

撰稿|由课题组供稿
近年来,自旋波器件在国际上受到了广泛关注 挖掘新型自旋波材料及其器件应用是目前自旋电子学领域最前沿的研究热点方向之一。近日,瑞典皇家科学院院士Olle Eriksson团队的博士研究生卢智伟等人在国际著名期刊 Physical Review B上发表题为 ”Influence of non-local damping on magnon properties of ferromagnets”的文章,该工作首次在理论上提出了一种快速预估材料磁振子寿命的方法,并且探究了非局域阻尼对材料磁化及磁振子寿命的影响。
现代计算机的芯片是通过电流调控电子元件中的电荷传输来实现信息处理与存储,随着芯片制备逐渐逼近摩尔定律的极限,小尺寸高集成度芯片的散热问题会影响器件的工作性能,同时,小尺寸的晶体管内电子会发生量子穿隧效应,会导致漏电流增加。因此,科学家们一直致力于探索全新的信息存储运算的替代技术。其中,自旋波(准粒子:磁振子)器件利用了电子的自旋自由度,可以避免产生焦耳热以及降低功耗,而自旋波的相位及波幅可以运载信息,其有望替代现有的CMOS技术,是后摩尔时代电子学的重要研究方向。
在磁性体系中,自旋波是由电子自旋之间的相互作用引起的。当磁性体系中的电子自旋由于外部激发产生扰动时,这种扰动会通过相互作用传播到邻近的电子自旋,并以波的形式传递。自旋波的传播速度和传播距离(磁振子寿命)取决于材料的性质。目前,最常用的自旋波材料是磁性绝缘体Yttrium Iron Garnet(YIG),但是由于它的低导电率使它很难被电流调控。因此,挖掘具有高频率且传播距离长的磁性金属是目前科学家们十分关注的研究热点。目前,还缺乏一种可以准确高效预测磁性材料磁振子寿命的方法。此外,磁振子寿命与材料自旋系统能量耗散速率(阻尼)紧密相关,且目前很多理论表明阻尼应该是非局域的张量,但非局域阻尼在实验上仍然无法测量。
该工作利用组内开发的第一性原理软件RS-LMTO-ASA计算得到铁,铁钴合金等传统磁性金属的磁交换常数及其阻尼参数,值得注意的是此工作对比了阻尼为常数以及阻尼为非局域张量时的情况(阻尼常数为在位阻尼和所有非局域阻尼的求和),它由以下公式计算得到:

该工作在组内自主研发的自旋动力学模拟软件UppASD上实现了一种新的求解器来求解以下考虑非局域阻尼的随机LLG方程,

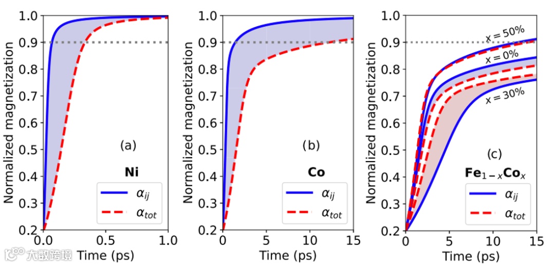
首先,图1给出了非局域阻尼对磁化过程的影响。在不同材料中,非局域阻尼对磁化过程有不同的影响,该工作研究的几个金属体系中,除了Fe70Co30的非局域阻尼会降低磁化速度外,其它磁性体系的非局域阻尼贡献会加快磁化速度。

图1 对比非局域阻尼和标量阻尼对磁化过程的影响
随后,该工作数值模拟了这几种磁性金属在低温下的自旋波谱,并且通过对磁谱进行洛伦兹函数拟合得到金属在不同波矢下的磁振子寿命。最重要的是,作者从线性响应理论提出了一种快速评估磁性金属磁振子寿命的解析方法,如下式所示,不同k点的磁振子寿命和不同k点下的阻尼及自旋波频率成反比。

如图2所示,这两种方法得到的结果一致。这两种方法均发现在传统金属特定波矢方向下存在较长的磁振子寿命,为实验激发得到长寿命的磁振子提供了理论指导。比如,在Fe70Co30中,在H和N点之间,磁振子寿命在非局域阻尼模型中会比标量阻尼模型高出数倍。

图2 对比非局域阻尼和标量阻尼对磁振子寿命的影响
这种新的解析方法可用于大规模的高通量计算挖掘长磁振子寿命的磁性金属,将极大地提高自旋波材料的开发速度。同时,该工作首次将非局域阻尼和磁振子寿命结合,为实验测量非局域阻尼提供了新思路。
该工作中,瑞典皇家理工学院工程科学院的博士研究生卢智伟为第一作者及通讯作者,该工作受到了中国国家留学基金委员会,瑞典国家超级计算中心,瑞典Knut and Alice Wallenberg foundation等的支持。
论文链接:
https://link.aps.org/doi/10.1103/PhysRevB.108.014433
免责声明:本文旨在传递更多科研资讯及分享,所有其他媒、网来源均注明出处,如涉及版权问题,请作者第一时间后台联系,我们将协调进行处理,所有来稿文责自负,两江仅作分享平台。转载请注明出处,如原创内容转载需授权,请联系下方微信号。


