

撰稿|由课题组供稿
中红外激光可以用来进行气体远程探测、光声光谱测量、同位素精密分析,在光电对抗领域也是制衡无人机红外制导、天基和空基导弹防御系统的利器。中红外激光的获取困难,首先是因为中红外激光晶体的带隙普遍较大,在中红外波段(3μm~5μm)的发射困难;半导体量子级联激光器(QCL)利用能级设计方法使得半导体具有多个较窄的级联带隙,发射波长较长,波长一般处于4μm~12μm的中红外波段,但是由于QCL的发散角较大,波长线宽很宽,峰值功率较低,应用领域受到很大限制,并且功率较高的QCL受到国外禁运,国内很难获得。另一个原因是中红外波段的光学元件质量低并且价格高,尤其是高质量的非线性光学晶体,例如周期极化的铌酸锂晶体,很多基材以及工艺还需要进口设备,限制了非线性方法产生中红外激光的途径。
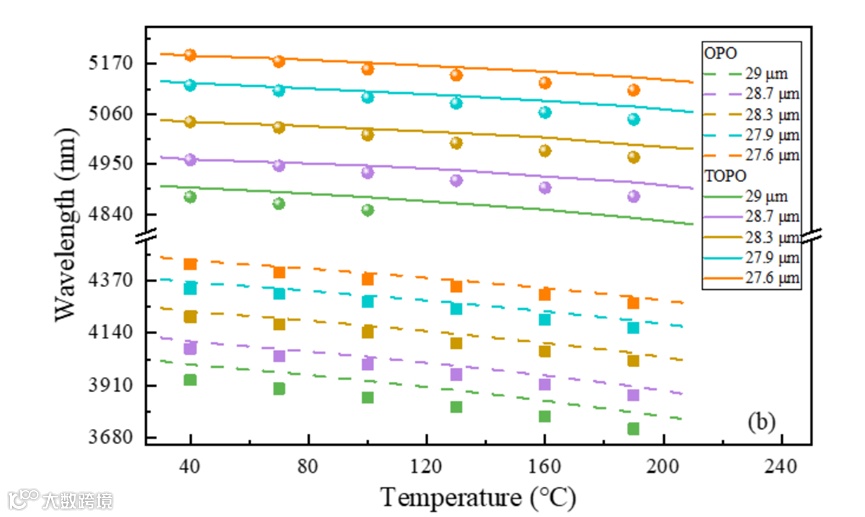
为了解决这个问题,南京大学祝世宁课题组,采用参量级联技术[1]克服了铌酸锂在5μm波段的吸收损耗,解决了远至5.19μm的连续波中红外激光产生问题,并且波长可从近红外连续调谐至中红外波段,具有结构简单、波长调谐范围宽、线宽窄、光束质量好的优点,有望应用于气体探测、光电对抗等领域。该技术采用掺镁周期极化铌酸锂(MgO:PPLN)构成,采用单周期实现了级联的光参量振荡过程(TOPO)。该级联过程由光参量振荡(OPO)的信号光级联泵浦光,同时输出可以波长调谐的三个中红外波长,并且通过降低腔内损耗,实现了连续波的谐振输出,最大输出功率在3896 nm超过2.6W。该技术的创新点在于通过单一周期实现了级联光参量振荡,通过光学加工减小腔内损耗,使得连续波谐振的OPO能够进行长波级联过程。

图1. OPO和TOPO的波长调谐
课题组基于铌酸锂超晶格材料和激光技术领域多年的积累,开发的可调谐OPO已成功转化,并形成覆盖连续波、纳秒脉冲、皮秒超快等各种类型的中红外激光器产品,获得各高校、科研院所及军工单位用户的一致好评。目前可调谐激光器产品的最长输出波长可达4.65μm,最高输出功率超过10W。

皮秒超快可调谐中红外激光器

脉冲可调谐中红外激光器

连续波可调谐中红外激光器

多模式可调谐中红外激光器

定制化中红外激光器
图2. 系列中红外激光器产品

图3. 可调谐中红外激光器典型输出光谱及功率

图4. 系列中红外激光器尺寸

论文链接:
[1].https://opg.optica.org/ol/abstract.cfm?doi=10.1364/OL.511170

