

撰稿|由课题组供稿
频散关系决定了波动行为,并对波动操控提供了机遇与挑战。近日,美国犹他大学机械系 Prof. Pai Wang 团队通过在基于弹簧-质量链的一维模型上使用非局域相互作用来实现了逆向设计任意声子频散曲线。对于单带和双带情况,可以以超高的解析精度实现任何的频散曲线。利用反向设计的方法来,其结果展现了具有多个一阶(roton/maxon)和高阶(undulation)临界点的频散关系的声子晶体,并探讨和研究了其波动力学的性质。本研究首次提出了“Band Structure Customization”的概念,并使用非局部相互作用(beyong-nearest-neighbor nonlocal interactions) 来定制 “客户所需的”任意的频散关系,为超材料中的目标色散关系的设计提供了一种全新的途径。相关研究以“Drawing Dispersion Curves – Band Structure Customization via Non-Local Phononic Crystals” 为题发表在期刊《Physical Review Letters》。
声子晶体超材料是用于操控机械波的特殊人工材料。其可以表现出许多非常规性质,如能带带隙、负折射和拓扑保护模式等;在隐身、聚焦和能量捕获等各种应用中具有广泛的前景。最近,通过引入非局域相互作用,扩散传输、主动控制等现象与功能被提出与研究。其中频散曲线的局部最小值,类似于低温下氦-4超流体的“旋子”(roton)特性得到实验验证。所有这些奇特和理想的波动行为都依赖于频散关系 - 频率与波矢的对应关系 - 这是每个超材料所固有的特性。
然而,迄今为止,大多数研究都集中在基于特定设计的结构,研究其频带结构的正向问题上 - 即,先有材料再研究其性质。在波动领域中,为了可以按需实现“顾客所需的”特定行为和目标功能,“从特定的频散关系入手,再研究和设计实际超材料结构”的逆问题一直是被作为一个长期的所需达成的目标。以前的研究工作通常都是依赖于成本高昂的迭代计算,以调整特定的色散或频带间隙,然而这类研究只取得了非常有限的成功。
在这项工作中,研究者展示了一种使用非局域相互作用来实现自定义地设计频散关系的方法。首先,一个具有解析精确度的步骤方法被确定,以解决逆问题。在具有非局域链的“单原子“”模型上实现了任意定义的单带频散关系。然后,使用这个设计方法获得了具有一阶或高阶临界点的频散曲线。通过时域模拟,研究者展示了其非常独特的波动行为,尤其是在二阶临界点(undulation point)处,频散曲线的一阶和二阶导数同时等于零。此时震动在此模式中不传播且不扩展,所以能量高度集中。最后,研究者还研究了具有非局域链的“双原子”模型,并制定了设计步骤以定制出任意双带频散关系。

FIG. 1 (a) 相同质量的无限链。每个质量都通过弹簧常数 kn 连接到其第 n 个最近的邻居。(b) 在第一布里渊区的中心 (q = 0) 和边缘(q = π/a) 处具有基本约束的设计空间。
首先从一维“单原子”型声子链开始。模型的示意图如图Fig. 1(a)所示。每个质点通过弹簧常数k1与其两个最近的邻居进行局部相互作用。此外,每个质点还通过弹簧常数kn(其中n = 2, 3, 4, ..., N,N是系统中最长程的非局域相互作用)与其两侧的第n个最近的邻居进行非局域相互作用。

由分析运动方程可得(1),其具有傅立叶级数的形式,其可以被用来调整非局域相互作用,以实现任何理想的频散行为。从数学上讲,这源于动态矩阵/哈密顿量采用循环矩阵的形式。在演示定制程序之前,有必要了解可能的色散关系中的所有约束条件。在这里,研究者将以下物理和对称原则视为设计非局域声子晶体的基本假设:
• 被动性,没有能量输入或输出;
• 自由悬浮,没有接地的弹簧(“接地”意味着系统包含有无限惯量的部分,因此并不实际);
• 具有时间反演对称性,没有陀螺效应。
• 稳定性,具有有限的静态刚度。
结合以上条件,研究者得出以下要求:对于在第一布里渊区的非负波数范围内定义的任何目标频散关系Ω(q)来说(其中q ∈ [0, π/a]),它需要是一个光滑的曲线并满足图Fig.1(b)所示的条件。这样的频散关系 Ω(q),研究者可以通过方程(1)来设计非局域声子晶体。

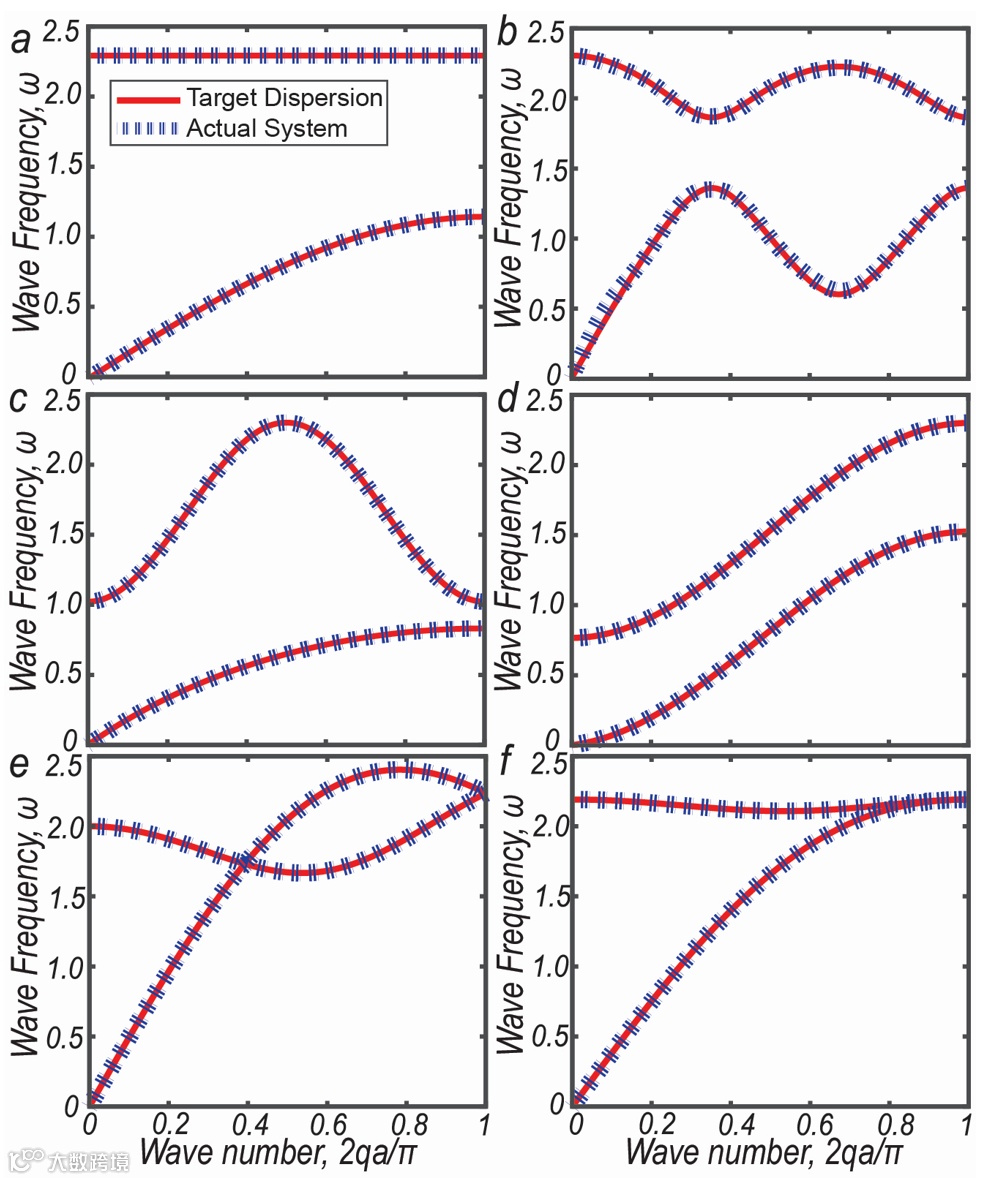
FIG.2 具有特殊功能的定制色散曲线,其中:maxons(三角形)、rotons(圆形)和波动点(正方形)。
基于研究者的方法,如Fig.2 所示,在每种情况下,研究者都会通过检查目标频散曲线与实际频散曲线之间的归一化均方根偏差 (NRMSD) 进行比较。研究者有目的地选择具有各种有趣特征的目标曲线。在实现中,通过使用分析函数作为 (a) 和 (b) 的目标。对于其他情况,研究者使用分段样条函数来构造目标曲线。在所有情况下,NRMSD值均小于百分之一。多种可能性均被实现:(a) 平顶;(b) - (d) 分别在大波数 q、中波数和小波数 q(即,与晶胞尺寸相比,在短波、中波和长波)下的非单调行为等等。另外,对于Fig.2 中也展示不同的频散的临界点的具有特殊功能的定制色散曲线:(e) - (f) 以相同频率出现的 maxons、rotons和undulation points。不难发现,研究者可以设计系统,其中局部最大值、局部最小值和稳态拐点,可以在相同的频率发生。
接下来,研究者通过考虑非局域声子晶体的两个特定实例(其中第三最近邻(k3)相互作用作为唯一的非局域效应)来研究这些表现出奇异动力学的临界点。当对于k3/k1=3时,可以实现maxon,和roton的模态,其均代表零群速度(ZGV) 的临界点波模式。它们类似于电子能带结构中的范霍夫奇点。这些 ZGV 模式在以下领域也具有广阔的应用前景:许多与波相关的工程技术,例如无创结构健康监测,因为高度局部化的波模式可以增强超声波探测中的振动能量集中和信噪比。当对于k3/k1=1/3时,色散曲线是单调的,中间有一个undulation point 于 qa = π/2处,其中一阶导数和二阶导数都同时为零。虽然最近证明了这属于类旋子色散,并且光波导中属于电磁波的冻结模式,但研究者在这里首次展示了处于二阶临界波动时,弹性波在声子晶体中的波动形式。
为了研究这些临界点处的波动行为,作者进行了两种类型的时域模拟。首先,在一个包含5000个单元格的链上,作者对最左端的质点施加了力激发,并观察了两种频率相同但波长不同的模式:一种是传播模式,具有有限的群速度,另一种是局部化的ZGV模式,位于源头附近。尽管maxon-like和roton-like ZGV模式不是传播波,但结果显示它们随时间扩散和传播。与此不同的是,在具有k3 = k1/3的链上,只观察到一个波模式,它既不传播也不扩散,即群速度和扩散率都为零。

Fig.3 (a) 仅具有第一和第三最近邻相互作用的两个非局域声子晶体的示意图 - 顶部:k3=3k1,底部:k3=k1/3。(b)色散曲线:对于k3=3k1,出现局部最大值(maxon),并且出现局部最小值(roton)。对于 k3=k1/3,出现驻拐点(undulation point / stationary inflection point),其中一阶导数和二阶导数都为零。(c) - (e)显示了 (b) 中 3 个临界点的时域结果:分别是 maxon、roton 和 undulation。左列给出了时空图,右列显示了波幅快照。
其次,为了进一步研究扩散现象,作者研究了一个局部化的高斯空间波包的时域演变。作者规定了一个初始的高斯波包,其标准差为σ(t=0)=σ0,并且观察了这个波包在时间和空间上的演变。作者通过跟踪波包宽度σ(t)来确定波包的扩散率,并比较了三个临界点(局部最大值、局部最小值和二阶临界点)的波包扩散情况。结果显示,maxon和roton波包在时间推移中会变得更宽,而在二阶临界点的情况下,波包的形状保持不变,既不传播也不扩散。
在进一步的研究中建立了一个新方法方法,用于针对一维“双原子”非局部声子链的双带系统,该声子链由两种不同的质量m1和m2组成。这个模型导致了特定的色散关系。
在这个方法中,可以自定义每个独立的频带,而不会影响其他频带,因为它可以分别针对两个独立定义的目标Ω−(q)和Ω+(q)。图5(a)-(d)展示了通过设置m1=1来使用该方法的结果。目标曲线故意选择了各种特性:图5(a)展示了上升的第一频带和平坦的第二频带;图5(b)显示了两个频带,它们的凹凸性总是相反的;图5(c)具有恒定曲率的第一频带和弧形的第二频带;而图5(d)则是两个频带都单调增加。这些示例表明,通过研究者的方法,可以在任何希望的频率和波长上设计出局部化和传播波模式,无论是在哪一个频带上。在实施中,研究者设置了用于图5的总刚度类型数量为N = 20。研究者还检查了目标和实际色散曲线之间的NRMSD值。结果显示,在大多数情况下,只需少量的非局部弹簧就可以实现很好的匹配。此外,研究者还展示了该方法在图5(e)和5(f)中实现线性(类似于狄拉克锥, Dirac cone)和二次频带交叉的能力。详细信息和其他示例可在附加材料中找到。

Fig. 4 (a)-(d) 定制的双带色散关系。(e) 和 (f) 显示线性(类狄拉克)和 分别为二次带交叉。
通过引入非局部弹簧,研究者可以完全且分析性地定制声子晶体中的色散关系。研究者展示了具有多个一阶(maxon/roton)和二阶(undulation)临界点的色散曲线。研究者进一步研究了每个关键点处的波包动力学,并说明了如何利用它们来创造局部模式的新行为。这使得未来的研究能够在二维和三维系统中就弹性波的高阶临界点进行拓扑、尺度和对称性方面进行研究。最后,研究者还可以解决任意双频带色散关系的逆向设计问题。
在晶格常数的连续极限下,非局部连续介质中的波力学可以通过高阶应变梯度模型以及近场动力学来描述。与那些流行的现象学和半现象学方法不同,研究者的方法具有系统参数以实现期望的动态行为的优势。此外,通过匀质化研究者的设计方法,有可能为连续超材料中目标频散关系设计提供一条途径。

论文信息
https://link.aps.org/doi/10.1103/PhysRevLett.131.176101
DOI: 10.1103/PhysRevLett.131.176101
PI 简介
Dr. Pai Wang, 哈佛大学应用数学博士毕业。于2019年秋加入犹他大学机械系担任助理教授。研究方向包括Wave Mechanics, Architected materials, Mechanical Metamaterials, Finite Element Methods, Topological Mechanics 以及Application of artificial intelligence and machine learning in material structure design。先后在 Physical Review Letters, Advanced Materials, PNAS, Nature communications 等国际顶级期刊发表多篇学术论文。并担任各个国际学术组织与期刊的职务,编审。详情请参考谷歌学术主页。Dr. Wang 诚邀海内外学者来访问,交流与合作。团队主页: Utah Waves & Architected Materials Lab (https://w.mech.utah.edu/)


