


撰稿|由课题组供稿
声学风洞试验中的消声风洞建设需要通过抑制风机与射流噪声来降低背景噪声。传统的隔声材料不具有通风性能,而现有的通风隔声降噪超材料大多不具有较大的通风率,或不具有宽带降噪的能力。为应对不同应用场景下的通风隔声,如空调排气管道、建筑窗户等,所设计的隔声材料还应当能便于根据噪声谱进行调谐定制。
近日,东南大学张辉教授团队,提出了一种超稀疏宽带隔声超材料阵列的设计方法。设计的超材料单元结构形式具有类亥姆霍兹共鸣器的细管与腔体,但创新性地引入了两侧开口的细管,并与中间腔体相连接,单元最小厚度可以达到0.064λ。由20个渐变尺寸单元组成的超材料阵列在保证70%的稀疏度的同时,在880 ~ 1915 Hz(超过一个倍频程)的宽频范围内具备大于17 dB的隔声量。所设计的结构单元可以改变两侧细管宽度尺寸自由调谐,通过声-电类比方法准确预测其隔声频率。串联不同工作频率的单元,可以自由定制其宽带工作频率。因此设计的超稀疏宽带隔声超材料在高通风率与宽带隔声的同时,具有较高的频率可调性和可定制性。相关成果以“Broadband ventilated sound insulation in a highly sparse acoustic meta-insulator array”为题发表在《Physical Review B》上(10.1103/PhysRevB.106.184107)。
军用或民用飞行器、地面交通设备及水下舰艇的结构设计中,噪声控制是重要的一环,声学风洞试验可以模拟在运动中的航行器等产生的结构噪声和风噪,据此优化结构控制噪声。消声风洞建设难点在于风机噪声与开口射流噪声等噪声源的抑制,降低背景噪声以便于分离出测试模型产生的噪声。研究并发展可用于风洞降噪的宽频带的通风吸隔声材料具有重大意义,并且此类材料还可以用于工程机械、车辆、建筑中的通风管道或窗户的隔音降噪,具有相当广阔的应用前景。

图1 超稀疏宽带隔声超材料阵列结构示意图
本研究设计了一种边长为L=25 mm的正方形单元结构,如图1所示,两侧长度分别为Wa与Wb的L型壁面(壁厚均为t=1.5mm)将正方形划分为两个细管和中间的共用腔体。Wa与Wb这两个尺寸分别决定了两侧管道的宽度,共同决定了中间腔体的宽度。单元与单元间隔距离D=80 mm,中间的间隔构成排气通道,排气通道内的声波通过两侧开口进入细管,再进入中间腔体,这个过程在共振频率处会在管内形成驻波,将声波捕捉在隔声单元内耗散,或反射回入射端。将20个单元拼接成超稀疏宽带隔声超材料阵列,其Wa与Wb尺寸满足以下关系:


图2 声-电类比及等效电路图

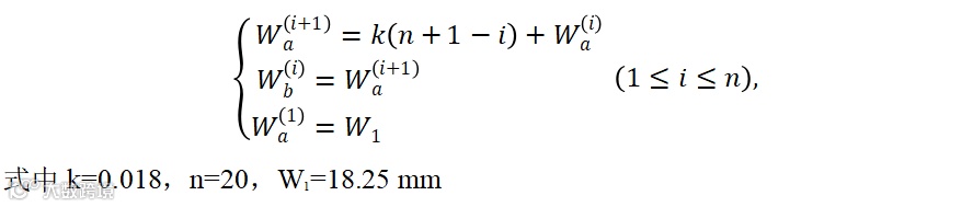
接下来,通过COMSOL Multiphysics的“压力声学”与“热黏性声学” 模块进行多物理场仿真,验证理论模型中的谐振公式的正确性,结果如图3所示,理论解与仿真解拟合较好,说明利用单元谐振频率公式可以根据需求隔声频率来有效设计单元尺寸。另外,20个单元组成的隔声阵列仿真效果如图3(b)所示,其在880 ~ 1915 Hz(超过一个倍频程)的宽频范围内具备大于17 dB的隔声量,说明通过串联各个谐振隔声单元可以有效拓宽隔声频率带宽。

图3 透射谱图。(a)透射系数与与宽度尺寸和频率的关系;(b)阵列透射谱与20个单元各自的透射谱。
最后,将20单元阵列3D打印成样品,在搭建的二维平行平板声场测量系统中对其隔声量进行测试,分别将声源放置在距离超材料阵列入口50 cm与5 cm的位置,进行远场声源(近似平面波入射)与近场声源(近似点声源)的实验,并与仿真进行对比,如图4(c)与图4(d)所示,仿真与实验结果拟合较好,均证明了设计的超稀疏超材料阵列的宽带隔声能力。

图4 实验验证。(a) 3D打印的样品照片;(b) 二维平行平板声场测量系统示意图;(c) 远场入射实验与仿真透射谱;(d)近场入射实验与仿真透射谱
本研究设计了一种新颖的超稀疏隔声单元,稀疏度为70%,通过声-电类比计算可获得其隔声频率,且该频率仅与两侧细管宽度尺寸相关,因而工作频率高度可调,并通过串联渐变尺寸的诸多隔声单元可获得宽带隔声阵列。通过仿真与实验验证,所设计的包含20个单元的隔声阵列可在880 ~ 1915 Hz(超过一个倍频程)的宽频范围实现隔声量大于17 dB的隔声,且对于近场与远场的入射声源均有效。该设计适用于建筑设计中的通风隔音,工程机械、空调、汽车等的排气管道降噪与风洞声学试验的降噪与隔音。
该工作得到国家自然科学基金、江苏省重点研发计划、江苏省青年基金的支持。东南大学张辉教授、东南大学朱一凡副研究员为本工作的通讯作者,东南大学硕士生高思源、朱一凡副研究员为论文的共同第一作者。

https://journals.aps.org/prb/abstract/10.1103/PhysRevB.106.184107
免责声明:本文旨在传递更多科研资讯及分享,所有其他媒、网来源均注明出处,如涉及版权问题,请作者第一时间后台联系,我们将协调进行处理,所有来稿文责自负,两江仅作分享平台。转载请注明出处,如原创内容转载需授权,请联系下方微信号。
