

撰稿|由课题组供稿
波动耗散定理揭示了在微纳尺度上,当两个物体的距离小于热特征波长时,它们之间的近场辐射换热(Near-field radiative heat transfer, NFRHT)现象会显著超过传统的黑体辐射极限。这一发现对于微纳米尺度的热管理具有重大意义,尤其是在当今集成度不断提升的科技环境中。近场热辐射不仅为高效热管理提供了新的理论基础,也推动了新型热控设备的开发。
近场热分流器(Near-field thermal splitter, NFTS)作为一种独特的NFRHT设备,其能力超越了仅仅调节热流强度的功能,能够在多个终端之间精确地引导热流方向。这种设备通常包括一个热发射源和两个接收端,通过控制发射源与接收端之间模式的耦合与解耦,实现了热流的方向性控制。然而,传统上这种控制依赖于外场(如电场、磁场、温度)的调节,其对材料和物理状态的严格要求,在一定程度上限制了NFTS在更广泛的热流控制网络中的应用。
具体来说,外场控制的NFTS系统要求发射源和接收端采用相同的材料以实现有效的光学模式耦合。此外,为了达到分流效果,通常需要两个接收端处于不同的物理状态,这就要求同时对发射源和接收端的物理状态进行调节。这些限制不仅增加了系统的复杂性,也降低了其与其他热流控制设备集成的灵活性。
因此,一个紧迫问题是,能否开发一种方法或策略,仅通过调整发射源处的条件,就能实现对任意两个由相同材料制成的接收端的精确热流分流。
为了解决这一问题,研究人员提出了一种利用各向异性纳米粒子控制热流方向的创新方法,主要亮点包括:
创新的热流控制策略:这项研究通过旋转各向异性α-相三氧化钼(α-MoO3)纳米粒子的方式,提出了一种新型的热流控制方法。这种策略的独特之处在于,仅需要旋转作为发射源的α-MoO3即可实现对热流方向的控制,简化了热分流器的设计和操作。
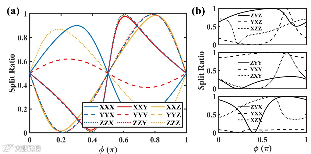
近乎完美的热分裂效果:研究显示,当发射源和接收端都是α-MoO3时,该系统能够实现1%到99%的分流效果,展示了其卓越的热流控制能力。这种高度灵活的热流分配能力为精确热管理提供了广泛的可能性。
适用于多种材料:即使在使用其他材料作为接收端时,该方法也能保持显著的热分流效果,可调控范围超过30%-70%。这一点在现有的基于外场控制的NFTSs中是未曾见到的,这显著扩展了可用于高效热管理系统的材料范围。这种材料的灵活性大大扩展了基于该方法的NFTS的应用领域,使其能够更容易地集成到各种热流控制网络中,为实现复杂的热管理系统提供了新的可能性。
较强的鲁棒性:该系统展示的鲁棒性是其显著特点之一,它对纳米粒子间距和发射源颗粒旋转角度的变化具有高度的容忍性。这种特性减少了对精确位置和角度控制的需求,从而增强了系统在实际应用中的可靠性和灵活性。

图1 基于各向异性α-MoO3 纳米粒子的NFTS原理图,仅通过旋转操控源颗粒3即可控制热流的流向。
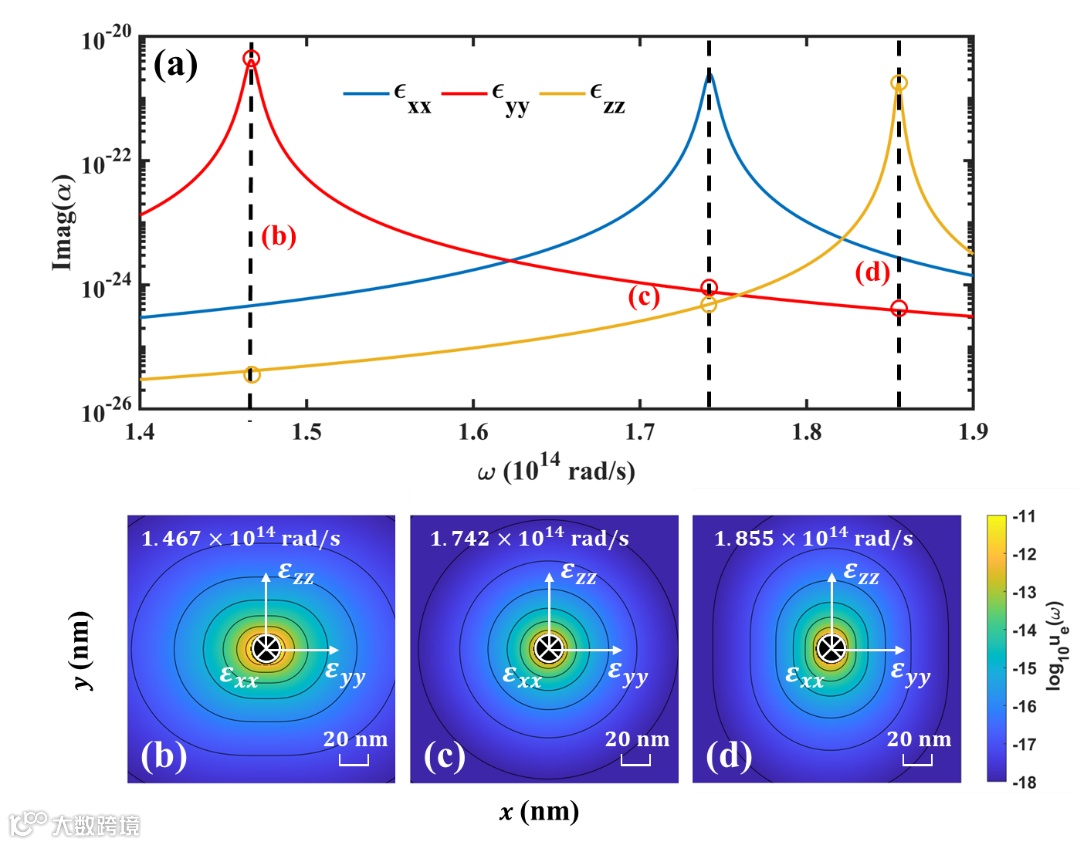
图2 (a) α-MoO3 纳米粒子的极化率的虚部。(b-d)局域双曲模式频率处的电场能流密度在面内的分布。
图3 三个α-MoO3 纳米粒子的分流比随旋转角的变化(考察不同晶轴轴向组合)。源颗粒与端颗粒的晶轴朝向不同时,可实现完美热分流效果。
图4 最大分流比对应的传输系数。分流效果的物理机制:模式耦合。

文章链接:


