行时空调制时会产生局域热平流,使传热又变回对称的。所以,在时空扩散系统中揭示非对称传热变得异常困难。
另一方面,声学和弹性力学中的威利斯耦合是指二维的本构矩阵中存在不为零的非对角元,对应于电磁学中的磁电耦合。由于威利斯耦合通常是由高阶扰动引起的,不足以产生明显的物理现象,所以研究者致力于将威利斯耦合最大化并揭示非互易性质。然而,波动系统中实现威利斯耦合的方案在扩散系统中并不天然存在,所以通过修正傅里叶定律来实现非对称传热变得极为困难。
为了解决这些难题,研究团队基于时空调制设计了威利斯热超构材料,存在热流和温度变化快慢之间的热威利斯耦合。由于热传导固有的空间反演对称性,温度场在传统材料中不会发生移动,即:v=0,见图1(a)。相比之下,威利斯热超构材料可以使温度场发生定向移动,即:v≠0,见图1(a)。有趣的是,在时空调制速度的临界点uc,温度场的移动方向还会发生改变,见图1(a)和(b)。这种方向改变意味着非对称是由高阶扰动引起的,与那些由一阶虚拟热平流引起的非对称截然不同。研究团队首先讨论了一个有密度和热导率时空调制的一般模型,见图1(c)。然后讨论了一个仅有热导率时空调制的简化模型,见图1(d)。

图1:威利斯热超构材料与非对称热扩散。(a)传统材料与威利斯热超构材料的对比。(b)时空调制速度存在临界值uc,可无量纲化为Φc。(c)同时调制密度和热导率的一般模型。(d)仅调制热导率的简化模型。
不失一般性,研究团队考虑参数以余弦函数的形式时空变化。对于时空变化的热导率而言,可将其直接代入热传导方程。但对于时空变化的密度而言,还需要考虑其带来的局域热平流,从而满足质量守恒的要求。进一步,考虑初始温度场具有余弦函数的形式。由于参数的时空变化,温度场的通解需要在余弦函数的基础上乘以一个布洛赫-弗洛奎调制函数,所以温度场的包络线可以用第零阶的温度场来描述。为了将时空扩散超构材料匀质化,考虑温度场的波长(即为体系的特征长度)远大于时空调制的波长(即为体系的基本单元),这也符合超构材料的一般定义,使匀质化具有合理性。
有趣的是,时空调制经过匀质化后,用于描述宏观热传导的傅里叶定律不再适用,需要修正为

其中,R、K、W为匀质化后的常数,J为热流,T0为第零阶的温度场(也即温度场的包络线)。方程左边的第一项可以看作热弛豫,但并不贡献非对称传热。重要的是,方程右边的第二项表明:热流不仅和温度梯度相关,还和温度变化快慢相关,这就是热威利斯耦合的起源。显然,要产生热威利斯耦合,第零阶的温度场(也即温度包络线)需要含时。在推导上述方程时,舍去了二阶及二阶以上的温度场影响,所以上述方程存在一定的近似。这个问题可以通过数值计算来解决,因为数值计算可以取到任意高阶,从而保证结果的准确性。两组参数共同决定了非对称传热的物理特性,以下将详细介绍。

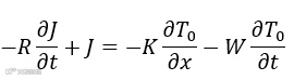
图2:温度场传播速度和时间衰减率的数值结果。
第一组参数是时空调制的速度、波长和平衡位置的热扩散率。这三个参数可以构成一个无量纲参数2πΦ,其具体影响见图2(a)和(b)。总的来说,时空调制的速度并非越大越好,因为当时空调制的速度很大时,系统根本反应不过来,使其和普通均匀材料没有区别。平衡位置的热扩散率越大,温度场的移动速度越快,但也会导致温度场的衰减更快,见图2(c)。时空调制的波长在确保超构材料一般定义(也即匀质化合理性)的前提下越大越好,因为非均匀程度的增加对热威利斯耦合是有益的,见图2(d)。

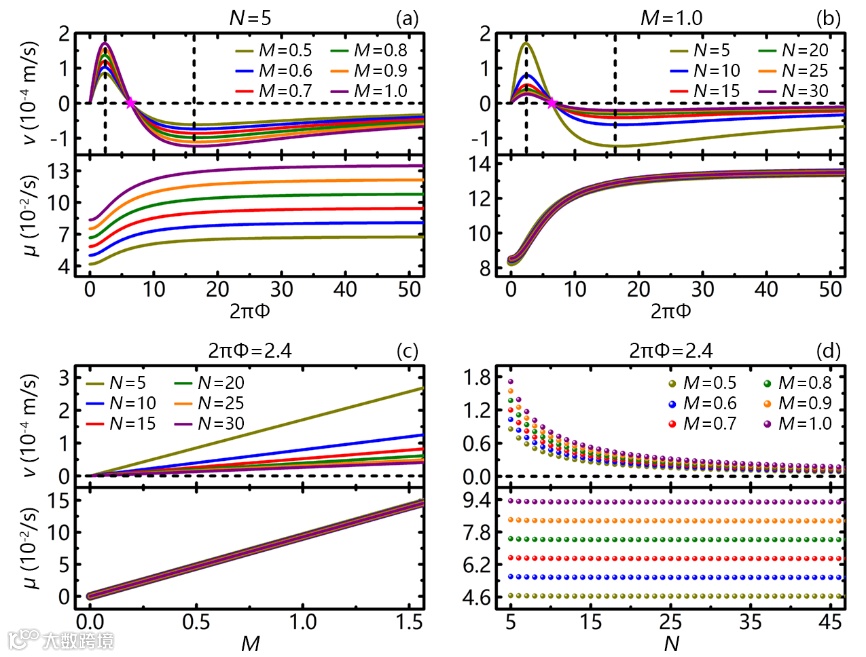
图3:时空调制速度临界值的数值结果。
第二组参数是热导率和密度的调制幅度以及两者之间的相位差。这三个参数共同决定了时空调制速度的临界值,即:温度场的移动方向什么时候发生改变,见图3。由于当热导率或密度其中一个参数的调制幅度为零时,相位差不起作用,所以此时不同相位差的临界值曲线是相同的。此外,当相位差取π/2或-π/2时,临界值图像完全一致,说明热威利斯耦合是相位差的偶函数。图3中的结果为操控温度场的移动方向提供了依据。

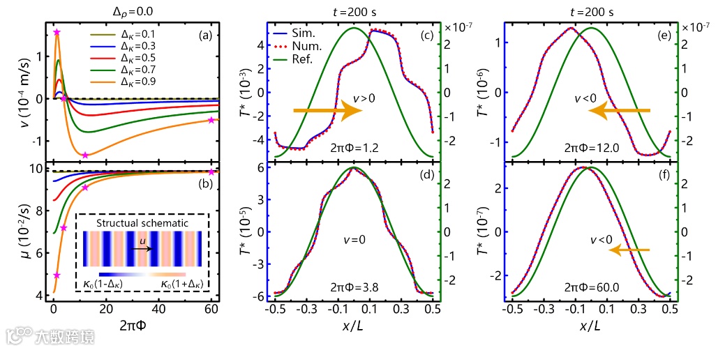
图4:非对称热扩散的模拟结果。
最后,研究团队简化了时空调制,只让热导率时空变化。这和以往的时空调制有显著不同,因为过去通常认为需要热导率和密度(或热容)一起时空调制才能出现非对称。数值计算结果见图4(a)和(b)。随着时空调制的速度不断增大,温度场的移动速度先增大后减小并改变方向,最后趋于零。温度场的时间衰减率则不断增大,不同曲线最后都趋于相同值,而这个值就是温度场在普通均匀材料中的时间衰减率。换句话说,时空调制的速度太快让系统根本反应不过来,那自然和普通均匀材料没有区别。针对图4(a)和(b)中的星号,研究团队进行了有限元模拟,模拟结果和数值计算完全一致。当时空调制的方向为右时,随着时空调制的速度从零增加,温度场的移动方向从向右变成了向左,体现了灵活的可控性。
本工作基于参数的时空调制设计了时空扩散超构材料并揭示了热威利斯耦合,体现为热流与温度变化快慢产生了关联。换句话说,时空扩散超构材料经过匀质化后,傅里叶定律不再适用,需要修正。热威利斯耦合有几个显著特点:1、温度场的包络线要含时,因为热威利斯耦合与其变化快慢相关;2、仅需单个参数的时空调制,如热导率;3、温度场移动方向和时空调制方向不固定,向右的时空调制也可以产生向左的温度场移动。该研究为扩散系统的本构关系提供了新认识,也为非平衡物质和能量输运的非对称调控提供了新思路。该工作的第一作者为复旦大学和新加坡国立大学联合培养的博士生须留钧(现单位为中物院研究生院),新加坡国立大学仇成伟教授和复旦大学黄吉平教授为论文的共同通讯作者,合作者包括新加坡国立大学许国强博士和李佳鑫博士、浙江大学李鹰教授。

原文链接
https://journals.aps.org/prl/abstract/10.1103/PhysRevLett.129.155901
Thermal Willis Coupling in Spatiotemporal Diffusive Metamaterials
Liujun Xu, Guoqiang Xu, Jiaxin Li, Ying Li, Jiping Huang, and Cheng-Wei Qiu
Phys. Rev. Lett. 129, 155901 (2022)
免责声明:本文旨在传递更多科研资讯及分享,所有其他媒、网来源均注明出处,如涉及版权问题,请作者第一时间后台联系,我们将协调进行处理,所有来稿文责自负,两江仅作分享平台。转载请注明出处,如原创内容转载需授权,请联系下方微信号。



