

撰稿|由课题组供稿
非互易传热对于高效热能收集、热管理、以及热逻辑器件的开发有着重要意义。近年来,非互易传热已取得显著进展,但相关工作大多借助“热学非线性材料”和“热学参数的时空调制”作为实现手段,且受物理机制的制约,须将动态和稳态热源激励分情况考虑。近日,浙江大学李鹰、陈红胜教授课题组联合新加坡国立大学仇成伟教授课题组,通过建立多端口渐进热散射理论,研究了基于外加对流场偏置的传热非互易性的物理机理。与声学环形器不同,研究表明热学超器件的非互易性质既依赖于超器件的散射体,也依赖于散射通道及边界条件。本工作实现了同时支持时谐和稳态热信号传输的非互易超器件,有望为定向热调控相关问题提供理论指引及解决方案。论文以《Nonreciprocal Heat Circulation Metadevices》为题发表于《Advanced Materials》(DOI:10.1002/adma.202309835)。浙江大学李鹰研究员课题组硕士生居然为第一作者,浙江大学李鹰研究员、陈红胜教授和新加坡国立大学仇成伟教授为共同通讯作者。工作得到了国家重点研发计划、国家自然科学基金、中央高校基本科研业务费和新加坡教育部资助。
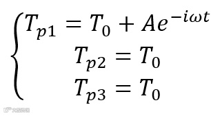
进行描述。考虑到在最简单的线性时不变参数情况下,热扩散是一个空间对称的物理过程,因此在普通媒介中热的传输行为必然是互易的。而通过引入定向对流场,上述傅里叶热传导方程将修正为对流扩散方程
此时热扩散相当于是在一个移动的背景上进行的,具有了由对流所赋予的方向性,故而使得非互易传热具备了可能性。基于此,本文以热环形器为载体,首先研究了在时谐热源
激励下系统的热散射特性,而后将该方法推广至零频率,即由恒温热源激励的稳态情况(图1)。
其中
分别代表复振幅,时间,波频率和参考温度。将上述形式温度场代入对流扩散方程,即可解出传播常数k的表达式。对于非0转速情况,k将分裂成成正负两个传播常数k+和k-,用以描述顺流和逆流两个方向热波的相位和衰减特性。相应的,此时温度场的复振幅可以表示为
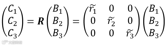
,且输入信号Ai和输出信号Bi可通过散射矩阵S相关联,记为
。假设端口1为输入端口,端口2和3为输出端口,且由于环形器的轮换对称性
,因此非互易强度可以由散射系数表示为
。通过给出环与三个端口间的热学匹配条件:1.接触面处温度匹配,2.接触面处热通量连续,即可解得散射矩阵S中各元素的解析表达式,进而写出热非互易强度
的解析表达式。

图1.本文研究框架。(a)热环形器的概念图。A1,2,3 和B1,2,3分别表示入射和出射信号的振幅,
表示对流场的角速度。(b)动态和稳态热传输之间的关系。(c)传播常数劈裂、热环形器的数学抽象、以及在正向和反向转速下传播常数实部(相位)和虚部(衰减)的变化趋势图。(d)本工作的整体框架,按热场性质(时谐/稳态)和散射类型(单次散射/多次散射)分为四个象限。其中由红星标注的象限是本文的主要关注点,揭示了二端口与三端口热学超器件在实现非互易传热方面的差别。
一定时,热环形器的非互易强度
和转速之间有着非平凡的依赖关系,当转速增大时,
先增大后减小,且在此区间内存在着一个极值点,亦即最佳工作点。经验证,该非互易现象同样存在于二端口超器件中,如图2b所示。此外,本研究还计算揭示了热环形器中存在的共振现象,如图2c和2d所示:当波频率和转速之间满足整数倍关系时,传输系数S21和S31将被显著放大,这意味着借助于共振效应,输入的热信号能够以更小的衰减率传输到输出端。

图2.由散射矩阵揭示的传输特性。(a)在特定热波频率
时,热环形器的非互易传输特性对转速
的依赖关系。(b)在特定热波频率
时,二端口热超器件的非互易传输特性对转速
的依赖关系。(c)当热波频率与转速之间满足整数倍关系时,由散射系数表征的共振现象。(d)散射系数的共振效应对于波频率和转速的依赖关系。
趋0而逐渐减弱以至于彻底消失。虽然从波动物理的角度,该现象可以被解释为随着频率减小,小散射体在长波长面前会被忽略掉,故而使得在频率趋于0时超器件趋于互易,但这还是给我们带来了困惑:即,是否已经可以下结论,热非互易性只能在非零频率热源激励下才能存在,而在零频率热源情形就会消失,并且该规律无差别适用于二端口和三端口热超器件?然而,经过进一步探索我们发现事实并非如此。

的热源,端口2和3的边界是参考温度T0,用以模拟输入
的情况。将该边界条件与上述散射方法相结合,可计算得到修正后的散射系数
。相应的修正后非互易强度定义为
。如图3a所示,在较小波频率情况
,热环形器修正前后的非互易强度
之间存在着差异。然而,让人更为困惑的是,相应二端口器件修正前后的非互易强度之间并不存在差异,并且在整个转速区间上的二者的参数曲线都高度重合。该现象的出现又给我们提出了一个难题:我们该如何解释修正前后非互易
之间的差异?并且,如果说经过边界修正后所算得的非互易强度
是符合实际的,那么这是否意味着修正前算出的
就是完全错误的呢?

图3.热超器件的传输性质。(a)热环形器(二端口热超器件)的单次散射和多次散射之间所展现出的非互易强度不一致性(强度一致性)。(b)描述热环形器在近零频率激励时非互易性质的多次散射理论;其中,黄色背景区域代表散射迭代的非稳定阶段,蓝色背景区域代表散射迭代的稳定阶段(c)非互易性与波频率和转速之间的非平凡依赖关系;当波频率和转速之间满足特定整数倍关系时,将出现非互易局部极值点。(d)在分析热学系统非互易方面,热散射方法与传统热流方法之间等价性的证明。
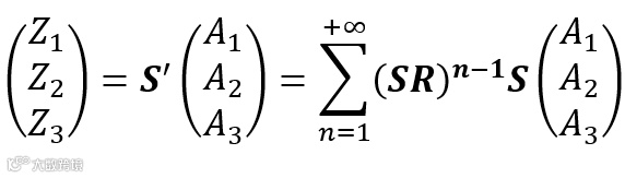
向过渡的理论桥梁。在开边界条件下,输出信号被假设为传输到了无限远处而没有反射,因此在这种情形下计算出的散射矩阵严格来说应该称为“单次散射矩阵”。随后,通过施加上述边界条件,热信号在输出端口中将遇到实体阻挡,从而产生类似于声波,水波等遇到墙体时的“反射”行为。随后,被边界反射的温度场分量又将重新作为新的输入信号进入散射体经历多次散射过程,直到在系统中完全耗散掉。为了更为直观地理解上述物理过程,我们假设三个散射通道的反射系数分别为
,如此,端口的散射过程便可以如下数学表达式进行描述:

是反射信号的振幅,R是端口的反射矩阵。值得注意的是,温度场虽然可以该数学形式进行表示,但不能改变预定的边界条件。据此可得限制条件
,并解得边界反射系数
。并且总的输出温度场振幅可表示为多次散射信号的叠加:

是经过无限次散射后的输出信号振幅。
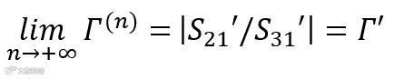
随迭代次数n的变化趋势如图3b所示,图中给出了3种接近0频率时的情况。该方法将单次散射非互易强度
作为初始值,随着迭代次数n的增加,
将被显著放大,并且在经历了足够多的迭代次数后收敛。此时,器件的非互易就从单次散射的
渐进演化为多次散射非互易解析式
。并且研究表明,随着波频率
的减小,该过程收敛所需的迭代次数就会更多。而无论波频率的大小如何,当经历了无穷次迭代后,计算所得的非互易强度始终满足关系
,且能由单次散射系数解析表示为:

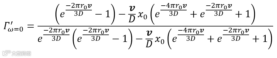
与波频率和转速的依赖关系如图3c所示。有趣的是,当这两个参数间满足特定整数倍关系时,图像中会出现非互易局部极大值点。此外,经理论与仿真验证,本研究的“散射分析方法”与传统的“热流分析方法”在分析热非互易层面具有同一性。如图3d所示,在近零频率热波激励下,用热波振幅比值计算得到的非互易曲线与用热流比值计算结果高度贴合。该结论已在补充材料S7部分经过数学证明,为后续将散射理论运用到稳态热源情形下的分析奠定了基础。
中波频率参数
设为0演化得到,记为:


图4.对于热环形器在恒定温度激励下非互易性的实验验证。(a)热环形器的实验装置示意图;与热源和热沉相连接的三个端口与中心转环紧密接触。(b)在静止不动、中等转速和快转速情形下,环上温度分布热像图;其中,外圈是实验结果,内圈是仿真结果;仿真图像中的白色箭头指代的是热通量的大小和流向;为了更为清晰的对比,理论、实验和仿真的环上一圈温度数据点被导出并绘制成了线图,可见结果非常符合。(c)非互易性与转环角速度间非平凡的依赖关系,包括理论,仿真和实验结果。

原文:
https://onlinelibrary.wiley.com/doi/abs/10.1002/adma.202309835

