

撰稿|由课题组供稿
近日,清华大学物理系刘永椿研究组在热原子系综里观测到非厄米奇异点,并应用于实现磁场测量灵敏度的提升,研究成果以“Observation of Exceptional Points in Thermal Atomic Ensembles”为题发表于《物理评论快报》[Phys. Rev. Lett. 130, 263601 (2023)] ,并入选“Editors' Suggestion”和“Featured in Physics”。同时,他们也在单个谐振模式中利用反馈构建了宇称-时间(PT)对称系统,并实现了系统线宽压窄,研究成果以“PT-Symmetric Feedback Induced Linewidth Narrowing”为题发表于《物理评论快报》[Phys. Rev. Lett. 130, 193602 (2023)]。
非厄米系统是一类能用非厄米哈密顿量进行描述的开放系统。非厄米系统具有许多不同于厄米系统的独特性质,例如在PT对称条件下可以具有实能谱,存在非厄米奇异点(Exceptional point)等。其中,非厄米奇异点是非厄米系统中特有的简并点,它与厄米系统中的简并点有很大的不同。在厄米系统中,两个简并的模式受到微小扰动时,其能级的劈裂量正比于微扰强度,但是在非厄米奇异点处,其能级的劈裂量正比于微扰强度的平方根。当微扰非常小时,非厄米奇异点处微扰导致的能级劈裂会远大于厄米简并情况,因此利用奇异点有望实现增强的精密测量。
研究亮点一
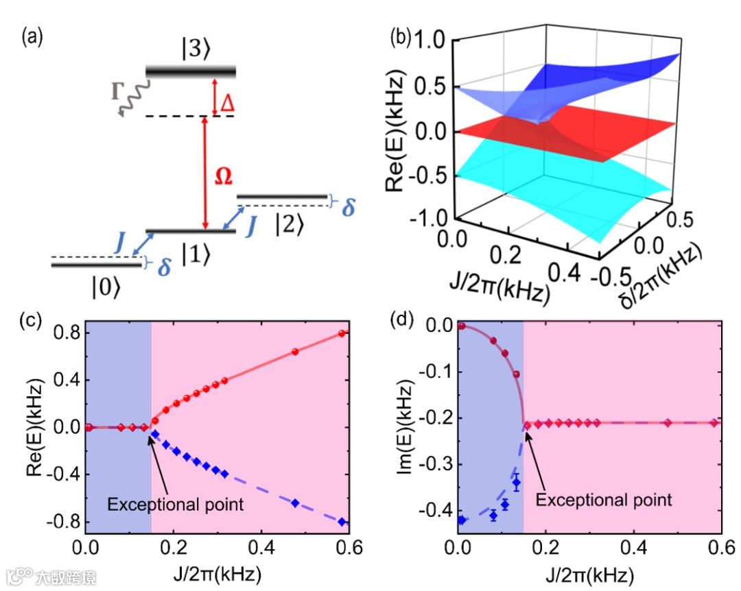
刘永椿研究组构建了热原子系综实验平台,提出在热原子系综里通过激光耦合控制能级耗散来构造非厄米系统的方法。如图1(a)所示,并利用激光(红色箭头)耦合激发态和特定的基态,为选定的基态构造可控的耗散,因此三个基态(磁子能级)有着不同的耗散强度,再通过射频场(蓝色箭头)将三个基态耦合起来,所形成的非厄米系统本征值和本征态在特定参数下会发生简并,如图1(b)展示了三个本征值的实部在射频场失谐和射频场强度空间中的分布。在实验上,通过测量得到系统本征值的实部(图1(c))和虚部(图1(d)),获得了系统的奇异点。

图1 (a)原子能级示意图。 (b)非厄米哈密顿量三个本征值的实部在参数空间的分布。(c-d)实验测量得到的本征值实部(c)和虚部(d)随耦合强度的变化图,其中彩色点为实验获得,线为理论计算结果。
受限于系统的耗散,很小的简并能级的劈裂往往不能够被探测到。与通常利用光的透过率或者反射率来确定能级劈裂的方法不同,该工作利用热原子系综的光学偏振旋转信号来检测能级的劈裂。光学偏振旋转信号不仅包含了光的吸收信息,也包含了光的色散信息,因此对能级的劈裂更加敏感。在实验上,对于相同的微扰,光学偏振旋转谱的劈裂也表现出比吸收谱更大的劈裂信号,表明这种确定能级劈裂的方法更加有效。如图2(a)所示,光学偏振旋转谱的劈裂正比于微扰强度的平方根,并且相比较于相同参数的厄米简并情况,有一个数量级的提升[图2(b)]。

图2 (a)光学偏振旋转光谱劈裂随微扰强度变化图。(b)光学偏振旋转光谱劈裂相比较于厄米情况的增强随微扰强度变化图。
这项工作不仅为研究奇异点和非厄米物理提供了一个新的可控平台,而且为奇异点增强传感器的设计提供了新的思路,在基于热原子系综的磁场和其他物理量的精密测量应用方面开辟了道路。
研究亮点二
线宽是决定谐振系统(例如原子系综、光学腔和机械振子)性能的关键因素之一。在精密测量和传感领域,窄线宽系统具有更尖锐的共振峰,通常能够检测到更微弱的信号,对应更好的测量灵敏度。因此,压窄线宽对于提升精密测量系统的性能具有重要意义。
研究组提出在单个谐振模式中利用反馈构造PT对称系统并实现压窄线宽的方案。PT对称系统提供了一种控制增益和耗散以及调控系统线宽的有效方法,而之前实现PT对称的方法需要两个或者更多个谐振模式,无法在只有单个谐振模式的系统中实现。该工作利用单个谐振模式中的两个正交分量,通过测量-反馈回路,对其中一个正交分量进行探测和反馈[图3(b)],引入了等效增益,打破了单个耗散谐振模式中两个正交分量的对称性,从而基于两个正交分量构建了PT对称系统。基于该PT对称系统,通过调节反馈系数能够调控系统的本征值,从而实现对线宽的调控。

图3 PT对称型反馈原理图。(a)典型耗散谐振系统相图。(b)PT对称型反馈系统示意图。(c) 相图对比,PT对称系统(红色实线),无耗散的厄米谐振系统(黑色虚线)。(d)-(e):本征值实部和虚部随反馈系数的变化。(f)-(g):在PT对称和破缺区间,正交分量的时间演化。
该工作在热原子系综中演示了PT对称型反馈方案。使用圆偏振光泵浦方法将原子系综的自旋极化,极化自旋矢量绕z方向磁场做拉莫尔进动,xy平面上的自旋分量(Px、Py)构成了有耗散的谐振模式。通过探测光穿过极化原子系综的顺磁法拉第旋光效应,实现对正交分量Px的测量。将测量得到的信息加载到反馈磁场线圈,产生的反馈磁场作用到原子系综,效果是在Px正交分量引入了增益,打破了Px、Py两个正交分量的对称性,使得集体自旋振子成为了PT对称系统。

图4 热原子系综实验装置示意图
在PT对称区间,通过反馈电阻控制反馈系数,可方便调节系统线宽,实现了线宽从654 Hz减小到13.6 Hz,对应48倍的线宽压窄效果。应用到磁场测量上,实现了22倍的灵敏度增强。
该方案提供了在单个谐振模式中构造PT对称系统的普适方法,为在单个谐振系统中研究非厄米物理以及应用于精密测量开辟了道路。

图5 线宽和等效弛豫时间随反馈系数变化的实验结果。
Phys. Rev. Lett. 130, 263601 (2023)论文第一作者为清华大学物理系博士生梁超,Phys. Rev. Lett. 130, 193602 (2023)论文第一作者为清华大学物理系博士生唐原江,两篇论文的通讯作者均为清华大学物理系刘永椿副教授。上述研究工作得到了国家自然科学基金委、科技部、清华大学低维量子物理国家重点实验室、量子信息前沿科学中心和广东省科技厅的资助。
文章链接:
https://journals.aps.org/prl/abstract/10.1103/PhysRevLett.130.263601
https://journals.aps.org/prl/abstract/10.1103/PhysRevLett.130.193602
作者简介
刘永椿,清华大学物理系副教授,研究方向包括量子光学、量子精密测量、非厄米物理、拓扑光子学等。发表学术论文80余篇,包括10篇第一/通讯作者Physical Review Letters。入选国家级青年人才计划,获饶毓泰基础光学奖、王大珩光学奖、清华大学“学术新人奖”(清华大学青年教师最高学术荣誉)等。
欢迎青年学子来课题组申请读博和做博士后(长期有效)!可申请清华大学“水木学者”博士后(https://postdoctor.tsinghua.edu.cn/index/index.htm)。
主页:
https://www.phys.tsinghua.edu.cn/info/1103/4568.htm
联系邮箱:ycliu@tsinghua.edu.cn


